| ²é¿´: 1750 | »Ø¸´: 8 | |||
wgs8136°æÖ÷ (ÎÄ̳¾«Ó¢)
»Ê¼ÒÉñÁú½ÌÖ®-×󻤷¨
|
[ÇóÖú]
origin×÷ͼÇóÖú ÒÑÓÐ3È˲ÎÓë
|
|
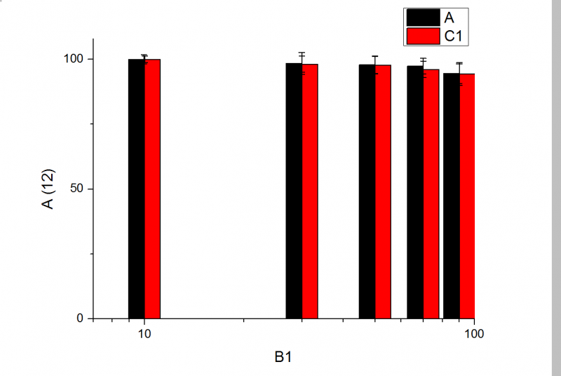
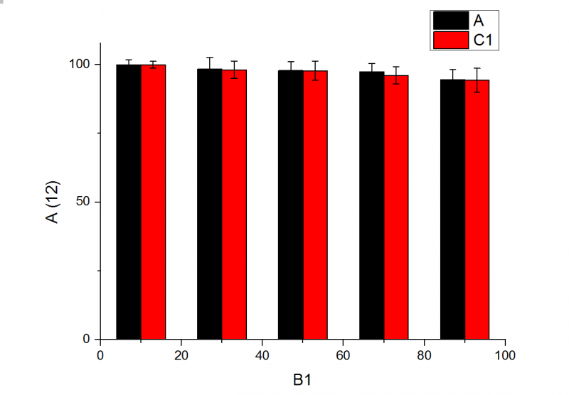
originËùÓð汾Ϊ8.6£¬ÔʼÊý¾Ý¼°Îó²î°ô¼ûͼ1£¬µ±°Ñºá×ø±ê±äΪLog10ÒÔºó£¬Ð§¹û¼ûͼ2£¬Îó²î°ôÈ«²¿Öصþ£¬ÇëÎÊÈçºÎ½â¾ö ͼ1 1.pngͼ1 ͼ2 2.pngͼ2 |
» ²ÂÄãϲ»¶
¼ÃÄÏ´óѧ¹ú¼ÒÓÅÇà¿ÎÌâ×é 2026 µ÷¼ÁÕÐÉúÀ´À²
ÒѾÓÐ0È˻ظ´
Î人·ÄÖ¯´óѧ_»¯Ñ§Ôº¹Ù·½µ÷¼ÁȺ-ԺʿÍŶÓÕÐÉú-ѧÉú×ÔÓɶȸ߷¢Õ¹ºÃ-»¶Ó¸÷λͬѧ
ÒѾÓÐ0È˻ظ´
½ðÊô²ÄÁÏÂÛÎÄÈóÉ«/·ÒëÔõôÊÕ·Ñ?
ÒѾÓÐ61È˻ظ´
Î÷»ª´óѧ »¯Ñ§ µ÷¼ÁÓÐÃû¶î
ÒѾÓÐ0È˻ظ´
ÉϺ£Ó¦Óü¼Êõ´óѧÕÐÉúµ÷¼ÁÑо¿Éú
ÒѾÓÐ8È˻ظ´
ÄϾ©ÏþׯѧԺÂÌÉ«ÄÜÔ´²ÄÁÏÍŶÓÕÐÉú
ÒѾÓÐ0È˻ظ´
ÄϾ©ÏþׯѧԺÂÌÉ«ÄÜÔ´²ÄÁÏÍŶÓÕÐÉú
ÒѾÓÐ0È˻ظ´
±±·½¹¤Òµ´óѧ´¢Äܼ¼Êõ-02µç»¯Ñ§´¢ÄÜÓëÇâÄÜ·½ÏòÕÐÊÕ2026¼¶¶þ´Îµ÷¼ÁѧÉú
ÒѾÓÐ0È˻ظ´
» ±¾Ö÷ÌâÏà¹Ø¼ÛÖµÌùÍÆ¼ö£¬¶ÔÄúͬÑùÓаïÖú:
origin»Í¼ÈçºÎ²ÅÄÜÈÃÕû¸öµã¶¼ÏÔʾÔÚ×ø±êÖáÉÏ
ÒѾÓÐ7È˻ظ´
origin×÷ͼÔõÑùÄܰѺá×ø±êÿ×é¾àÀë±äµÃÒ»Ñù
ÒѾÓÐ13È˻ظ´
Origin»æÍ¼ÈçºÎ°ÑºìÉ«µÄÏßÍùÉÏÒÆ¸ß
ÒѾÓÐ11È˻ظ´
origin»Í¼Çë½Ì
ÒѾÓÐ6È˻ظ´
ORIGIN×÷ͼ¶àÁËÒ»¸öºÚ¿ò
ÒѾÓÐ4È˻ظ´
origin »Í¼µÄÎÊÌâ
ÒѾÓÐ3È˻ظ´
Origin×÷ͼÇóÖú
ÒѾÓÐ17È˻ظ´
¼±¡£¡£¡£ÇóÖú´óÉñ¡£¡£originÇóÖú¡£¡£
ÒѾÓÐ12È˻ظ´
origin»Í¼ÎÊÌâÇóÖú
ÒѾÓÐ8È˻ظ´
origin 3D»Í¼ÇóÖú
ÒѾÓÐ16È˻ظ´
origin×÷ͼ£ºÈçºÎ°ÑÈý¸ö±äÁ¿×öÔÚÒ»ÕÅͼÖÐ
ÒѾÓÐ22È˻ظ´
ÇóÖú!¼±¡£¡£¡£¼±¡£¡£origin×÷ͼºóÉÏϸ÷³öÏÖÒ»ÌõÏß
ÒѾÓÐ14È˻ظ´
Origin»æÍ¼ÎÊÌâ
ÒѾÓÐ11È˻ظ´
origin ×÷ͼÇóÖú
ÒѾÓÐ11È˻ظ´
Origin×÷ͼÔõô»áÓÐÀ¶É«µÄµ×ÎÆ£¿
ÒѾÓÐ18È˻ظ´
¡¾ÇóÖú¡¿XRDÊý¾ÝÈçºÎÔÚoriginÀï×÷ͼ£¿
ÒѾÓÐ17È˻ظ´
¡¾ÇóÖú¡¿origin»Í¼ÇóÖú
ÒѾÓÐ27È˻ظ´
ÇóÖú£¡Origin ×÷ͼ ͼÀýÍêȫһÑù£¬×ö³öÀ´ÊÓ¾õЧ¹ûÍêÈ«²»Í¬
ÒѾÓÐ18È˻ظ´
¡¾ÇóÖú¡¿origin×÷ÇúÏߣ¬Ôõô×öÇ÷ÊÆÄâºÏ
ÒѾÓÐ10È˻ظ´
ÎÄÕÂÖÐorigin×÷ͼµÄÒªÇó
ÒѾÓÐ10È˻ظ´

928493473
ľ³æ (ÖøÃûдÊÖ)
¸ß·Ö×Ó²ÄÁÏ
- Ó¦Öú: 24 (СѧÉú)
- ½ð±Ò: 3234.7
- É¢½ð: 320
- ºì»¨: 13
- Ìû×Ó: 1063
- ÔÚÏß: 244.2Сʱ
- ³æºÅ: 1816859
- ×¢²á: 2012-05-14
- ÐÔ±ð: GG
- רҵ: Óлú¸ß·Ö×Ó¹¦ÄܲÄÁÏ

2Â¥2015-06-28 14:21:03
928493473
ľ³æ (ÖøÃûдÊÖ)
¸ß·Ö×Ó²ÄÁÏ
- Ó¦Öú: 24 (СѧÉú)
- ½ð±Ò: 3234.7
- É¢½ð: 320
- ºì»¨: 13
- Ìû×Ó: 1063
- ÔÚÏß: 244.2Сʱ
- ³æºÅ: 1816859
- ×¢²á: 2012-05-14
- ÐÔ±ð: GG
- רҵ: Óлú¸ß·Ö×Ó¹¦ÄܲÄÁÏ

3Â¥2015-06-28 14:23:03
wgs8136
°æÖ÷ (ÎÄ̳¾«Ó¢)
»Ê¼ÒÉñÁú½ÌÖ®-×󻤷¨
- Ó¦Öú: 251 (´óѧÉú)
- ¹ó±ö: 5.27
- ½ð±Ò: 63622.8
- É¢½ð: 12801
- ºì»¨: 146
- ɳ·¢: 482
- Ìû×Ó: 24729
- ÔÚÏß: 4444.6Сʱ
- ³æºÅ: 765160
- ×¢²á: 2009-05-07
- רҵ: ÎÞ»ú·Ç½ðÊô»ù¸´ºÏ²ÄÁÏ
- ¹ÜϽ: ¸ß·Ö×Ó

4Â¥2015-06-28 14:50:09
wgs8136
°æÖ÷ (ÎÄ̳¾«Ó¢)
»Ê¼ÒÉñÁú½ÌÖ®-×󻤷¨
- Ó¦Öú: 251 (´óѧÉú)
- ¹ó±ö: 5.27
- ½ð±Ò: 63622.8
- É¢½ð: 12801
- ºì»¨: 146
- ɳ·¢: 482
- Ìû×Ó: 24729
- ÔÚÏß: 4444.6Сʱ
- ³æºÅ: 765160
- ×¢²á: 2009-05-07
- רҵ: ÎÞ»ú·Ç½ðÊô»ù¸´ºÏ²ÄÁÏ
- ¹ÜϽ: ¸ß·Ö×Ó

5Â¥2015-06-28 14:50:32
928493473
ľ³æ (ÖøÃûдÊÖ)
¸ß·Ö×Ó²ÄÁÏ
- Ó¦Öú: 24 (СѧÉú)
- ½ð±Ò: 3234.7
- É¢½ð: 320
- ºì»¨: 13
- Ìû×Ó: 1063
- ÔÚÏß: 244.2Сʱ
- ³æºÅ: 1816859
- ×¢²á: 2012-05-14
- ÐÔ±ð: GG
- רҵ: Óлú¸ß·Ö×Ó¹¦ÄܲÄÁÏ

6Â¥2015-06-28 17:18:00
xiaolong0518
ÖÁ×ðľ³æ (ÖøÃûдÊÖ)
- Ó¦Öú: 35 (СѧÉú)
- ½ð±Ò: 11501.4
- É¢½ð: 31
- ºì»¨: 12
- Ìû×Ó: 2970
- ÔÚÏß: 278.7Сʱ
- ³æºÅ: 2322231
- ×¢²á: 2013-03-06
- ÐÔ±ð: GG
- רҵ: ÆäËûÎÞ»ú·Ç½ðÊô²ÄÁÏ

7Â¥2015-06-28 20:00:03
Ò¶ÂäľÁÖ
ľ³æ (ÕýʽдÊÖ)
- Ó¦Öú: 8 (Ó×¶ùÔ°)
- ½ð±Ò: 3501.9
- É¢½ð: 110
- ºì»¨: 9
- Ìû×Ó: 567
- ÔÚÏß: 129Сʱ
- ³æºÅ: 1776867
- ×¢²á: 2012-04-24
- ÐÔ±ð: GG
- רҵ: ´ß»¯»¯Ñ§

8Â¥2015-06-28 23:49:58
yuan999
ר¼Ò¹ËÎÊ (ÖªÃû×÷¼Ò)
-

ר¼Ò¾Ñé: +355 - MN-EPI: 1
- Ó¦Öú: 1293 (½²Ê¦)
- ¹ó±ö: 0.247
- ½ð±Ò: 21850.1
- É¢½ð: 98
- ºì»¨: 19
- Ìû×Ó: 6247
- ÔÚÏß: 618.8Сʱ
- ³æºÅ: 591578
- ×¢²á: 2008-09-02
- ÐÔ±ð: GG
- רҵ: °ëµ¼Ìå¹âµç×ÓÆ÷¼þ
- ¹ÜϽ: ΢Ã׺ÍÄÉÃ×

9Â¥2015-06-29 10:22:08













»Ø¸´´ËÂ¥