Znn3bq.jpeg
²é¿´: 674  |  »Ø¸´: 3

oneday1991

½ð³æ (³õÈëÎÄ̳)

[ÇóÖú] Çë´ó¼Ò°ïæËãËãÕâ¸ö

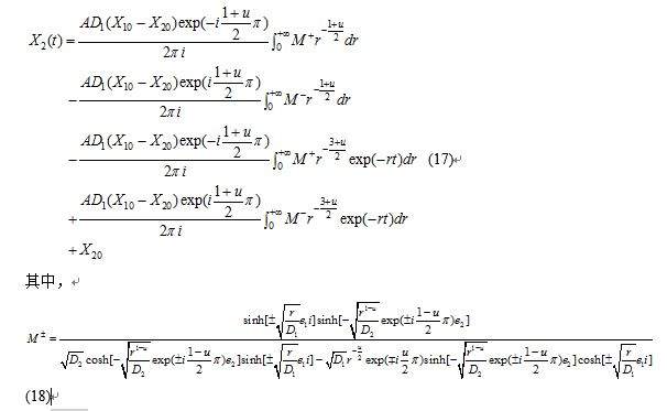
ϸ½ÚÊÇÕâÑùµÄ£¬uÊÇÐèÒªÓëʵ¼ÊÊý¾ÝÄâºÏµÃµ½µÄ£¬ÎÊÌâÊǼ´Ê¹¸ø¶¨Ò»¸öu£¬ÎÒÒ²²»»á¼ÆËãÕâЩ»ý·Ö£¬Çë´ó¼Ò°ïæ¿´¿´£¬ÆäÖг£ÏµÊý»ò±í´ïȡΪ1¼´¿É£¬Ð»Ð»£¡Ö÷ÒªÊÇ»ý·Ö²»»á£¬¸æÖªËã·¨Óë³ÌÐò´úÂë¼´¿É£¬¸Ð¼¤²»¾¡£¡

Çë´ó¼Ò°ïæËãËãÕâ¸ö
¼ÆËã.JPG
»Ø¸´´ËÂ¥

» ²ÂÄãϲ»¶

» ±¾Ö÷ÌâÏà¹Ø¼ÛÖµÌùÍÆ¼ö£¬¶ÔÄúͬÑùÓаïÖú:

ÒÑÔÄ   »Ø¸´´ËÂ¥   ¹Ø×¢TA ¸øTA·¢ÏûÏ¢ ËÍTAºì»¨ TAµÄ»ØÌû

oneday1991

½ð³æ (³õÈëÎÄ̳)

¶ÔÁË£¬uÊÇ´óÓÚÁãСÓÚ1µÄ
2Â¥2015-06-17 17:02:38
ÒÑÔÄ   »Ø¸´´ËÂ¥   ¹Ø×¢TA ¸øTA·¢ÏûÏ¢ ËÍTAºì»¨ TAµÄ»ØÌû

feixiaolin

ÈÙÓþ°æÖ÷ (ÎÄ̳¾«Ó¢)

ÓÅÐã°æÖ÷

½«[0, inf]Ó³Éäµ½[0, 1]Çø¼ä£¬ÊýÖµ¼ÆËã»ý·Ö¡£
3Â¥2015-06-18 13:14:39
ÒÑÔÄ   »Ø¸´´ËÂ¥   ¹Ø×¢TA ¸øTA·¢ÏûÏ¢ ËÍTAºì»¨ TAµÄ»ØÌû

oneday1991

½ð³æ (³õÈëÎÄ̳)

ÒýÓûØÌû:
3Â¥: Originally posted by feixiaolin at 2015-06-18 13:14:39
½«Ó³Éäµ½Çø¼ä£¬ÊýÖµ¼ÆËã»ý·Ö¡£

°æÖ÷£¬ ÄãºÃ£¬ÎÒÔÚÊýÖµ·ÖÎöÕâ¿éºÜÈõ£¬¿ÉÒÔÏêϸ½²Ò»ÏÂÂð£¬Ð»Ð»£¡
4Â¥2015-06-18 15:43:33
ÒÑÔÄ   »Ø¸´´ËÂ¥   ¹Ø×¢TA ¸øTA·¢ÏûÏ¢ ËÍTAºì»¨ TAµÄ»ØÌû
Ïà¹Ø°æ¿éÌø×ª ÎÒÒª¶©ÔÄÂ¥Ö÷ oneday1991 µÄÖ÷Ìâ¸üÐÂ
×î¾ßÈËÆøÈÈÌûÍÆ¼ö [²é¿´È«²¿] ×÷Õß »Ø/¿´ ×îºó·¢±í
[¿¼ÑÐ] 284Çóµ÷¼Á +20 ÈÃÎÒÉϰ¶°É°¢Î÷ 2026-04-09 20/1000 2026-04-15 14:40 by ºÚ¿Æ¼¼»¨¸ÚÑÒ
[¿¼ÑÐ] µ÷¼ÁÇóÊÕÁô +34 ¹ûÈ»ÓÐÎÒ 2026-04-10 35/1750 2026-04-15 13:05 by Î÷±±Íû¡ª·çɳ
[¿¼ÑÐ] 297Çóµ÷¼Á +23 ORCHID1 2026-04-10 26/1300 2026-04-14 13:52 by ³ÂƤƤ
[¿¼ÑÐ] Çóµ÷¼Á +3 ÎÒ°®¸ßÊý¸ßÊý°®Î 2026-04-12 3/150 2026-04-14 01:00 by Íõ¬Bè±
[¿¼ÑÐ] ¿¼ÑÐÓ¢Ò»ÊýÒ»338·Ö +9 ³¤½­´óѧ¶«Ð£Çø 2026-04-13 10/500 2026-04-14 00:41 by Íõ¬Bè±
[¿¼ÑÐ] Ò»Ö¾Ô¸»ªÄÏÀí¹¤´óѧ331·Ö²ÄÁÏÇóµ÷¼Á +10 ÌìÏÂww 2026-04-09 11/550 2026-04-13 23:25 by pies112
[»ù½ðÉêÇë] 2026 WRÇà°Î +3 ¶¬ÈÕÑô¹âCAS 2026-04-09 6/300 2026-04-13 18:40 by liuchb715
[¿¼ÑÐ] ÉúÎïѧµ÷¼Á£¬Ò»Ö¾Ô¸Î÷ÄÏ´óѧ348£¬TopÆÚ¿¯Ò»Çø¶þ×÷¡¢¶þÇøÈý×÷£¬ÈýµÈ½±Ñ§½ðÈý´Î +5 candyyyi 2026-04-09 5/250 2026-04-13 09:02 by ¿Éµ­²»¿ÉÍü
[¿¼ÑÐ] 0854µ÷¼Á +12 ³¤¹­°Á 2026-04-09 13/650 2026-04-12 09:56 by ÄæË®³Ë·ç
[ÕÒ¹¤×÷] ɽ¶«¸ßУ½Ìʦ¿¼ºË³¬¼¶ÎÞµ×Ïߣ¬Ô±¹¤¹ý²»ÏÂÈ¥À² +4 qut2026 2026-04-09 9/450 2026-04-12 00:54 by qut2026
[¿¼ÑÐ] 343Çóµ÷¼Á +9 Íõ¹ú˧ 2026-04-10 9/450 2026-04-11 20:31 by dongdian1
[¿¼ÑÐ] µ÷¼ÁÇóÖú +6 ¹ûÈ»ÓÐÎÒ 2026-04-11 7/350 2026-04-11 16:22 by Ã÷Ô´ËʱÓÐ
[¿¼ÑÐ] Çóµ÷¼Á +3 θ¾·ÂÎÀÛÁË 2026-04-11 5/250 2026-04-11 14:13 by luhong1990
[¿¼ÑÐ] 0854µ÷¼Á +8 950824he@ 2026-04-09 8/400 2026-04-11 10:11 by zhq0425
[¿¼ÑÐ] 083200 305·Ö Çó¶þÂÖµ÷¼Á ²»½ÓÊÜ¿çרҵ +9 Claireyyyy 2026-04-09 10/500 2026-04-10 21:21 by Claireyyyy
[¿¼ÑÐ] 0858Çóµ÷¼Á 5+5 Gky09300550£¬ 2026-04-10 8/400 2026-04-10 19:13 by chemisry
[¿¼ÑÐ] Ò»Ö¾Ô¸¾©Çø985£¬085401£¬Óë±¾¿Æ×¨ÒµÒ»Ö£¬µç×ÓÐÅÏ¢¹¤³Ì£¬ +4 Ñô¹â¿ªÀʵÄÄк¢ 2026-04-10 4/200 2026-04-10 18:27 by shenrf
[¿¼ÑÐ] Çóµ÷¼Á ²ÄÁÏÓ빤³Ì 324·Ö ר˶ +19 ôæôæÒ»ÊéÉú 2026-04-10 21/1050 2026-04-10 11:41 by wp06
[¿¼ÑÐ] Çóµ÷¼Á +11 ôæôæÒ»ÊéÉú 2026-04-09 13/650 2026-04-10 10:27 by liuhuiying09
[¿¼ÑÐ] Ò»Ö¾Ô¸Öпƴó070300»¯Ñ§£¬314·ÖÇóµ÷¼Á +12 wakeluofu 2026-04-09 12/600 2026-04-10 09:57 by liuhuiying09
ÐÅÏ¢Ìáʾ
ÇëÌî´¦ÀíÒâ¼û