Znn3bq.jpeg
²é¿´: 998  |  »Ø¸´: 4

yeris

гæ (³õÈëÎÄ̳)

[ÇóÖú] Çó´óÉñ°ïÎÒ¿´¿´Õâ¸öBET ÒÑÓÐ3È˲ÎÓë

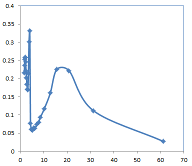
Çó´óÉñ°ïÎÒ¿´¿´Õâ¸öBET£¬¿×·Ö²¼£¬Ôõô½âÊÍ£¬¾Í˵·Ö²¼²»¾ùÔÈ£¿µ«¶¼ÔÚ½é¿×·¶Î§ÄÚ£¿Çó½âÊÍÒ»ÏÂ

Çó´óÉñ°ïÎÒ¿´¿´Õâ¸öBET
1.png
»Ø¸´´ËÂ¥

» ²ÂÄãϲ»¶

» ±¾Ö÷ÌâÏà¹Ø¼ÛÖµÌùÍÆ¼ö£¬¶ÔÄúͬÑùÓаïÖú:

ÒÑÔÄ   »Ø¸´´ËÂ¥   ¹Ø×¢TA ¸øTA·¢ÏûÏ¢ ËÍTAºì»¨ TAµÄ»ØÌû

gonnow

ľ³æ (СÓÐÃûÆø)

¡¾´ð°¸¡¿Ó¦Öú»ØÌû

¡ï ¡ï ¡ï ¡ï ¡ï ¡ï ¡ï
¸Ðл²ÎÓ룬ӦÖúÖ¸Êý +1
yeris: ½ð±Ò+5, ¡ï¡ï¡ïºÜÓаïÖú 2015-10-27 10:53:17
Á¶ÓüÖ®»ð: ½ð±Ò+2, ¸Ðл»ØÌû£¬»¶Ó­³£À´½»Á÷ 2015-10-27 17:56:04
Ë«½é¿×²ÄÁÏ£¬¿ÉÒԲο¼Ò»ÆªÍâÎÄÎÄÏ×£¬×÷Õߣºweiyan wang,ÌâÄ¿ºÃÏñÊÇË«½é¿×¶þÁò»¯îâµÄ¼ÓÇâÍÑÑõ

·¢×ÔСľ³æIOS¿Í»§¶Ë
²»±°²»¿º£¬ÄÐÈ˱¾É«
2Â¥2015-10-27 10:43:56
ÒÑÔÄ   »Ø¸´´ËÂ¥   ¹Ø×¢TA ¸øTA·¢ÏûÏ¢ ËÍTAºì»¨ TAµÄ»ØÌû

yeris

гæ (³õÈëÎÄ̳)

ÒýÓûØÌû:
2Â¥: Originally posted by gonnow at 2015-10-27 10:43:56
Ë«½é¿×²ÄÁÏ£¬¿ÉÒԲο¼Ò»ÆªÍâÎÄÎÄÏ×£¬×÷Õߣºweiyan wang,ÌâÄ¿ºÃÏñÊÇË«½é¿×¶þÁò»¯îâµÄ¼ÓÇâÍÑÑõ

»á²»»áÇ°ÃæµÄÊDZ¾Éí½é¿×£¬ºóÃæ´óÒ»µãµÄÊǶѻý²úÉúµÄ¿×ÄØ£¿
3Â¥2015-10-27 10:52:59
ÒÑÔÄ   »Ø¸´´ËÂ¥   ¹Ø×¢TA ¸øTA·¢ÏûÏ¢ ËÍTAºì»¨ TAµÄ»ØÌû

Conger702

ľ³æ (ÕýʽдÊÖ)

¡¾´ð°¸¡¿Ó¦Öú»ØÌû

¡ï ¡ï ¡ï
¸Ðл²ÎÓ룬ӦÖúÖ¸Êý +1
yeris: ½ð±Ò+3, ¡ï¡ï¡ïºÜÓаïÖú 2015-11-04 08:56:56
ÒýÓûØÌû:
3Â¥: Originally posted by yeris at 2015-10-27 10:52:59
»á²»»áÇ°ÃæµÄÊDZ¾Éí½é¿×£¬ºóÃæ´óÒ»µãµÄÊǶѻý²úÉúµÄ¿×ÄØ£¿...

ºÜÓпÉÄÜ£¬ÒòΪºóÃæµÄ¿×¾¶·Ö²¼ÊÇÒ»¸ö½Ï¿íµÄ·¶Î§£¬Óë¿ÅÁ£µÄÁ£¾¶ÓйØÏµ£¬¶øÇ°ÃæµÄ·Ö²¼¾ÍºÜÕ­£¬¿ÉÄÜÊǾùÔȵĽé¿×³ß´ç¡£
4Â¥2015-10-27 15:00:53
ÒÑÔÄ   »Ø¸´´ËÂ¥   ¹Ø×¢TA ¸øTA·¢ÏûÏ¢ ËÍTAºì»¨ TAµÄ»ØÌû

zt_nuc

ľ³æ (ÕýʽдÊÖ)

¡¾´ð°¸¡¿Ó¦Öú»ØÌû

¡ï ¡ï ¡ï ¡ï ¡ï
¸Ðл²ÎÓ룬ӦÖúÖ¸Êý +1
yeris: ½ð±Ò+5, ¡ï¡ï¡ïºÜÓаïÖú 2015-11-04 08:56:32
Èç¹ûµÚÒ»¸ö·åµÄ¿×¾¶·Ö²¼Ò²ÔÚ´óÓÚ2nmµÄ·¶Î§£¬ÄÇôÕâÖвÄÁÏÎÞÒÉÊÇË«½é¿×²ÄÁÏ£¬¿×¾¶·Ö²¼Ò²ºÜÕ­£¬ËµÃ÷¿×¾¶ºÜ¾ùÒ»¡£ºóÃæÄǸö20nmµÄÊôÓÚ¿ÅÁ£¶Ñ»ýÐγɵļ´Ë«½é¿×²ÄÁÏ¿ÅÁ£¶Ñ»ýºóÐγɡ£Õâ¸úÎÒÖ®Ç°ÖÆ±¸µÄÒ»ÖÖ̼»¯Îï²ÄÁϺÜÏàËÆ¡£Ï£Íû¶ÔÄãÓÐÓã¡
ÄÜ·ÅÊֵͼ·ÅµôÁË¡£¡£¡£
5Â¥2015-10-28 16:58:59
ÒÑÔÄ   »Ø¸´´ËÂ¥   ¹Ø×¢TA ¸øTA·¢ÏûÏ¢ ËÍTAºì»¨ TAµÄ»ØÌû
Ïà¹Ø°æ¿éÌø×ª ÎÒÒª¶©ÔÄÂ¥Ö÷ yeris µÄÖ÷Ìâ¸üÐÂ
×î¾ßÈËÆøÈÈÌûÍÆ¼ö [²é¿´È«²¿] ×÷Õß »Ø/¿´ ×îºó·¢±í
[¿¼ÑÐ] 314Çóµ÷¼Á +24 wakeluofu 2026-04-09 25/1250 2026-04-13 08:58 by lhj2009
[¿¼ÑÐ] 071000ÉúÎïѧ£¬Ò»Ö¾Ô¸ÉîÛÚ´óѧ296·Ö£¬Çóµ÷¼Á +13 TIckLw 2026-04-06 14/700 2026-04-13 08:49 by ¿Éµ­²»¿ÉÍü
[¿¼ÑÐ] ¿¼ÑÐÓ¢Ò»ÊýÒ»338·Ö +5 ³¤½­´óѧ¶«Ð£Çø 2026-04-13 6/300 2026-04-13 08:45 by grlsj
[¿¼ÑÐ] µ÷¼ÁÇóÊÕÁô +29 ¹ûÈ»ÓÐÎÒ 2026-04-10 30/1500 2026-04-12 22:14 by zxcwyt
[¿¼ÑÐ] 308Çóµ÷¼Á +5 VvvvL 2026-04-10 5/250 2026-04-12 10:17 by babysonlkd
[¿¼ÑÐ] 305Çóµ÷¼Á +7 Â꿨°Í¿¨boom 2026-04-11 7/350 2026-04-12 07:35 by zhouxiaoyu
[¿¼ÑÐ] 277 ÊýÒ»104£¬Ñ§Ë¶£¬Çóµ÷¼Á +21 Æ¿×ÓPZ 2026-04-09 23/1150 2026-04-11 23:12 by labixiaoqiao
[¿¼ÑÐ] 284Çóµ÷¼Á +11 archer.. 2026-04-09 12/600 2026-04-11 20:23 by À¶ÔÆË¼Óê
[¿¼ÑÐ] ÉúÎïѧ308Çóµ÷¼Á£¨Ò»Ö¾Ô¸»ª¶«Ê¦´ó£© +6 ÏàÐűػá¹ââÍòÕ 2026-04-10 6/300 2026-04-11 05:23 by zhuwenxu
[¿¼ÑÐ] ±¾¿ÆÎ÷¹¤´ó 324Çóµ÷¼Á +4 wysyjs25 2026-04-10 4/200 2026-04-10 20:00 by À´¿´Á÷ÐÇÓê10
[¿¼ÑÐ] Ò»Ö¾Ô¸¾©Çø985£¬085401µç×ÓÐÅÏ¢£¬±¾¿Æµç×ÓÐÅÏ¢ +3 Ñô¹â¿ªÀʵÄÄк¢ 2026-04-10 3/150 2026-04-10 16:29 by sophia_93
[¿¼ÑÐ] 344Çóµ÷¼Á +7 ؼ·çѩҹ¹éÈËØ¼ 2026-04-09 7/350 2026-04-10 12:05 by pengliang8036
[¿¼ÑÐ] һ־Ը³¶«´óѧ071000ÉúÎïѧѧ˶³õÊÔ·ÖÊý276Çóµ÷¼Á +20 Ľ¾øcc 2026-04-09 24/1200 2026-04-10 10:22 by xujun0624
[¿¼ÑÐ] 085601³õÊÔ330·ÖÕÒµ÷¼Á +10 Á÷ÐÄÄ̻ưül 2026-04-09 10/500 2026-04-10 08:14 by Sammy2
[¿¼ÑÐ] 086000ÉúÎïÓëÒ½Ò©µ÷¼Á +7 awwwwwooooo 2026-04-09 7/350 2026-04-09 13:31 by ±±¼«159263
[¿¼ÑÐ] Ò»Ö¾Ô¸Î÷ÄÏ´óѧÉúÎïѧѧ˶344 ÇóÉúÎïѧÏà¹Øµ÷¼Á/ÉúÎïÓëÒ½Ò© +7 ³¬È˲»»á·É@ 2026-04-08 7/350 2026-04-09 09:35 by gong120082
[¿¼ÑÐ] 353Çóµ÷¼Á +8 Çç¿ÕÍòÀïair 2026-04-07 8/400 2026-04-09 00:18 by GouQ
[¿¼ÑÐ] 277Çóµ÷¼Á +4 ¿¼Ñе÷¼Álxh 2026-04-06 6/300 2026-04-08 10:40 by ÄæË®³Ë·ç
[¿¼ÑÐ] 11408 325·Ö +3 jgtxuxgkx 2026-04-07 3/150 2026-04-07 23:10 by lbsjt
[¿¼ÑÐ] 22408 331·ÖÇóµ÷¼Á +4 y__1 2026-04-06 4/200 2026-04-06 17:26 by ÍÁľ˶ʿÕÐÉú
ÐÅÏ¢Ìáʾ
ÇëÌî´¦ÀíÒâ¼û