版块导航
正在加载中...
客户端APP下载
论文辅导
调剂小程序
登录
注册
帖子
帖子
用户
本版
应《网络安全法》要求,自2017年10月1日起,未进行实名认证将不得使用互联网跟帖服务。为保障您的帐号能够正常使用,请尽快对帐号进行手机号验证,感谢您的理解与支持!
24小时热门版块排行榜
>
论坛更新日志
(4056)
>
虫友互识
(881)
>
导师招生
(501)
>
文献求助
(463)
>
硕博家园
(182)
>
休闲灌水
(176)
>
考研
(175)
>
考博
(159)
>
博后之家
(107)
>
招聘信息布告栏
(96)
>
教师之家
(78)
>
论文投稿
(69)
>
基金申请
(58)
>
绿色求助(高悬赏)
(51)
>
公派出国
(42)
>
论文道贺祈福
(41)
小木虫论坛-学术科研互动平台
»
化学化工区
»
催化
»
表征
»
漫反射红外羟基随温度的变化
2
1/1
返回列表
查看: 636 | 回复: 1
只看楼主
@他人
存档
新回复提醒
(忽略)
收藏
在APP中查看
sunnyyang09
捐助贵宾
(小有名气)
应助: 0
(幼儿园)
金币: 430.8
红花: 1
帖子: 103
在线: 210.8小时
虫号: 1345661
注册: 2011-07-14
专业: 食品加工学基础
[
求助
]
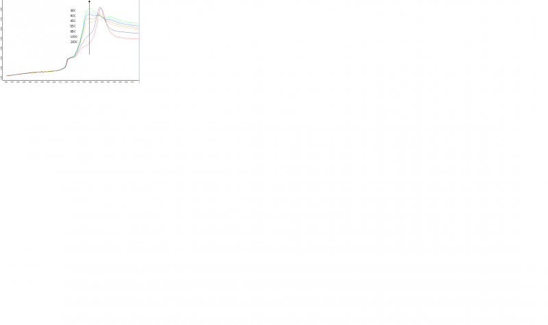
漫反射红外羟基随温度的变化
请教各位:
我用原位漫反射红外做实验过程中发现问题:
分子筛首先在400C下处理2h 降温,扫描骨架,随着温度的降低,羟基发生了很大的变化。总体就是~3660cm-1峰增强,~3610cm-1峰减弱。请见附图。 请问各位是什么原因?是有水存在?但是想不清楚哪来的水?非常感谢!
无标题1.png
无标题2.png
回复此楼
» 猜你喜欢
国家级人才课题组招收2026年入学博士
已经有1人回复
国家级人才课题组招收2026年入学博士
已经有0人回复
物理化学论文润色/翻译怎么收费?
已经有232人回复
国家级人才课题组招收2026年入学博士
已经有0人回复
大连海事大学船舶洁净能源研究中心2026年博士研究生招生启事
已经有10人回复
求 IEC 61340-4-11:2025
已经有0人回复
武汉纺织大学全国重点实验室陈嵘教授团队招收2026级学术/专业型硕士研究生(调剂)
已经有0人回复
求助哪里可以做光催化产氢的放大实验
已经有15人回复
招生帖
已经有6人回复
侯旭课题组(化学、化工、环境、能源相关方向)欢迎你的加入
已经有21人回复
» 本主题相关商家推荐:
(我也要在这里推广)
» 本主题相关价值贴推荐,对您同样有帮助:
氧化铝B酸L酸量问题
已经有6人回复
请教一下这个红外是不是没有羟基峰
已经有5人回复
纳米二氧化锌会不会发生羟基化
已经有7人回复
求助红外光谱面积计算(软件操作及如何确定面积区域)
已经有4人回复
想问下红外光谱570左右的峰是什么啊
已经有4人回复
pl光谱峰的移动问题
已经有4人回复
请问北京哪里可以做原位漫反射傅里叶变换红外光谱?
已经有7人回复
红外原位光谱图中出现负峰代表什么意思?
已经有18人回复
原位漫反射红外光谱如何做不同温度点的吸附
已经有6人回复
如何通过漫反射红外光谱定量
已经有9人回复
红外 吡啶 苯环
已经有5人回复
红外与红外漫反射的区别
已经有3人回复
压片法测得的红外图谱在波数3400处有一个强峰,透光率大约为1%,请问是什么基团的峰啊
已经有7人回复
求助 哪位傅里叶红外高人帮忙看一下我的红外图谱
已经有18人回复
红外漫反射制样问题。。
已经有18人回复
CO 原位漫反射红外光谱
已经有5人回复
傅里叶变换红外是漫反射吗??不是的话,那与漫反射红外有什么区别呢?
已经有6人回复
做原位红外,光谱中蓝移,红移的原因是什么???
已经有10人回复
【求助】金红石TiO2的 FTIR光谱
已经有6人回复
【求助】漫反射红外光谱和普通红外光谱的区别
已经有4人回复
【求助】表征二氧化钛的红外与紫外吸收
已经有9人回复
【求助】测近红外光谱时可以用乙醇做溶剂吗?
已经有6人回复
1楼
2015-06-26 10:55:59
已阅
回复此楼
关注TA
给TA发消息
送TA红花
TA的回帖
liwentao2010
荣誉版主
(文坛精英)
山涛
专家经验: +925
C-EPI: 21
应助: 1892
(讲师)
贵宾: 9.653
金币: 66913.1
散金: 19465
红花: 295
沙发: 38
帖子: 12535
在线: 1645.4小时
虫号: 1135679
注册: 2010-10-31
专业: 催化化学
管辖:
催化
图片不清晰,请重新发布图片
赞
一下
回复此楼
加油!
2楼
2015-06-26 13:40:01
已阅
回复此楼
关注TA
给TA发消息
送TA红花
TA的回帖
相关版块跳转
有机交流
有机资源
高分子
无机/物化
分析
催化
工艺技术
化工设备
石油化工
精细化工
电化学
环境
SciFinder/Reaxys
我要订阅楼主
sunnyyang09
的主题更新
2
1/1
返回列表
如果回帖内容含有宣传信息,请如实选中。否则帐号将被全论坛禁言
普通表情
龙
兔
虎
猫
百度网盘
|
360云盘
|
千易网盘
|
华为网盘
在新窗口页面中打开自己喜欢的网盘网站,将文件上传后,然后将下载链接复制到帖子内容中就可以了。
信息提示
关闭
请填处理意见
关闭
确定