| ²é¿´: 4223 | »Ø¸´: 15 | ||
meifanghгæ (СÓÐÃûÆø)
|
[ÇóÖú]
matlab ÄâºÏÒ»¸ö¸´Êýº¯ÊýµÄϵÊý¡£Çó˼·£¬¸Ð¾õû·¨½â¾ö ÒÑÓÐ2È˲ÎÓë
|
|
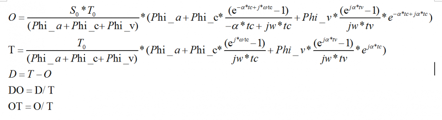
function [OT DT] = hemomodel(omega, tc, tv, phi_a, phi_c, phi_v) S0 = 0.98; T0 = 2.3; alpha = 0.8; O = S0*T0/(phi_a+phi_c+phi_v) ... *(phi_a + phi_c*(exp(-alpha*tc+1j*omega*tc)-1)./(-alpha*tc+1j*omega*tc) ... + phi_v*(exp(1j*omega*tv)-1)./(1j*omega*tv).*exp(-alpha*tc+1j*omega*tc)); T = T0/(phi_a+phi_c+phi_v) ... *(phi_a + phi_c*(exp(1j*omega*tc)-1)./(1j*omega*tc) ... + phi_v*(exp(1j*omega*tv)-1)./(1j*omega*tv).*exp(1j*omega*tc)); D = T - O; OT = O./T; DT = D./T; £¨³õʼֵµÄ»°¡£¿ÉÒÔ³¢ÊÔÕâ¸ö¡£tc=0.5,tv=1,phi_a=0.005,phi_v=0.005,phi_c=0.015£© ÉÏÃæµÄÊÇÒ»¸ö¸´Êýº¯Êý¡£ÎÒÓÐʵÑéÊý¾ÝOT,DT¡£ÏÖÔÚÐèÒªµÄÊÇͨ¹ýÒÑÖªµÄOT,DTÊý¾Ý½øÐÐÄâºÏº¯ÊýÖÐϵÊýµÄtc,tv,phi_a,phi_v,phi_c. ÄâºÏ³öÀ´µÄϵÊý±ØÐëÊÇʵÊý¡£ ÎÒÊÇ´ÓһƬÎÄÏ×Öп´µ½µÄÂÛÎÄ£¬ËûÃÇÊÇʹÓÃmatlabÖеĺ¯Êýlsqcurvefit½øÐÐÄâºÏµÄ¡£ÎÒ±¾ÈËÓô˺¯ÊýÄâºÏµÄʱºòÓöµ½ÁË2¸öÎÊÌâ¡£ 1.lsqcurvefitº¯Êý¶Ô¸´Êýº¯ÊýÄâºÏ£¬³öÏֵĸ´Êý¡£´Ëº¯ÊýµÄϵÊýÊÇÓÐÎïÀíÒâÒåµÄ£¬²»¿ÉÄÜÊǸ´Êý£¬ÎÒ²»ÖªµÀÔõôµ÷ÊÔ... 2.lsqcurvefitº¯ÊýÒ»´ÎÖ»ÄÜÄâºÏÒ»Ìõº¯Êý¡£¶øOT,DTÏÔÈ»ÊÇÏ໥¹ØÁªµÄ£¬Èç¹û·Ö¿ªÄãºÍOT,DTµÄ»°£¬ÄâºÏµÄ²ÎÊý½á¹û²»Ò»Ñù¡£ СµÜ°ÝÍдó¼ÒÁË£¬ÎÒ×Ô¼ºÄâºÏÁ˺ܾÃÁË.»¹ÊDz»Ðа¡£¡£¡@laosam280 |
» ²ÂÄãϲ»¶
307Çóµ÷¼Á
ÒѾÓÐ3È˻ظ´
265Çóµ÷¼Á
ÒѾÓÐ3È˻ظ´
301Çóµ÷¼Á
ÒѾÓÐ10È˻ظ´
303Çóµ÷¼Á
ÒѾÓÐ7È˻ظ´
²ÄÁϹ¤³Ì£¨×¨£©Ò»Ö¾Ô¸985 ³õÊÔ335Çóµ÷¼Á
ÒѾÓÐ4È˻ظ´
299Çóµ÷¼Á
ÒѾÓÐ6È˻ظ´
083200ѧ˶321·ÖÒ»Ö¾Ô¸ôßÄÏ´óѧÇóµ÷¼Á
ÒѾÓÐ3È˻ظ´
³õʼ318·ÖÇóµ÷¼Á£¨Óй¤×÷¾Ñ飩
ÒѾÓÐ3È˻ظ´
¶þ±¾¿ç¿¼Ö£´ó²ÄÁÏ306Ó¢Ò»Êý¶þ
ÒѾÓÐ3È˻ظ´
»¯Ñ§Çóµ÷¼Á
ÒѾÓÐ5È˻ظ´
» ±¾Ö÷ÌâÏà¹Ø¼ÛÖµÌùÍÆ¼ö£¬¶ÔÄúͬÑùÓаïÖú:
Çë½Ìmatlab·ÇÏßÐÔÄâºÏ½á¹û²»Î¨Ò»µÄÎÊÌâ
ÒѾÓÐ4È˻ظ´
ÇëÎÊË®ÉäÁ÷µÄ²¨¶¯£¬¿ÉÒÔÓÃʲôº¯ÊýÐÎʽÄâºÏÂð£¿
ÒѾÓÐ0È˻ظ´
ÈçºÎÓÃMATLABÄâºÏÕâÑùÒ»¸öËÄ´ÎÇúÏߣ¿
ÒѾÓÐ1È˻ظ´
ÓйØMATLABµÄÎÊÌâ...
ÒѾÓÐ110È˻ظ´
matlab ÄâºÏÎÊÌâÇóÖú
ÒѾÓÐ6È˻ظ´
ÇóÖúMatlabÄâºÏÇúÏß·½³Ì
ÒѾÓÐ2È˻ظ´
matlabÈçºÎÔÚÒ»¸öͼÀïÄâºÏ¶àÌõÖ±Ïß
ÒѾÓÐ5È˻ظ´
ÇóÖúÓÃmatlab ¶àÔª·ÇÏßÐÔÄâºÏ2
ÒѾÓÐ21È˻ظ´
Ò»×é·ÇÏßÐÔÊý¾ÝÄâºÏ
ÒѾÓÐ6È˻ظ´
ÈçºÎÓÃmatlabʵÏÖ·Ö·åÄâºÏ£¿
ÒѾÓÐ18È˻ظ´
ÇóÄâºÏÒ»×éÊý¾Ý
ÒѾÓÐ11È˻ظ´
ÈçºÎÓÃmatlab½øÐÐÖ¸ÊýÄâºÏ¡¾ÒÑËÑÎÞÖØ¸´¡¿
ÒѾÓÐ2È˻ظ´
ÏëÄâºÏÒ»Ìõ¼òµ¥ÇúÏߣ¬Çë½Ìһϴó¼Ò~
ÒѾÓÐ6È˻ظ´
matlabÖÐfminbndµÄÇóÖú
ÒѾÓÐ2È˻ظ´
ÈçºÎÓÃmatlabÀ´ÄâºÏÒ»×éÇò×ø±êÊý¾Ý£¬·½³ÌÓ¦¸ÃÊÇ·Ä´¸ÌåµÄ·½³Ì¡£¡£
ÒѾÓÐ2È˻ظ´
chenyuwen
½ð³æ (ÕýʽдÊÖ)
- Ó¦Öú: 3 (Ó×¶ùÔ°)
- ½ð±Ò: 1736.1
- É¢½ð: 110
- ºì»¨: 6
- Ìû×Ó: 429
- ÔÚÏß: 120.5Сʱ
- ³æºÅ: 3182070
- ×¢²á: 2014-05-05
- ÐÔ±ð: GG
- רҵ: ¹âѧ
|
Ϊʲô²»°Ñʵ²¿Ð鲿·Ö¿ª£¬È»ºóÈ¥ÄâºÏ£¿ ·¢×ÔСľ³æAndroid¿Í»§¶Ë |
» ±¾ÌûÒÑ»ñµÃµÄºì»¨£¨×îÐÂ10¶ä£©
2Â¥2016-05-14 23:33:48
meifangh
гæ (СÓÐÃûÆø)
- Ó¦Öú: 0 (Ó×¶ùÔ°)
- ½ð±Ò: 127.5
- Ìû×Ó: 279
- ÔÚÏß: 39.7Сʱ
- ³æºÅ: 4265909
- ×¢²á: 2015-12-04
- רҵ: Ö²ÎïÉúÀíÓëÉú»¯
3Â¥2016-05-15 01:59:52
chenyuwen
½ð³æ (ÕýʽдÊÖ)
- Ó¦Öú: 3 (Ó×¶ùÔ°)
- ½ð±Ò: 1736.1
- É¢½ð: 110
- ºì»¨: 6
- Ìû×Ó: 429
- ÔÚÏß: 120.5Сʱ
- ³æºÅ: 3182070
- ×¢²á: 2014-05-05
- ÐÔ±ð: GG
- רҵ: ¹âѧ
4Â¥2016-05-15 09:24:42
dingd
Ìú¸Ëľ³æ (Ö°Òµ×÷¼Ò)
- Ó¦Öú: 1641 (½²Ê¦)
- ½ð±Ò: 15037.3
- É¢½ð: 101
- ºì»¨: 234
- Ìû×Ó: 3410
- ÔÚÏß: 1223.7Сʱ
- ³æºÅ: 291104
- ×¢²á: 2006-10-28
5Â¥2016-05-15 13:44:32
meifangh
гæ (СÓÐÃûÆø)
- Ó¦Öú: 0 (Ó×¶ùÔ°)
- ½ð±Ò: 127.5
- Ìû×Ó: 279
- ÔÚÏß: 39.7Сʱ
- ³æºÅ: 4265909
- ×¢²á: 2015-12-04
- רҵ: Ö²ÎïÉúÀíÓëÉú»¯
6Â¥2016-05-15 22:17:27
meifangh
гæ (СÓÐÃûÆø)
- Ó¦Öú: 0 (Ó×¶ùÔ°)
- ½ð±Ò: 127.5
- Ìû×Ó: 279
- ÔÚÏß: 39.7Сʱ
- ³æºÅ: 4265909
- ×¢²á: 2015-12-04
- רҵ: Ö²ÎïÉúÀíÓëÉú»¯
|
¾Í¿¿ÄãÁ˰¡£¡ÎÒÕÛÌÚÁ˽üÒ»¸öÔÂÁË£¬Ò»Ö±Ã»ÓÐ˼·¡£ ÎÒÊÖÍ·ÒÑÖªÊý¾ÝÓÐOT,DOµÄ²âÊÔÊý¾Ý£¬¸´ÊýµÄ¡£ S0£¬T0£¬a,¶¼ÊÇÒÑÖªµÄ¡£ ÄâºÏ²ÎÊýΪtv£¬tc£¬phi_a,phi_v,phi_c±ØÐëÄâºÏ³öÀ´ÊÇʵÊý¡£ ´óÉñÄãæµÄ»°¾Í¸ø¸ö˼·°É..ÕæµÄ²»ÊǺܶàÄâºÏÕâ¶«Î÷ http://muchongimg.xmcimg.com/data/b ... _1463322789_412.png QQ½ØÍ¼20160515223016.png |
7Â¥2016-05-15 22:35:43
chenyuwen
½ð³æ (ÕýʽдÊÖ)
- Ó¦Öú: 3 (Ó×¶ùÔ°)
- ½ð±Ò: 1736.1
- É¢½ð: 110
- ºì»¨: 6
- Ìû×Ó: 429
- ÔÚÏß: 120.5Сʱ
- ³æºÅ: 3182070
- ×¢²á: 2014-05-05
- ÐÔ±ð: GG
- רҵ: ¹âѧ
|
½«ÄãËùÓй«Ê½Öеĸ´ÊýÕ¹¿ª£¬·Ö³ÉÐ鲿ºÍ ʵ²¿£¬ÕâÑùÒ»¸ö¸´Êý¹«Ê½¾Í±ä³ÉÁ½¸öʵÊý¹«Ê½£¬È»ºó¶Ôÿ¸öʵÊý¹«Ê½¸ù¾ÝÄãµÄÊý¾Ý·Ö±ðÄâºÏ£¬£¬ ·¢×ÔСľ³æAndroid¿Í»§¶Ë |
8Â¥2016-05-15 23:45:50
×îÁ¯ÏüÎè
ľ³æ (ÕýʽдÊÖ)
- Ó¦Öú: 1 (Ó×¶ùÔ°)
- ½ð±Ò: 1711.4
- É¢½ð: 114
- ºì»¨: 16
- ɳ·¢: 6
- Ìû×Ó: 420
- ÔÚÏß: 24Сʱ
- ³æºÅ: 4171587
- ×¢²á: 2015-10-25
- ÐÔ±ð: MM
- רҵ: ¼ÆËãÊýѧÓë¿ÆÑ§¹¤³Ì¼ÆËã
9Â¥2016-05-15 23:54:34
meifangh
гæ (СÓÐÃûÆø)
- Ó¦Öú: 0 (Ó×¶ùÔ°)
- ½ð±Ò: 127.5
- Ìû×Ó: 279
- ÔÚÏß: 39.7Сʱ
- ³æºÅ: 4265909
- ×¢²á: 2015-12-04
- רҵ: Ö²ÎïÉúÀíÓëÉú»¯
10Â¥2016-05-16 14:32:40













»Ø¸´´ËÂ¥
meifangh