| 查看: 1478 | 回复: 9 | |||
liuke_33木虫 (著名写手)
|
[求助]
三角形外心的求解 已有1人参与
|
|
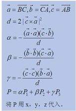
求助:求解三维空间的三角形的外心坐标。 本人在百度百科里看到这样一种计算方法,感觉要是进行编程的话挺简单的,但是到了最后一步看不懂了。就是P1、P2、P3是怎么突然冒出来的,我看了下,不是a、b、c,应该是其他的。。。而我不想利用传统的该点到三个点的距离相等这一条件进行推导,因为后面的表达式太复杂了,不利于程序的实现。。。。求各位数学系的大侠们帮忙 ![]() 捕获.JPG 捕获.JPG |
» 猜你喜欢
面上项目申报
已经有3人回复
有时候真觉得大城市人没有县城人甚至个体户幸福
已经有5人回复
酰胺脱乙酰基
已经有9人回复
CSC & MSCA 博洛尼亚大学能源材料课题组博士/博士后招生|MSCA经费充足、排名优
已经有5人回复
博士延得我,科研能力直往上蹿
已经有7人回复
退学或坚持读
已经有27人回复
面上基金申报没有其他的参与者成吗
已经有5人回复
遇见不省心的家人很难过
已经有22人回复
» 本主题相关价值贴推荐,对您同样有帮助:
一个中考数学题,希望大家帮帮了,谢谢了
已经有11人回复

2楼2015-06-27 02:01:05
liuke_33
木虫 (著名写手)
- 应助: 0 (幼儿园)
- 金币: 3517.7
- 散金: 558
- 红花: 4
- 帖子: 1094
- 在线: 292.5小时
- 虫号: 3420807
- 注册: 2014-09-16
- 专业: 拓扑学

3楼2015-06-27 09:23:37
feixiaolin
荣誉版主 (文坛精英)
-

专家经验: +518 - 应助: 942 (博后)
- 贵宾: 1.275
- 金币: 3430
- 散金: 58785
- 红花: 532
- 沙发: 11
- 帖子: 24215
- 在线: 2601.8小时
- 虫号: 2139575
- 注册: 2012-11-21
- 专业: 光学信息获取与处理
- 管辖: 数学
4楼2015-06-27 09:54:55
5楼2015-06-27 10:28:18
liuke_33
木虫 (著名写手)
- 应助: 0 (幼儿园)
- 金币: 3517.7
- 散金: 558
- 红花: 4
- 帖子: 1094
- 在线: 292.5小时
- 虫号: 3420807
- 注册: 2014-09-16
- 专业: 拓扑学

6楼2015-06-27 10:34:28
wurongjun
专家顾问 (职业作家)
-

专家经验: +831 - 数学EPI: 9
- 应助: 791 (博后)
- 贵宾: 0.308
- 金币: 24609
- 散金: 310
- 红花: 75
- 帖子: 3004
- 在线: 881.2小时
- 虫号: 1368482
- 注册: 2011-08-14
- 性别: GG
- 专业: 计算数学与科学工程计算
- 管辖: 数学
★ ★ ★
feixiaolin: 金币+3 2015-06-27 11:22:10
feixiaolin: 金币+3 2015-06-27 11:22:10
» 本帖已获得的红花(最新10朵)

7楼2015-06-27 11:16:59
liuke_33
木虫 (著名写手)
- 应助: 0 (幼儿园)
- 金币: 3517.7
- 散金: 558
- 红花: 4
- 帖子: 1094
- 在线: 292.5小时
- 虫号: 3420807
- 注册: 2014-09-16
- 专业: 拓扑学

8楼2015-06-28 00:17:00
wurongjun
专家顾问 (职业作家)
-

专家经验: +831 - 数学EPI: 9
- 应助: 791 (博后)
- 贵宾: 0.308
- 金币: 24609
- 散金: 310
- 红花: 75
- 帖子: 3004
- 在线: 881.2小时
- 虫号: 1368482
- 注册: 2011-08-14
- 性别: GG
- 专业: 计算数学与科学工程计算
- 管辖: 数学

9楼2015-06-28 08:54:43
liuke_33
木虫 (著名写手)
- 应助: 0 (幼儿园)
- 金币: 3517.7
- 散金: 558
- 红花: 4
- 帖子: 1094
- 在线: 292.5小时
- 虫号: 3420807
- 注册: 2014-09-16
- 专业: 拓扑学

10楼2015-06-28 10:01:25














回复此楼

平面情况,空间类似)
,Pc(2,
liuke_33