| 查看: 1726 | 回复: 4 | ||
[求助]
二氧化钒变温电阻率 已有1人参与
|
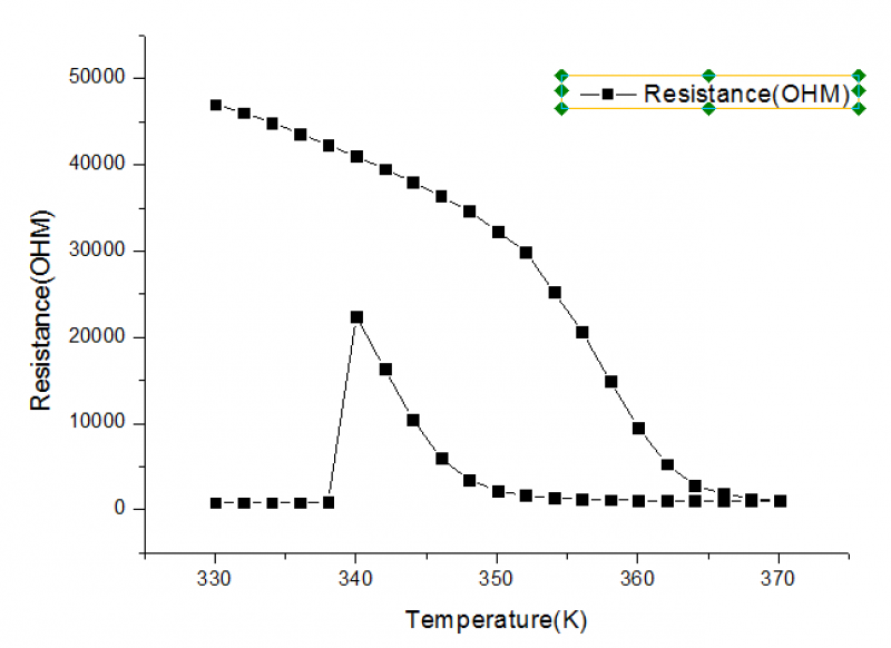
我是用原子层沉积方法生长VO2薄膜(未掺杂)(011 )取向。用四探针法测变温电阻率时,降温时由金属态转变为半导体态的电阻率怎么下来了(<340 K)?不合常理啊,求大神们给出合理解释! (数据是请别人测的,具体测试条件也不清楚)vo2.PNG |
» 猜你喜欢
265求调剂
已经有6人回复
材料求调剂
已经有13人回复
一志愿郑州大学材料与化工085600,求调剂
已经有26人回复
070300化学279求调剂
已经有18人回复
材料调剂
已经有8人回复
化工求调剂!
已经有6人回复
290求调剂085701
已经有11人回复
085600材料与化工专硕329 求调剂
已经有6人回复
295求调剂
已经有15人回复
一志愿河北工业大学材料工程,初试344求专硕调剂
已经有6人回复
2楼2016-01-06 13:21:29
skyfly
木虫 (著名写手)
- 应助: 15 (小学生)
- 金币: 1883.1
- 散金: 455
- 红花: 7
- 帖子: 1773
- 在线: 909.2小时
- 虫号: 582173
- 注册: 2008-07-18
- 专业: 凝聚态物性 II :电子结构

3楼2016-01-08 18:12:50
t_ower
木虫 (正式写手)
- 应助: 6 (幼儿园)
- 金币: 1956.8
- 散金: 277
- 红花: 1
- 帖子: 576
- 在线: 132.9小时
- 虫号: 3012700
- 注册: 2014-03-03
- 专业: 凝聚态物性 II :电子结构
4楼2016-01-10 01:03:00
落絮无声11
新虫 (小有名气)
- 应助: 0 (幼儿园)
- 金币: 102.2
- 散金: 50
- 沙发: 1
- 帖子: 88
- 在线: 11小时
- 虫号: 6957141
- 注册: 2017-07-16
- 性别: GG
- 专业: 催化化学
5楼2018-12-20 15:19:46














(数据是请别人测的,具体测试条件也不清楚)
回复此楼