| 查看: 1473 | 回复: 14 | ||
[求助]
请教一个质谱分析 已有5人参与
|
||
|
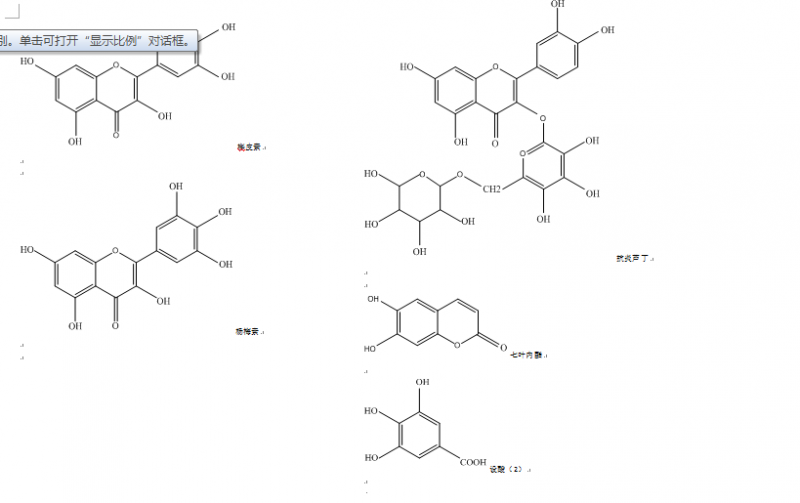
本人没做过质谱 帮一个本科生请教 他只给了我两张图 我也不懂他什么意思说什么找对应的 我看还有数据吧电脑分析的那种 后面贴的分子式也是他给的 我想是确定化合物含量的 请教各位虫子看看 11无标题.png 22无标题.jpg 3无标题.png 44无标题.jpg |
» 猜你喜欢
一志愿北京化工大学材料与化工 264分各科过A区国家线
已经有6人回复
085600 材料与化工 329分求调剂
已经有9人回复
一志愿厦门大学化学学硕307求调剂
已经有3人回复
315分求调剂
已经有4人回复
化学调剂一志愿上海交通大学336分-本科上海211
已经有4人回复
总分293求调剂
已经有7人回复
环境专硕324分求调剂推荐
已经有3人回复
284求调剂
已经有3人回复
北京林业大学硕导招生广告
已经有6人回复
0703化学/290求调剂/本科经历丰富/工科也可
已经有3人回复
» 本主题相关商家推荐: (我也要在这里推广)
» 本主题相关价值贴推荐,对您同样有帮助:
ICP-MS 质谱分析的样品处理
已经有13人回复
质谱分析--求助
已经有4人回复
在质谱分析中,不同气体在“相同”荷质比(m/z)出峰,如何将其分开
已经有3人回复
一个质谱分析的软件 头像是个小狐狸
已经有3人回复
请教一个小肽的质谱解析
已经有1人回复
请教质谱试剂及多级质谱母离子问题
已经有27人回复
求助质谱分析
已经有0人回复
质谱图谱分析
已经有0人回复
请教一个质谱分析
已经有4人回复
请教一个关于计算质谱检出限的问题?
已经有2人回复
请教专业人士,帮忙看看我的一个化合物质谱分析结果可靠性如何?
已经有1人回复
质谱问题请教
已经有9人回复
质谱新手请教~~
已经有1人回复
请教蛋白双向电泳与质谱方面的一些问题
已经有8人回复
关于双向电泳差异点质谱分析可信性的问题。
已经有1人回复
蛋白质谱数据分析
已经有1人回复
质谱分析 不知为什么打出的不是我想要的东西,都跑偏了。
已经有2人回复
质谱分析数据的选取
已经有4人回复
【求助】请教一个质谱问题
已经有7人回复
【求助】质谱分析
已经有15人回复
求解质谱分析时分子量出现的误差
已经有1人回复
求解质谱分析时分子量出现的误差
已经有3人回复
【求助】质谱分析
已经有5人回复

7楼2016-03-07 09:50:00
wy19871124
新虫 (职业作家)
质谱首席顾问
- ACI: 2
- 应助: 551 (博士)
- 金币: 1607.6
- 散金: 959
- 红花: 183
- 帖子: 3052
- 在线: 447.4小时
- 虫号: 1593016
- 注册: 2012-01-31
- 性别: GG
- 专业: 质谱分析
2楼2016-03-06 16:09:54

3楼2016-03-06 16:11:08
wy19871124
新虫 (职业作家)
质谱首席顾问
- ACI: 2
- 应助: 551 (博士)
- 金币: 1607.6
- 散金: 959
- 红花: 183
- 帖子: 3052
- 在线: 447.4小时
- 虫号: 1593016
- 注册: 2012-01-31
- 性别: GG
- 专业: 质谱分析
4楼2016-03-06 17:10:08
zyx380597515
铜虫 (小有名气)
- 应助: 12 (小学生)
- 金币: 576.3
- 散金: 130
- 红花: 4
- 帖子: 263
- 在线: 58.6小时
- 虫号: 2503169
- 注册: 2013-06-09
- 专业: 有机合成
【答案】应助回帖
★ ★ ★ ★ ★ ★ ★ ★ ★ ★
感谢参与,应助指数 +1
mome7: 金币+10 2016-03-07 09:04:46
感谢参与,应助指数 +1
mome7: 金币+10 2016-03-07 09:04:46
|
质谱一般都是确定这种化合物的分子量,一旦化合物分子量较大或者结构复杂,很难找出是怎么裂解的。这就相当于结构鉴定的佐证。想要再具体的,还是做一下其他谱图吧。 发自小木虫IOS客户端 |
5楼2016-03-06 20:17:55
匿名
用户注销 (知名作家)
精修问题可私信
- ACI: 5
- 应助: 2712 (讲师)
- 贵宾: 0.836
- 金币: 38475.5
- 散金: 1801
- 红花: 400
- 帖子: 5825
- 在线: 1932.4小时
- 虫号: 0
- 注册: 2008-10-05
- 性别: GG
- 专业: 药物分析
- 管辖: 晶体
6楼2016-03-07 09:24:39
1262095922
新虫 (著名写手)
- 应助: 0 (幼儿园)
- 金币: 2255.8
- 红花: 1
- 帖子: 1439
- 在线: 314小时
- 虫号: 4449504
- 注册: 2016-02-29
- 专业: 环境污染化学
8楼2016-03-07 10:25:37

9楼2016-03-07 10:26:54
10楼2016-03-07 10:30:14













回复此楼
