| ²é¿´: 1823 | »Ø¸´: 12 | ||||
watentÒø³æ (СÓÐÃûÆø)
|
[ÇóÖú]
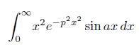
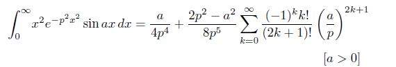
¸÷λ°ïæ¿´ÏÂÕâ¸ö»ý·ÖÓÐûÓнâÎö½â ÒÑÓÐ3È˲ÎÓë
|
|||
|
|
||||
| »ØÌûÖ§³Ö ( ÏÔʾ֧³Ö¶È×î¸ßµÄǰ 50 Ãû ) | ||||
watentÒø³æ (СÓÐÃûÆø)
|
||||
|
4Â¥2015-12-05 09:36:18
|
|
|||
| ÆÕͨ»ØÌû | ||||
wurongjunר¼Ò¹ËÎÊ (Ö°Òµ×÷¼Ò)
|
¡¾´ð°¸¡¿Ó¦Öú»ØÌû
¡ï ¡ï ¡ï ¡ï ¡ï ¡ï ¡ï ¡ï ¡ï ¡ï ¡ï ¡ï ¡ï ¡ï ¡ï ¡ï ¡ï ¡ï ¡ï ¡ï ¡ï ¡ï ¡ï ¡ï ¡ï ¡ï ¡ï ¡ï ¡ï ¡ï ¡ï ¡ï ¡ï ¡ï ¡ï ¡ï ¡ï ¡ï ¡ï ¡ï ¡ï ¡ï ¡ï ¡ï ¡ï ¡ï ¡ï ¡ï ¡ï ¡ï ¡ï ¡ï ...
¸Ðл²ÎÓ룬ӦÖúÖ¸Êý +1 watent: ½ð±Ò+90, ¡ï¡ï¡ï¡ï¡ï×î¼Ñ´ð°¸ 2015-12-05 10:22:52
|
|||
![]() |
||||
|
2Â¥2015-12-05 09:25:26
|
|
|||
¿ÕÖзɿÍÖÁ×ðľ³æ (ÖøÃûдÊÖ)
|
||||
|
3Â¥2015-12-05 09:26:11
|
|
|||
watentÒø³æ (СÓÐÃûÆø)
|
||||
|
5Â¥2015-12-05 09:37:08
|
|
|||
watentÒø³æ (СÓÐÃûÆø)
|
||||
|
6Â¥2015-12-05 09:50:48
|
|
|||
nagamiľ³æ (ÕýʽдÊÖ)
|
||||
![]() |
||||
|
7Â¥2015-12-05 09:56:35
|
|
|||
wurongjunר¼Ò¹ËÎÊ (Ö°Òµ×÷¼Ò)
|
||||
![]() |
||||
|
8Â¥2015-12-05 10:14:59
|
|
|||
wurongjunר¼Ò¹ËÎÊ (Ö°Òµ×÷¼Ò)
|
||||
![]() |
||||
|
9Â¥2015-12-05 10:16:40
|
|
|||
watentÒø³æ (СÓÐÃûÆø)
|
||||
|
10Â¥2015-12-05 10:22:37
|
|
|||













»Ø¸´´ËÂ¥


watent