| 查看: 2361 | 回复: 8 | ||||
ytseng铁虫 (小有名气)
|
[求助]
有关羧甲基壳聚糖热重分析结果
|
|
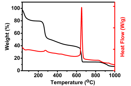
各位大侠大家好,小弟最近在国内一家公司买了羧甲基壳聚糖并测试了热重分析(热重分析为空气环境,增温速度是10度/min)。结果请见附件。 想请问各位,在630度左右出现的放热峰对应的是什么分解?为什么在1000度后仍有一定量的物质剩余(大约8%左右),请问这是什么?先行谢过各位了。 捕获.PNG |
» 猜你喜欢
三无产品还有机会吗
已经有4人回复
投稿返修后收到这样的回复,还有希望吗
已经有7人回复
压汞仪和BET测气凝胶孔隙率
已经有4人回复
博士申请都是内定的吗?
已经有14人回复
谈谈两天一夜的“延安行”
已经有13人回复
氨基封端PDMS和HDI反应快速固化
已经有11人回复
之前让一硕士生水了7个发明专利,现在这7个获批发明专利的维护费可从哪儿支出哈?
已经有11人回复
论文投稿求助
已经有4人回复
Applied Surface Science 这个期刊。有哪位虫友投过的能把word模板发给我参考一下嘛
已经有3人回复
投稿精细化工
已经有6人回复
bionics
专家顾问 (职业作家)
-

专家经验: +1519 - 应助: 1028 (博后)
- 贵宾: 0.497
- 金币: 27122.1
- 散金: 295
- 红花: 326
- 帖子: 3675
- 在线: 657.2小时
- 虫号: 531163
- 注册: 2008-03-23
- 专业: 有机高分子材料
- 管辖: 高分子

2楼2015-11-15 22:17:01
ytseng
铁虫 (小有名气)
- 应助: 1 (幼儿园)
- 金币: 4603.6
- 散金: 1232
- 红花: 1
- 帖子: 220
- 在线: 72.1小时
- 虫号: 2242357
- 注册: 2013-01-15
- 性别: GG
- 专业: 牙缺损、缺失及牙颌畸形的
3楼2015-11-15 22:51:08
chenhailin2007
木虫 (著名写手)
防腐专家
- 应助: 8 (幼儿园)
- 金币: 2670.8
- 散金: 1850
- 红花: 20
- 帖子: 2632
- 在线: 295小时
- 虫号: 439873
- 注册: 2007-10-25
- 性别: GG
- 专业: 高分子合成化学
4楼2015-11-15 23:00:46
bionics
专家顾问 (职业作家)
-

专家经验: +1519 - 应助: 1028 (博后)
- 贵宾: 0.497
- 金币: 27122.1
- 散金: 295
- 红花: 326
- 帖子: 3675
- 在线: 657.2小时
- 虫号: 531163
- 注册: 2008-03-23
- 专业: 有机高分子材料
- 管辖: 高分子

5楼2015-11-16 08:32:42
大仙鹤叔叔
木虫 (著名写手)
- 应助: 0 (幼儿园)
- 金币: 3262.6
- 红花: 19
- 帖子: 2057
- 在线: 492.9小时
- 虫号: 1425187
- 注册: 2011-10-02
- 性别: GG
- 专业: 胶体与界面化学
6楼2015-11-16 08:36:26
ytseng
铁虫 (小有名气)
- 应助: 1 (幼儿园)
- 金币: 4603.6
- 散金: 1232
- 红花: 1
- 帖子: 220
- 在线: 72.1小时
- 虫号: 2242357
- 注册: 2013-01-15
- 性别: GG
- 专业: 牙缺损、缺失及牙颌畸形的
7楼2015-11-16 17:10:07
bionics
专家顾问 (职业作家)
-

专家经验: +1519 - 应助: 1028 (博后)
- 贵宾: 0.497
- 金币: 27122.1
- 散金: 295
- 红花: 326
- 帖子: 3675
- 在线: 657.2小时
- 虫号: 531163
- 注册: 2008-03-23
- 专业: 有机高分子材料
- 管辖: 高分子
【答案】应助回帖
★ ★ ★ ★ ★ ★ ★ ★ ★ ★ ★ ★ ★ ★ ★ ★ ★ ★ ★ ★ ★ ★ ★ ★ ★ ★ ★ ★ ★ ★ ★ ★ ★ ★ ★ ★ ★ ★ ★ ★ ★ ★ ★ ★ ★ ★ ★ ★ ★ ★ ★ ★ ...
ytseng: 金币+90, ★★★★★最佳答案, 十分感谢bionics的耐心回答。 2015-11-16 21:02:57
ytseng: 金币+10, ★★★★★最佳答案 2015-11-16 21:03:13
ytseng: 金币+90, ★★★★★最佳答案, 十分感谢bionics的耐心回答。 2015-11-16 21:02:57
ytseng: 金币+10, ★★★★★最佳答案 2015-11-16 21:03:13
|
850℃时,高温裂解导致了炭化,即使没有空气氛也一样的,可能裂解碳化后会有残碳。由于你的热重分析为空气氛,应该会使残碳进一步氧化分解大部分的,可你的残余还是那么高,所以我觉得可能有盐残余。 羧甲基壳聚糖中的分子链上的CH键相对稳定性高,一般也是最后炭化的成分。 假设在没有无机物的情况下,像羧甲基壳聚糖这样的有机大分子如果在空气中加热到很高的温度,最终是否都会变为二氧化碳而消失?--是的,但是在DSC测试系统中,即是是空气氛,流量较低时,也可能会造成残碳。 但是一般温度高达1000度的话,残碳几乎消失的,如果样品中有残余硅酸盐等,也可能导致残余SiC残余物。况且你的样品1000度时残余物高达8%。 |

8楼2015-11-16 20:14:03
gsli1987
木虫 (正式写手)
- 应助: 19 (小学生)
- 金币: 3577.4
- 散金: 224
- 红花: 7
- 帖子: 867
- 在线: 232.9小时
- 虫号: 877385
- 注册: 2009-10-19
- 性别: GG
- 专业: 海洋药物

9楼2015-11-26 14:49:27













回复此楼
ytseng