| 查看: 1385 | 回复: 4 | ||
applezju木虫 (正式写手)
|
[求助]
薛定谔方程数值解的本征值En由多少个,详情见里面
|
|
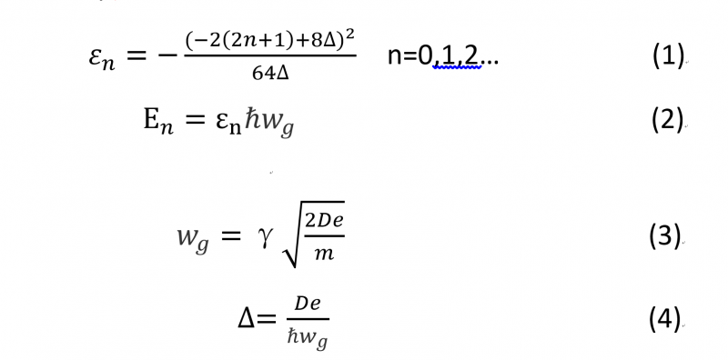
某文献中,利用Morse势解一维薛定谔方程,得到如下解 lz比较纠结的是n取多少,lz的理解n是对应电子的能级数目,应该和主量子数以及组成分子的原子数有关。 lz要求的物理量涉及下图的求和项: 文献的SI里列出了Li2分子的前24个能级,Li2分子为什么会有这么多能级啊(Li2分子有2s ,2p能级,2个分子就对应4个能级) 非常感谢! |
» 猜你喜欢
为什么中国大学工科教授们水了那么多所谓的顶会顶刊,但还是做不出宇树机器人?
已经有9人回复
版面费该交吗
已经有9人回复
体制内长辈说体制内绝大部分一辈子在底层,如同你们一样大部分普通教师忙且收入低
已经有13人回复
面上可以超过30页吧?
已经有4人回复
“人文社科而论,许多学术研究还没有达到民国时期的水平”
已经有5人回复
什么是人一生最重要的?
已经有4人回复
今年春晚有几个节目很不错,点赞!
已经有12人回复
» 本主题相关商家推荐: (我也要在这里推广)

liqizuiyang
木虫 (著名写手)
- 应助: 59 (初中生)
- 金币: 6859.5
- 散金: 261
- 红花: 94
- 帖子: 2093
- 在线: 708.9小时
- 虫号: 2366686
- 注册: 2013-03-21
- 性别: GG
- 专业: 凝聚态物性 II :电子结构
2楼2015-10-21 09:00:56
applezju
木虫 (正式写手)
- 应助: 11 (小学生)
- 金币: 2723.5
- 散金: 90
- 红花: 11
- 沙发: 1
- 帖子: 365
- 在线: 343.5小时
- 虫号: 2396394
- 注册: 2013-04-02
- 性别: GG
- 专业: 凝聚态物性I:结构、力学和

3楼2015-10-21 09:30:33
applezju
木虫 (正式写手)
- 应助: 11 (小学生)
- 金币: 2723.5
- 散金: 90
- 红花: 11
- 沙发: 1
- 帖子: 365
- 在线: 343.5小时
- 虫号: 2396394
- 注册: 2013-04-02
- 性别: GG
- 专业: 凝聚态物性I:结构、力学和

4楼2015-10-21 09:31:41
liqizuiyang
木虫 (著名写手)
- 应助: 59 (初中生)
- 金币: 6859.5
- 散金: 261
- 红花: 94
- 帖子: 2093
- 在线: 708.9小时
- 虫号: 2366686
- 注册: 2013-03-21
- 性别: GG
- 专业: 凝聚态物性 II :电子结构
5楼2015-10-21 10:01:47













回复此楼