| 查看: 1476 | 回复: 0 | ||
最后的火花木虫 (正式写手)
鹰眼的射手
|
[求助]
路面功率谱密度表示成幂函数形式怎么理解,特别是空间频率
|
|
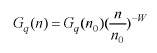
式中,n为空间频率,它是波长λ的倒数,表示每米长度中包括几个波长; n0为参考空间频率; Gp(no)为参考空间频率下的路面功率谱密度值,称为路面不平度系数,单位为; w为频率指数,为双对数坐标上斜线的斜率,它决定路面功率谱密度的频率结构 这个空间频率,每米长度有几个波长,有什么物理意义呢? 不知道从哪本教科书去学习这几个问题,希望知道的大神可以帮助解释一下,谢谢啦。 |
» 猜你喜欢
智能制造和机器人国家科技重大专项研究团队招收调剂研究生10人
已经有0人回复
Bi离子和稀土离子共掺杂 随稀土掺杂增加,稀土发射峰增强,这样是能量传递了吗?
已经有0人回复
机械工程论文润色/翻译怎么收费?
已经有209人回复
一志愿北京科技大学 085501 348分 四级已过 求调剂
已经有0人回复
智能制造和机器人国家科技重大专项研究团队招收调剂研究生10人
已经有4人回复
青岛大学纺织服装学院-极端环境纺织材料与制品团队-招2026年考研调剂
已经有0人回复
求调剂建议
已经有0人回复
国产沪模心肺复苏:从厂家到品牌,深度剖析
已经有0人回复
296材料专硕求调剂
已经有21人回复
锂优电池测试仪如何实现电池性能检测的精准性与可靠性
已经有0人回复
085500机械 335求调剂
已经有0人回复















回复此楼