| 查看: 2029 | 回复: 14 | |||
heminpest金虫 (小有名气)
|
[求助]
matlab求积分问题-积分里面还有积分之类的问题已有3人参与
|
||
|
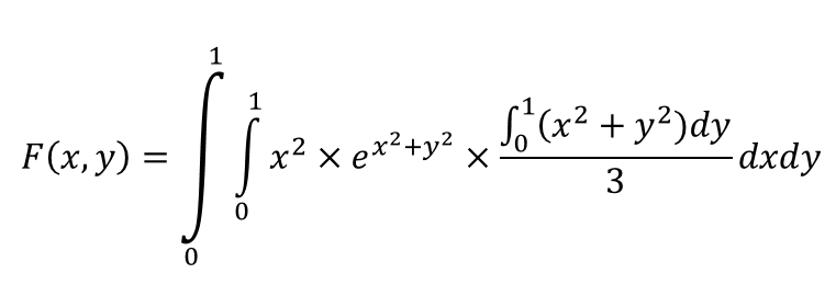
请教各位matlab高手,如图所示的积分(积分里面还有积分)怎样才能用matlab求出呢,请给出相应的matlab代码,不胜感激。因为近期要用matlab进行积分运算,涉及较多此类的复杂积分。图中积分较简单,想请matlab高手以这个积分为例,介绍一下这种积分里面还有积分的数学问题的matlab解法思路,谢谢。 积分询问-小木虫.png |
» 猜你喜欢
真诚求助:手里的省社科项目结项要求主持人一篇中文核心,有什么渠道能发核心吗
已经有8人回复
寻求一种能扛住强氧化性腐蚀性的容器密封件
已经有5人回复
论文投稿,期刊推荐
已经有6人回复
请问哪里可以有青B申请的本子可以借鉴一下。
已经有4人回复
孩子确诊有中度注意力缺陷
已经有14人回复
请问下大家为什么这个铃木偶联几乎不反应呢
已经有5人回复
请问有评职称,把科研教学业绩算分排序的高校吗
已经有5人回复
2025冷门绝学什么时候出结果
已经有3人回复
天津工业大学郑柳春团队欢迎化学化工、高分子化学或有机合成方向的博士生和硕士生加入
已经有4人回复
康复大学泰山学者周祺惠团队招收博士研究生
已经有6人回复
» 本主题相关价值贴推荐,对您同样有帮助:
推导一个公式,关于MGF函数的,老是出现积分等于无穷的情况
已经有9人回复
求问MATLAB中积分和叉乘的问题
已经有0人回复
Matlab符号积分问题
已经有0人回复
【求助】关于函数逼近中的Legendre多项式展开,高阶反而比低阶差
已经有0人回复
wurongjun
专家顾问 (职业作家)
-

专家经验: +831 - 数学EPI: 9
- 应助: 791 (博后)
- 贵宾: 0.308
- 金币: 24607.5
- 散金: 310
- 红花: 75
- 帖子: 3004
- 在线: 881.2小时
- 虫号: 1368482
- 注册: 2011-08-14
- 性别: GG
- 专业: 计算数学与科学工程计算
- 管辖: 数学

5楼2015-11-30 18:32:31
★ ★
感谢参与,应助指数 +1
heminpest: 金币+2, ★有帮助, 思路很好,对我来说不适用,谢谢。 2015-12-01 20:42:05
感谢参与,应助指数 +1
heminpest: 金币+2, ★有帮助, 思路很好,对我来说不适用,谢谢。 2015-12-01 20:42:05
|
本帖内容被屏蔽 |
9楼2015-12-01 11:19:57
heminpest
金虫 (小有名气)
- 应助: 0 (幼儿园)
- 金币: 4259.8
- 散金: 112
- 红花: 4
- 帖子: 248
- 在线: 148.2小时
- 虫号: 3074680
- 注册: 2014-03-20
- 专业: 金属结构材料
10楼2015-12-01 21:00:15
bluesine
铁杆木虫 (职业作家)
科苑小木虫
- 数学EPI: 5
- 应助: 132 (高中生)
- 贵宾: 1.991
- 金币: 9496.3
- 散金: 89
- 红花: 19
- 帖子: 3534
- 在线: 363.8小时
- 虫号: 869544
- 注册: 2009-10-12
- 性别: GG
- 专业: 数学物理

2楼2015-11-30 15:57:26
heminpest
金虫 (小有名气)
- 应助: 0 (幼儿园)
- 金币: 4259.8
- 散金: 112
- 红花: 4
- 帖子: 248
- 在线: 148.2小时
- 虫号: 3074680
- 注册: 2014-03-20
- 专业: 金属结构材料
3楼2015-11-30 16:10:13
bluesine
铁杆木虫 (职业作家)
科苑小木虫
- 数学EPI: 5
- 应助: 132 (高中生)
- 贵宾: 1.991
- 金币: 9496.3
- 散金: 89
- 红花: 19
- 帖子: 3534
- 在线: 363.8小时
- 虫号: 869544
- 注册: 2009-10-12
- 性别: GG
- 专业: 数学物理
【答案】应助回帖
★ ★ ★ ★ ★
heminpest: 金币+5, ★有帮助 2015-11-30 17:05:08
heminpest: 金币+5, ★有帮助 2015-11-30 17:05:08
|
二重数值积分用dblquad,参见文档 http://wenku.baidu.com/link?url= ... AM7iyXlPyKLQMAx53Jq 或者你自己用matlab帮助文件help |

4楼2015-11-30 16:20:23
shabaolin
铜虫 (著名写手)
- 应助: 4 (幼儿园)
- 金币: 8603.4
- 红花: 6
- 帖子: 1207
- 在线: 145.2小时
- 虫号: 868907
- 注册: 2009-10-12
- 专业: 高分子物理与高分子物理化
6楼2015-12-01 03:45:50
chengsi9406
铁杆木虫 (著名写手)
- 应助: 26 (小学生)
- 金币: 5941.8
- 红花: 8
- 帖子: 1422
- 在线: 92.3小时
- 虫号: 4055000
- 注册: 2015-09-06
- 专业: 核技术及其应用
7楼2015-12-01 11:13:30
chengsi9406
铁杆木虫 (著名写手)
- 应助: 26 (小学生)
- 金币: 5941.8
- 红花: 8
- 帖子: 1422
- 在线: 92.3小时
- 虫号: 4055000
- 注册: 2015-09-06
- 专业: 核技术及其应用
8楼2015-12-01 11:15:58













回复此楼