| ²é¿´: 1136 | »Ø¸´: 9 | ||
˵ȴýΪËгæ (³õÈëÎÄ̳)
|
[ÇóÖú]
ÇóÖú·´Ó¦µÄºó´¦Àí ÒÑÓÐ5È˲ÎÓë
|
|
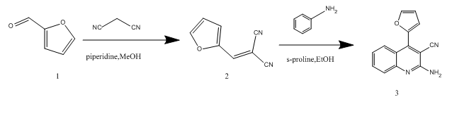
ÓÐÄÄλ³æ×Ó×ö¹ýÕâ¸ö·´Ó¦°¡£¿´Ó1µ½2£¬2ÊǺںõºõµÄ£¬ÓÃË®ºÍÓлúÈܼÁÏ´Ò²¿´²»µ½·Ö²ã£¬ÇëÎʸÃÔõô¶Ô2½øÐд¦Àí°¡ I1DLZ9`U084@$AH)EKK(XDH.png [ Last edited by ÁèÓîÀ×³Ø on 2015-11-4 at 09:05 ] |
» ²ÂÄãϲ»¶
CSC¸ÄÅÉ-²©Ê¿Éú½»Á÷·Ãѧ
ÒѾÓÐ19È˻ظ´
ÖÐɽ´óѧ-µÚÆßÒ½Ôº-ÕпÆÑÐÖúÀí1Ãû£¨»ùÒòÉè¼ÆºÍ¿Ë¡¡¢RNAºÏ³É£©
ÒѾÓÐ0È˻ظ´
Ò©ÀíѧÂÛÎÄÈóÉ«/·ÒëÔõôÊÕ·Ñ?
ÒѾÓÐ183È˻ظ´
ÖÐɽ´óѧ-µÚÆßÒ½Ôº-ÕпÆÑÐÖúÀí1Ãû£¨»ùÒòÉè¼ÆºÍ¿Ë¡¡¢RNAºÏ³É£©
ÒѾÓÐ1È˻ظ´
°ÍÀèÈø¿ËÀ×´óѧÓë¹ú¼ÒÁôѧ»ù½ðίºÏ×÷²©Ê¿Ñо¿ÉúÏîÄ¿-Ö¬ÖÊÄÉÃ×Ò©Îï/ÉúÎï²ÄÁÏ/¶à·ÓµÝËÍ
ÒѾÓÐ10È˻ظ´
½õÖÝÒ½¿Æ´óѧҩÓÃÉúÎï²ÄÁÏ£¨×¨Òµ´úÂë1007Z1£©ÕÐÊÕµ÷¼Á¿¼Éú
ÒѾÓÐ0È˻ظ´
½õÖÝÒ½¿Æ´óѧҩÓÃÉúÎï²ÄÁÏ£¨×¨Òµ´úÂë1007Z1£©ÕÐÊÕµ÷¼Á¿¼Éú
ÒѾÓÐ2È˻ظ´
26É격×Ô¼ö
ÒѾÓÐ12È˻ظ´
» ±¾Ö÷ÌâÏà¹Ø¼ÛÖµÌùÍÆ¼ö£¬¶ÔÄúͬÑùÓаïÖú:
ÇóÖú¹ØÓÚ¾µä°¬²®×ô·ò·´Ó¦µÄºó´¦Àí
ÒѾÓÐ3È˻ظ´
¸µ¿Ë·´Ó¦ºó´¦ÀíÇóÖú
ÒѾÓÐ4È˻ظ´
¸µ¿Ë·´Ó¦ºó´¦ÀíÇóÖú
ÒѾÓÐ2È˻ظ´
ÇóÖúÕâ¸ö·´Ó¦µÄºó´¦ÀíÎÊÌâ
ÒѾÓÐ9È˻ظ´
ÇóÖú·´Ó¦ºó´¦ÀíÎÊÌâ
ÒѾÓÐ7È˻ظ´
ÇóÖú¸ßÊÖ£ºLDA²ÎÓë·´Ó¦µÄºó´¦Àí
ÒѾÓÐ4È˻ظ´
ÇóÖú Ñõ»¯»¹Ô·´Ó¦µÄºó´¦Àí
ÒѾÓÐ6È˻ظ´
½ô¼±ÇóÖúÒ»¸ö·´Ó¦µÄºó´¦Àí£¨³ýÈ¥¼×´¼£©
ÒѾÓÐ10È˻ظ´
ʵÑéС°×ÇóÖúÁ½¸ö·´Ó¦µÄºó´¦ÀíÎÊÌâ
ÒѾÓÐ8È˻ظ´
ÇóÖúºù«ëåµÄôÇ»ù»¯·´Ó¦ºó´¦Àí
ÒѾÓÐ15È˻ظ´
ÇóÖúÒ»¸ö·´Ó¦ºó´¦Àí
ÒѾÓÐ0È˻ظ´
ÇóÖúÒ»¸ö·´Ó¦ºó´¦Àí
ÒѾÓÐ11È˻ظ´
ÇóÖúÂüÄáÏ£·´Ó¦µÄºó´¦Àí
ÒѾÓÐ7È˻ظ´
ÇóÖúÕâ¸ö·´Ó¦µÄºó´¦Àí
ÒѾÓÐ20È˻ظ´
ÇóÖúÂüÄáÏ£·´Ó¦µÄºó´¦Àí
ÒѾÓÐ5È˻ظ´
ÇóÖú·´Ó¦µÄºó´¦ÀíÎÊÌâ
ÒѾÓÐ2È˻ظ´
¡¾ÇóÖú¡¿·´Ó¦ºó´¦Àí
ÒѾÓÐ10È˻ظ´
¡¾ÇóÖú¡¿·´Ó¦ºó´¦Àí
ÒѾÓÐ9È˻ظ´
˵ȴýΪË
гæ (³õÈëÎÄ̳)
- Ó¦Öú: 0 (Ó×¶ùÔ°)
- ½ð±Ò: 11.5
- Ìû×Ó: 7
- ÔÚÏß: 4.6Сʱ
- ³æºÅ: 3526731
- ×¢²á: 2014-11-08
- רҵ: ÓлúºÏ³É
2Â¥2015-11-01 12:44:09
pigoor
Ìú¸Ëľ³æ (ÕýʽдÊÖ)
- Ó¦Öú: 7 (Ó×¶ùÔ°)
- ½ð±Ò: 7686.7
- ºì»¨: 1
- Ìû×Ó: 502
- ÔÚÏß: 169.5Сʱ
- ³æºÅ: 292715
- ×¢²á: 2006-11-04
- רҵ: ÓлúºÏ³É
|
´Ó1µ½2µÄ·´Ó¦ÄãºÃÏñ»´íÁË£¬¶àÁ˸ö̼¡£Èç¹û²»ºÃºó´¦Àí£¬Äã¿ÉÒÔ¿¼ÂÇÁ½²½Á¬ÐøÍ¶°¡ ·¢×ÔСľ³æIOS¿Í»§¶Ë |
3Â¥2015-11-01 13:12:14
chsy9520
ľ³æ (ÕýʽдÊÖ)
- Ó¦Öú: 76 (³õÖÐÉú)
- ½ð±Ò: 4701.9
- É¢½ð: 235
- ºì»¨: 3
- Ìû×Ó: 521
- ÔÚÏß: 182.9Сʱ
- ³æºÅ: 433138
- ×¢²á: 2007-08-18
- ÐÔ±ð: GG
- רҵ: Ò©Îﻯѧ
¡¾´ð°¸¡¿Ó¦Öú»ØÌû
¡ï
¸Ðл²ÎÓ룬ӦÖúÖ¸Êý +1
˵ȴýΪË: ½ð±Ò+1, ¡ïÓаïÖú 2015-11-02 17:49:44
¸Ðл²ÎÓ룬ӦÖúÖ¸Êý +1
˵ȴýΪË: ½ð±Ò+1, ¡ïÓаïÖú 2015-11-02 17:49:44
|
ÄãßÁà¤ÓÃÁ¿¶àÉÙ ¿ÉÒÔ»»¸öÆäËûµÄ¼î Èç¼×´¼ÄÆ ÄÆÇâµÈ ·¢×ÔСľ³æIOS¿Í»§¶Ë |

4Â¥2015-11-01 13:45:57
˵ȴýΪË
гæ (³õÈëÎÄ̳)
- Ó¦Öú: 0 (Ó×¶ùÔ°)
- ½ð±Ò: 11.5
- Ìû×Ó: 7
- ÔÚÏß: 4.6Сʱ
- ³æºÅ: 3526731
- ×¢²á: 2014-11-08
- רҵ: ÓлúºÏ³É
5Â¥2015-11-01 14:09:02
deeven
ľ³æ (ÕýʽдÊÖ)
- Ó¦Öú: 12 (СѧÉú)
- ½ð±Ò: 4919.2
- ºì»¨: 3
- Ìû×Ó: 691
- ÔÚÏß: 88.1Сʱ
- ³æºÅ: 3018256
- ×¢²á: 2014-03-05
- ÐÔ±ð: GG
- רҵ: ÓлúºÏ³É
¡¾´ð°¸¡¿Ó¦Öú»ØÌû
¡ï
¸Ðл²ÎÓ룬ӦÖúÖ¸Êý +1
˵ȴýΪË: ½ð±Ò+1, ¡ïÓаïÖú 2015-11-02 17:51:52
¸Ðл²ÎÓ룬ӦÖúÖ¸Êý +1
˵ȴýΪË: ½ð±Ò+1, ¡ïÓаïÖú 2015-11-02 17:51:52
|
Ïȵã°å¿´²úÎïÔÚ²»ÔÚÓлúÏ࣬Äܲ»ÄÜÝͳöÀ´£¬Ôڵϰ¶¨ÈÝÝÍÈ¡£¬¼ÓÈë¶àÉÙË®¾Í·Ö³ö¶àÉÙË®£¬Ë®ÏàÑÕɫӦ¸Ã»á±ädzµÄ... ·¢×ÔСľ³æIOS¿Í»§¶Ë |
6Â¥2015-11-01 14:59:47
¡¾´ð°¸¡¿Ó¦Öú»ØÌû
¡ï
¸Ðл²ÎÓ룬ӦÖúÖ¸Êý +1
˵ȴýΪË: ½ð±Ò+1 2015-11-02 17:51:08
¸Ðл²ÎÓ룬ӦÖúÖ¸Êý +1
˵ȴýΪË: ½ð±Ò+1 2015-11-02 17:51:08
|
ÝÍÈ¡ÌåϵÓùèÔåÍÁ¹ýÂËÏ¿´¿´ÊÇ·ñÄÜ·Ö²ãÇåÎú£¡ ·¢×ÔСľ³æAndroid¿Í»§¶Ë |
7Â¥2015-11-01 19:03:12
mezs
ľ³æ (ÕýʽдÊÖ)
- Ó¦Öú: 4 (Ó×¶ùÔ°)
- ½ð±Ò: 580.7
- É¢½ð: 65
- ºì»¨: 3
- Ìû×Ó: 440
- ÔÚÏß: 630.6Сʱ
- ³æºÅ: 545432
- ×¢²á: 2008-04-14
- ÐÔ±ð: GG
- רҵ: Ò©Îï·ÖÎö

8Â¥2015-11-02 11:45:30
xzk2005109
ľ³æ (СÓÐÃûÆø)
- Ó¦Öú: 22 (СѧÉú)
- ½ð±Ò: 2850.9
- ºì»¨: 2
- Ìû×Ó: 169
- ÔÚÏß: 214.2Сʱ
- ³æºÅ: 423176
- ×¢²á: 2007-07-21
- רҵ: ÓлúºÏ³É
9Â¥2015-11-02 11:53:05
ßÁशþ¼×Ëá
½û³æ (Ö°Òµ×÷¼Ò)
|
±¾ÌûÄÚÈݱ»ÆÁ±Î |
10Â¥2015-11-02 17:36:20














»Ø¸´´ËÂ¥