| 查看: 1084 | 回复: 5 | |||
ayi1021新虫 (初入文坛)
|
[求助]
龙格-库塔法解三阶微分方程的步骤已有2人参与
|
|
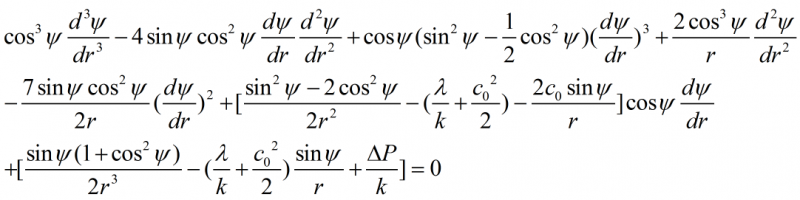
近日遇到一个三阶微分方程需要求解,所以想要了解怎么用龙格库塔方法求解,可以随便举个例子说明,我主要是想知道四阶龙格库塔公式里面的f(x,y)怎么确定。 25](7ALX9@FT1CDCXQLB_F7.png |
» 猜你喜欢
请问有评职称,把科研教学业绩算分排序的高校吗
已经有6人回复
2025冷门绝学什么时候出结果
已经有6人回复
Bioresource Technology期刊,第一次返修的时候被退回好几次了
已经有7人回复
真诚求助:手里的省社科项目结项要求主持人一篇中文核心,有什么渠道能发核心吗
已经有8人回复
寻求一种能扛住强氧化性腐蚀性的容器密封件
已经有5人回复
请问哪里可以有青B申请的本子可以借鉴一下。
已经有4人回复
请问下大家为什么这个铃木偶联几乎不反应呢
已经有5人回复
天津工业大学郑柳春团队欢迎化学化工、高分子化学或有机合成方向的博士生和硕士生加入
已经有4人回复
康复大学泰山学者周祺惠团队招收博士研究生
已经有6人回复
AI论文写作工具:是科研加速器还是学术作弊器?
已经有3人回复
郑州苗鹏
金虫 (小有名气)
- 应助: 3 (幼儿园)
- 金币: 699.6
- 帖子: 133
- 在线: 29.5小时
- 虫号: 3001395
- 注册: 2014-02-27
- 性别: GG
- 专业: 控制论中的数学方法

2楼2015-10-14 12:27:44
ayi1021
新虫 (初入文坛)
- 应助: 0 (幼儿园)
- 金币: 10.8
- 散金: 10
- 帖子: 12
- 在线: 6.8小时
- 虫号: 3403286
- 注册: 2014-09-07
- 性别: GG
- 专业: 高分子科学
3楼2015-10-16 10:08:56
伫立的灯塔
铁虫 (正式写手)
- 应助: 1 (幼儿园)
- 金币: 4595.8
- 红花: 3
- 帖子: 457
- 在线: 421.1小时
- 虫号: 2404946
- 注册: 2013-04-07
- 专业: 力学中的基本问题和方法
4楼2015-12-24 16:48:50
wurongjun
专家顾问 (职业作家)
-

专家经验: +831 - 数学EPI: 9
- 应助: 791 (博后)
- 贵宾: 0.308
- 金币: 24607.5
- 散金: 310
- 红花: 75
- 帖子: 3004
- 在线: 881.2小时
- 虫号: 1368482
- 注册: 2011-08-14
- 性别: GG
- 专业: 计算数学与科学工程计算
- 管辖: 数学

5楼2015-12-24 17:43:46
6楼2015-12-25 15:17:58













回复此楼