| 查看: 22357 | 回复: 9 | |||
chaojiali木虫 (小有名气)
|
[求助]
数学符号“:”表示什么意思 已有3人参与
|
|
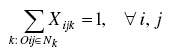
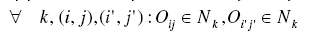
看数学公式时,遇到一些符号不太理解什么意思。 (1)加和符号下面k的取值有什么不同吗? (2)任意符号管到什么位置,使用任意符号时需要每个自由变量前都加上一个任意符号吗? (3)这里的数学符号“:”怎么解释? 符号1.jpg 符号2.jpg 符号3.jpg |
» 猜你喜欢
生物学308分求调剂(一志愿华东师大)接受跨专业
已经有7人回复
求调剂
已经有11人回复
085600材料与化工329分求调剂
已经有13人回复
化学070300 求调剂
已经有18人回复
085600材料与化工349分求调剂
已经有12人回复
273求调剂
已经有5人回复
一志愿211,化学学硕,310分,本科重点双非,求调剂
已经有21人回复
考研英一数一338分
已经有8人回复
302求调剂
已经有10人回复
327求调剂
已经有14人回复
chaojiali
木虫 (小有名气)
- 应助: 1 (幼儿园)
- 金币: 3587.8
- 帖子: 69
- 在线: 21.1小时
- 虫号: 3428314
- 注册: 2014-09-19
- 性别: GG
- 专业: 制造系统与自动化
2楼2015-08-03 22:30:55
|
了 [ 发自小木虫客户端 ] |
3楼2015-08-03 22:31:55
chaojiali
木虫 (小有名气)
- 应助: 1 (幼儿园)
- 金币: 3587.8
- 帖子: 69
- 在线: 21.1小时
- 虫号: 3428314
- 注册: 2014-09-19
- 性别: GG
- 专业: 制造系统与自动化
4楼2015-08-03 22:33:09
math2000
铁杆木虫 (职业作家)
- 数学EPI: 2
- 应助: 239 (大学生)
- 金币: 5846.2
- 红花: 18
- 帖子: 4810
- 在线: 458.7小时
- 虫号: 235375
- 注册: 2006-04-01
- 专业: 概率论与随机分析
5楼2015-08-04 10:02:57
chaojiali
木虫 (小有名气)
- 应助: 1 (幼儿园)
- 金币: 3587.8
- 帖子: 69
- 在线: 21.1小时
- 虫号: 3428314
- 注册: 2014-09-19
- 性别: GG
- 专业: 制造系统与自动化
6楼2015-08-04 11:21:08
zaq123321
专家顾问 (著名写手)
-

专家经验: +343 - 数学EPI: 6
- 应助: 298 (大学生)
- 贵宾: 0.247
- 金币: 10784.8
- 散金: 180
- 红花: 29
- 帖子: 1223
- 在线: 539.8小时
- 虫号: 405284
- 注册: 2007-06-17
- 性别: MM
- 专业: 生物大分子结构与功能
- 管辖: 数学

7楼2015-08-04 16:35:10
Edstrayer
版主 (著名写手)
方寸斗室小天地正气迷漫大世界
- 数学EPI: 7
- 应助: 157 (高中生)
- 贵宾: 0.927
- 金币: 9349.6
- 散金: 4503
- 红花: 77
- 沙发: 2
- 帖子: 2745
- 在线: 1465.6小时
- 虫号: 3086598
- 注册: 2014-03-25
- 管辖: 数学

8楼2015-08-04 16:57:16
uvwxmc
金虫 (正式写手)
- 应助: 15 (小学生)
- 金币: 2746.1
- 红花: 17
- 帖子: 433
- 在线: 153.3小时
- 虫号: 2521618
- 注册: 2013-06-26
- 专业: 电磁场与电路
9楼2015-08-07 19:33:47

10楼2015-08-10 08:57:02














回复此楼