| 查看: 909 | 回复: 4 | |
[求助]
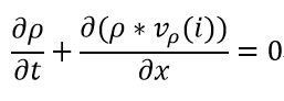
求教一个一维非线性偏微分方程的离散方法 已有2人参与
|
|
|
|
|
m06z511木虫 (职业作家)
|
|
|
2楼2015-10-12 16:23:52
|
|
|
3楼2015-10-12 19:46:08
|
|
shenyxtata金虫 (正式写手)
|
|
|
4楼2015-10-12 20:06:21
|
|
m06z511木虫 (职业作家)
|
|
|
5楼2015-10-13 08:28:03
|
|













回复此楼
10