| ²é¿´: 1094 | »Ø¸´: 2 | ||
ideallzcͳæ (СÓÐÃûÆø)
|
[ÇóÖú]
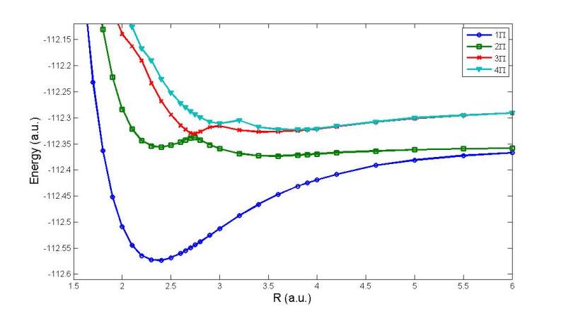
Molpro ¼ÆËãCO+ ²»Í¬¦Ð¹ìµÀ transition dipoleʱºò³öÏÖÌø±ä£¿
|
|
![]() |
||
|
|
||
virtualzxľ³æ (ÖøÃûдÊÖ)
|
» ±¾ÌûÒÑ»ñµÃµÄºì»¨£¨×îÐÂ10¶ä£© |
|
|
2Â¥2016-01-14 02:04:51
|
|
|
ideallzcͳæ (СÓÐÃûÆø)
|
||
![]() |
||
|
3Â¥2016-01-20 22:17:44
|
|













»Ø¸´´ËÂ¥
ideallzc