²é¿´: 551  |  »Ø¸´: 5

ÌìºÚµÈÌìÃ÷

гæ (³õÈëÎÄ̳)

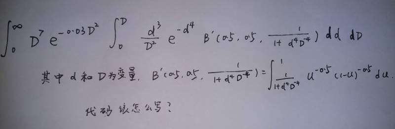
[½»Á÷] ¹ØÓÚMATLAB½øÐзÂÕæÖÐÒ»¸ö¶þÖØ»ý·ÖµÄÎÊÌ⣬À§ÈÅÁ˺ܾã¬Ï£Íû´óÉñÃǸø¿´¿´ ÒÑÓÐ1È˲ÎÓë

Ò»¸ö¶þÖØ»ý·ÖµÄÎÊÌ⣬¸Ð¾õ±È½Ï¸´ÔÓ£¬ÏëÎÊÏÂÍøÉϵĴóÉñÃÇÄÜ·ñ¸øÌṩһЩ˼·£¬ºÜ¸Ð¼¤£¡
ÌâÄ¿ÔÚͼÉÏÁË£¬Ð»Ð»£¡
Èç¹ûÓÐÈËÄܰïæ½â´ð£¬5Ôªºì°ü±í¸öÐÄÒâ£¬ÕæµÄ¸øÎÒÄÑ¿ÞÁË¡£

¹ØÓÚMATLAB½øÐзÂÕæÖÐÒ»¸ö¶þÖØ»ý·ÖµÄÎÊÌ⣬À§ÈÅÁ˺ܾã¬Ï£Íû´óÉñÃǸø¿´¿´
ͼ1.jpg
»Ø¸´´ËÂ¥

» ²ÂÄãϲ»¶

» ±¾Ö÷ÌâÏà¹Ø¼ÛÖµÌùÍÆ¼ö£¬¶ÔÄúͬÑùÓаïÖú:

ÒÑÔÄ   »Ø¸´´ËÂ¥   ¹Ø×¢TA ¸øTA·¢ÏûÏ¢ ËÍTAºì»¨ TAµÄ»ØÌû

ÌìºÚµÈÌìÃ÷

гæ (³õÈëÎÄ̳)

²»Òª³Á°¡
2Â¥2016-03-01 20:04:40
ÒÑÔÄ   »Ø¸´´ËÂ¥   ¹Ø×¢TA ¸øTA·¢ÏûÏ¢ ËÍTAºì»¨ TAµÄ»ØÌû

¹ÔÅ®È˲»¹Ô

ľ³æ (ÕýʽдÊÖ)

¡ï
Сľ³æ: ½ð±Ò+0.5, ¸ø¸öºì°ü£¬Ð»Ð»»ØÌû
ÄãдµÄʲô¹«Ê½°¡¡£¿´×ÅÕâô·Ñ¾¢¡£¿´²»Çå³þ¡£¡£

·¢×ÔСľ³æAndroid¿Í»§¶Ë
3Â¥2016-03-01 20:14:12
ÒÑÔÄ   »Ø¸´´ËÂ¥   ¹Ø×¢TA ¸øTA·¢ÏûÏ¢ ËÍTAºì»¨ TAµÄ»ØÌû

ÌìºÚµÈÌìÃ÷

гæ (³õÈëÎÄ̳)

ÖØÐÂÕûÀíÁËһϣ¬¾ÍÊÇÕâÁ½¸öͼÉϵĻý·Ö°É£¬×ÜÖ®¾ÍÊÇÒ»¸ö¶þÖØ»ý·ÖµÄÎÊÌâ
¹ØÓÚMATLAB½øÐзÂÕæÖÐÒ»¸ö¶þÖØ»ý·ÖµÄÎÊÌ⣬À§ÈÅÁ˺ܾã¬Ï£Íû´óÉñÃǸø¿´¿´-1
2.jpg


¹ØÓÚMATLAB½øÐзÂÕæÖÐÒ»¸ö¶þÖØ»ý·ÖµÄÎÊÌ⣬À§ÈÅÁ˺ܾã¬Ï£Íû´óÉñÃǸø¿´¿´-2
3.jpg

4Â¥2016-03-01 20:27:32
ÒÑÔÄ   »Ø¸´´ËÂ¥   ¹Ø×¢TA ¸øTA·¢ÏûÏ¢ ËÍTAºì»¨ TAµÄ»ØÌû

ÌìºÚµÈÌìÃ÷

гæ (³õÈëÎÄ̳)

ÓÐÈ˽â´ðÏÂÂð
5Â¥2016-03-01 22:59:01
ÒÑÔÄ   »Ø¸´´ËÂ¥   ¹Ø×¢TA ¸øTA·¢ÏûÏ¢ ËÍTAºì»¨ TAµÄ»ØÌû

ÌìºÚµÈÌìÃ÷

гæ (³õÈëÎÄ̳)

ÓÐÈËÂð£¿
6Â¥2016-03-02 10:40:54
ÒÑÔÄ   »Ø¸´´ËÂ¥   ¹Ø×¢TA ¸øTA·¢ÏûÏ¢ ËÍTAºì»¨ TAµÄ»ØÌû
Ïà¹Ø°æ¿éÌø×ª ÎÒÒª¶©ÔÄÂ¥Ö÷ ÌìºÚµÈÌìÃ÷ µÄÖ÷Ìâ¸üÐÂ
×î¾ßÈËÆøÈÈÌûÍÆ¼ö [²é¿´È«²¿] ×÷Õß »Ø/¿´ ×îºó·¢±í
[¿¼ÑÐ] ²ÄÁÏÓ뻯¹¤¿¼Ñе÷¼Á +6 ‹üÈA 2026-03-22 6/300 2026-03-24 13:31 by Á¬ÑóÑóÑó
[¿¼ÑÐ] 299Çóµ÷¼Á +6 ijijijijλ 2026-03-21 6/300 2026-03-24 12:22 by 544594351
[¿¼ÑÐ] 293Çóµ÷¼Á +5 ¼ÓÒ»Ò»¾Å 2026-03-24 5/250 2026-03-24 11:54 by syl20081243
[¿¼ÑÐ] 284Çóµ÷¼Á +3 yanzhixue111 2026-03-23 6/300 2026-03-23 22:58 by pswait
[¿¼ÑÐ] 269Çóµ÷¼Á +4 ÎÒÏë¶ÁÑÐ11 2026-03-23 4/200 2026-03-23 21:25 by pswait
[¿¼ÑÐ] 333Çóµ÷¼Á +3 ALULU4408 2026-03-23 3/150 2026-03-23 19:04 by macy2011
[¿¼ÑÐ] 287Çóµ÷¼Á +8 ³¿»èÏßÓëÐǺ£ 2026-03-19 9/450 2026-03-22 17:01 by i_cooler
[¿¼ÑÐ] ÉúÎïѧ071000 329·ÖÇóµ÷¼Á +5 ÎÒ°®ÉúÎïÉúÎﰮΠ2026-03-17 5/250 2026-03-22 16:42 by tcx007
[¿¼ÑÐ] 306Çóµ÷¼Á +5 À´ºÃÔËÀ´À´À´ 2026-03-22 5/250 2026-03-22 16:17 by BruceLiu320
[¿¼ÑÐ] ¿¼Ñе÷¼Á +4 À´ºÃÔËÀ´À´À´ 2026-03-21 4/200 2026-03-22 12:15 by ÐÇ¿ÕÐÇÔÂ
[¿¼ÑÐ] Ò»Ö¾Ô¸»ªÖпƼ¼´óѧ071000£¬Çóµ÷¼Á +4 ÑØ°¶Óб´¿Ç6 2026-03-21 4/200 2026-03-22 07:21 by ilovexiaobin
[¿¼ÑÐ] ²ÄÁÏѧ˶333Çóµ÷¼Á +3 ±±µÀÏï 2026-03-18 3/150 2026-03-21 18:17 by ѧԱ8dgXkO
[¿¼ÑÐ] 278Çóµ÷¼Á +9 ÑÌ»ðÏÈÓÚ´º 2026-03-17 9/450 2026-03-21 17:47 by ѧԱ8dgXkO
[¿¼ÑÐ] Äϲý´óѧ²ÄÁÏר˶311·ÖÇóµ÷¼Á +6 77chaselx 2026-03-20 6/300 2026-03-21 07:24 by JourneyLucky
[¿¼ÑÐ] Ò»Ö¾Ô¸»ªÄÏʦ´ó 070300£¨»¯Ñ§£©304·ÖÇóµ÷¼Á +3 0703ÎäÜ·»ÛÑ©304 2026-03-18 3/150 2026-03-21 00:48 by JourneyLucky
[¿¼ÑÐ] 295Çóµ÷¼Á +4 Ò»Ö¾Ô¸¾©Çø211 2026-03-18 6/300 2026-03-20 23:41 by JourneyLucky
[¿¼ÑÐ] ²ÄÁÏÓ뻯¹¤ 322Çóµ÷¼Á +4 È»11 2026-03-19 4/200 2026-03-20 22:12 by luoyongfeng
[¿¼ÑÐ] 329Çóµ÷¼Á +9 ÏëÉÏѧ߹߹ 2026-03-19 9/450 2026-03-20 22:01 by luoyongfeng
[¿¼ÑÐ] 261ÇóBÇøµ÷¼Á£¬¿ÆÑо­Àú·á¸» +3 Å£Ä̺Üæ 2026-03-20 4/200 2026-03-20 19:34 by JourneyLucky
[ÂÛÎÄͶ¸å] ÉêÇë»Ø¸åÑÓÆÚÒ»¸öÔ£¬±à¼­Í¬ÒâÁË¡£µ«ÏµÍ³ÉϵÄʱ¼äû±ä£¬¸ø±à¼­ÓÖдÓʼþÁË£¬Ã»»Ø¸´ 10+3 wangf9518 2026-03-17 4/200 2026-03-19 23:55 by babero
ÐÅÏ¢Ìáʾ
ÇëÌî´¦ÀíÒâ¼û