| 查看: 1148 | 回复: 4 | |||
[求助]
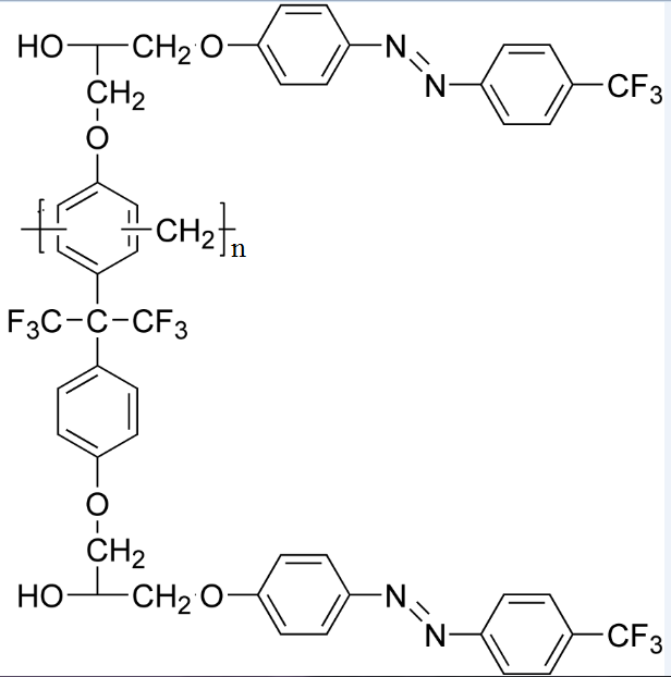
聚合物氢谱表征 已有2人参与
|
|||
|
|
|||
superyeast专家顾问 (职业作家)
|
|||
|
2楼2015-12-23 11:25:12
|
|
||
celan专家顾问 (知名作家)
从事NMR和有机化合物结构鉴定
|
|||
|
3楼2015-12-24 10:48:51
|
|
||
|
4楼2015-12-25 14:19:30
|
|
||
|
5楼2015-12-25 14:19:55
|
|














回复此楼
好吧,看来是完蛋了
5