版块导航
正在加载中...
客户端APP下载
登录
注册
帖子
帖子
用户
本版
应《网络安全法》要求,自2017年10月1日起,未进行实名认证将不得使用互联网跟帖服务。为保障您的帐号能够正常使用,请尽快对帐号进行手机号验证,感谢您的理解与支持!
24小时热门版块排行榜
>
论坛更新日志
(2920)
>
虫友互识
(490)
>
文献求助
(246)
>
休闲灌水
(124)
>
仿真模拟
(102)
>
硕博家园
(85)
>
招聘信息布告栏
(76)
>
考博
(56)
>
导师招生
(49)
>
博后之家
(34)
>
SciFinder/Reaxys
(29)
>
绿色求助(高悬赏)
(28)
>
基金申请
(28)
>
攻关文献(高奖励)
(25)
>
有机交流
(13)
>
考研
(10)
小木虫论坛-学术科研互动平台
»
材料区
»
微米和纳米
»
学术讨论
»
量子点薄膜的吸收峰
1
1/1
返回列表
查看: 335 | 回复: 0
只看楼主
@他人
存档
新回复提醒
(忽略)
收藏
在APP中查看
三平方
金虫
(小有名气)
应助: 6
(幼儿园)
金币: 158.4
散金: 300
红花: 2
帖子: 173
在线: 81.8小时
虫号: 2568123
注册: 2013-07-27
性别: GG
专业: 凝聚态物性 II :电子结构
[
求助
]
量子点薄膜的吸收峰
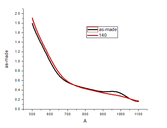
用是spin-coating的方法对量子点的薄膜进行吸收峰的测试,对比不退火和140度退火的量子点薄膜的吸收峰变化,出现了下图的情况,红线是140度退火的,退火后量子点的吸收峰没有了,请问是为什么?
{O5HH%`6NCCY2F~2Q%YP}3P.png
回复此楼
» 猜你喜欢
稀土发光分析|核壳结构|寿命拟合
已经有13人回复
稀土发光分析|核壳结构|寿命拟合
已经有6人回复
无机化学论文润色/翻译怎么收费?
已经有271人回复
稀土发光分析|核壳结构|寿命拟合
已经有0人回复
稀土发光分析|核壳结构|寿命拟合
已经有0人回复
26 届青岛大学纺织化学与染整工程硕士(液体纳米分散染料方向)求申博建议
已经有4人回复
26 届青岛大学纺织化学与染整工程(液体纳米分散染料)求浙理工纺织 / 材料博导名额
已经有1人回复
敢问Acta Pharmaceutica Sinica B with Editor 三周了,能是什么情况?
已经有0人回复
求助 CeO2 Fe3O4 Cu2S CoFe2O4 标准卡 Jade 导出的数据
已经有0人回复
招生--河北大学26年秋季入学博士
已经有1人回复
1楼
2015-06-05 16:27:01
已阅
回复此楼
关注TA
给TA发消息
送TA红花
TA的回帖
智能机器人
Robot
(super robot)
我们都爱小木虫
找到一些相关的精华帖子,希望有用哦~
Cu2O薄膜的UV-vis表征
已经有8人回复
近红外材料有哪些
已经有7人回复
请问如何确定纳米材料吸收多少nm的光?
已经有5人回复
为什么我的ZnO紫外可见图这么奇怪
已经有14人回复
哪里可以测8-14微米的红外发射率光谱曲线?
已经有4人回复
有没有人用ITO或者石英玻璃片做荧光啊?
已经有7人回复
13-CC封面文章-利用CdTe量子点形成的薄膜来作为温度传感器
已经有30人回复
碳量子点做TEM,用普通碳膜还是超薄碳膜啊?请指教!
已经有13人回复
请教CdSe量子点浓度计算问题
已经有11人回复
寻求做锰离子掺杂ZnS量子点的
已经有3人回复
关于太阳能电池的光吸收
已经有4人回复
吸收可见光较好的物质,应用于太阳能电池的吸光材料,要求微纳米粒子
已经有10人回复
量子点没有荧光,只有紫外-可见吸收,能应用在敏化太阳能电池上吗
已经有12人回复
ZnO量子点合成问题
已经有88人回复
氧化锌量子点的成膜
已经有5人回复
光电流,光电压等与半导体禁带宽度值的关系
已经有11人回复
【求助】紫外可见中的吸光度与吸收系数
已经有15人回复
【求助】量子点浓度的测定
已经有3人回复
【求助】太阳能电池的吸收光谱
已经有4人回复
【求助】掺氮石墨烯的紫外可见吸收
已经有8人回复
【原创】合成的CdTe溶液一定要是透明的才稳定吗
已经有12人回复
【求助】薄膜的吸收光谱怎样测量
已经有17人回复
【专题介绍】CIS量子点及其薄膜太阳能电池
已经有81人回复
点击这里搜索更多相关资源
科研从小木虫开始,人人为我,我为人人
相关版块跳转
材料综合
材料工程
微米和纳米
晶体
金属
无机非金属
生物材料
功能材料
复合材料
我要订阅楼主
三平方
的主题更新
1
1/1
返回列表
如果回帖内容含有宣传信息,请如实选中。否则帐号将被全论坛禁言
普通表情
龙
兔
虎
猫
百度网盘
|
360云盘
|
千易网盘
|
华为网盘
在新窗口页面中打开自己喜欢的网盘网站,将文件上传后,然后将下载链接复制到帖子内容中就可以了。
信息提示
关闭
请填处理意见
关闭
确定