| 查看: 1185 | 回复: 11 | ||
askuyue铁杆木虫 (著名写手)
|
[求助]
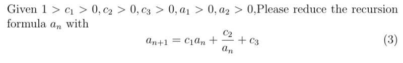
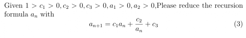
根据递推公式求出通项公式来,谢谢。
|
|
|
根据递推公式求出通项公式来,谢谢。 选区_001.png 已经知道: 0< c_1 <1 , 0 <c_2 ,0 < c_3 , a_1 > 0 ,a_2 >0; 递推公式: a_{n+1} = c_1 * a_{n} + c2 / a_{n} +c_3; 然后是求出a_{n}的通项公式来。 选区_002.jpg |
» 猜你喜欢
一志愿华南理工大学331分材料求调剂
已经有11人回复
271求调剂
已经有40人回复
求调剂学校
已经有3人回复
332求调剂
已经有15人回复
297求调剂
已经有25人回复
本科西工大 324求调剂
已经有5人回复
297工科调剂?
已经有7人回复
调剂
已经有11人回复
08工学 309分求调剂
已经有7人回复
各位老师好,求调剂,本科211,一志愿天津大学生物与医药学硕,差两名录取。
已经有9人回复
» 本主题相关价值贴推荐,对您同样有帮助:
如何得到通项公式?
已经有4人回复
三角函数的定积分
已经有16人回复
求matlab大神,在一张图里面绘制两条曲线!
已经有5人回复
数列通项公式的问题
已经有8人回复
考数学专业研究生个人的一点感受
已经有5人回复
matlab计算一个递推公式,请大神指点啊...
已经有6人回复
关于差分递推的一个习题
已经有21人回复
非线性方程的线性化问题,大神们进来指教下!!!!感谢了!!!!!!!!!
已经有9人回复
求助基于DQ变换的公式推导问题,谢谢
已经有5人回复
毕设,数学相关专业,求指导!
已经有18人回复
求各位前辈帮忙!matlab解复数方程,出现图中的警告,怎来修改呢?谢谢了啊
已经有5人回复
根据数据,如何得到拟合公式
已经有7人回复
【求助】请教级数求和【已解决】
已经有8人回复
【求助】递推公式的参数拟合
已经有5人回复

pippi6
铁杆木虫 (著名写手)
工程和科学数值计算咨询
- 数学EPI: 6
- 应助: 413 (硕士)
- 贵宾: 0.002
- 金币: 7116.5
- 散金: 15
- 红花: 63
- 帖子: 1639
- 在线: 798.9小时
- 虫号: 2469437
- 注册: 2013-05-14
- 专业: 计算数学与科学工程计算
10楼2015-05-30 15:03:41
askuyue
铁杆木虫 (著名写手)
- 应助: 12 (小学生)
- 金币: 6810.2
- 散金: 12
- 红花: 13
- 帖子: 2024
- 在线: 188.3小时
- 虫号: 2260045
- 注册: 2013-01-25
- 性别: GG
- 专业: 数学

2楼2015-05-29 22:40:00
pippi6
铁杆木虫 (著名写手)
工程和科学数值计算咨询
- 数学EPI: 6
- 应助: 413 (硕士)
- 贵宾: 0.002
- 金币: 7116.5
- 散金: 15
- 红花: 63
- 帖子: 1639
- 在线: 798.9小时
- 虫号: 2469437
- 注册: 2013-05-14
- 专业: 计算数学与科学工程计算
3楼2015-05-29 22:46:52
Edstrayer
版主 (著名写手)
方寸斗室小天地正气迷漫大世界
- 数学EPI: 7
- 应助: 157 (高中生)
- 贵宾: 0.927
- 金币: 9349.6
- 散金: 4503
- 红花: 77
- 沙发: 2
- 帖子: 2745
- 在线: 1465.6小时
- 虫号: 3086598
- 注册: 2014-03-25
- 管辖: 数学

4楼2015-05-30 04:07:06
askuyue
铁杆木虫 (著名写手)
- 应助: 12 (小学生)
- 金币: 6810.2
- 散金: 12
- 红花: 13
- 帖子: 2024
- 在线: 188.3小时
- 虫号: 2260045
- 注册: 2013-01-25
- 性别: GG
- 专业: 数学

5楼2015-05-30 10:24:09
askuyue
铁杆木虫 (著名写手)
- 应助: 12 (小学生)
- 金币: 6810.2
- 散金: 12
- 红花: 13
- 帖子: 2024
- 在线: 188.3小时
- 虫号: 2260045
- 注册: 2013-01-25
- 性别: GG
- 专业: 数学

6楼2015-05-30 10:26:38
hank612
至尊木虫 (著名写手)
- 数学EPI: 14
- 应助: 225 (大学生)
- 金币: 14270.6
- 散金: 1055
- 红花: 95
- 帖子: 1526
- 在线: 1375.8小时
- 虫号: 2530333
- 注册: 2013-07-03
- 性别: GG
- 专业: 理论和计算化学

7楼2015-05-30 10:31:59
askuyue
铁杆木虫 (著名写手)
- 应助: 12 (小学生)
- 金币: 6810.2
- 散金: 12
- 红花: 13
- 帖子: 2024
- 在线: 188.3小时
- 虫号: 2260045
- 注册: 2013-01-25
- 性别: GG
- 专业: 数学

8楼2015-05-30 11:39:56
hank612
至尊木虫 (著名写手)
- 数学EPI: 14
- 应助: 225 (大学生)
- 金币: 14270.6
- 散金: 1055
- 红花: 95
- 帖子: 1526
- 在线: 1375.8小时
- 虫号: 2530333
- 注册: 2013-07-03
- 性别: GG
- 专业: 理论和计算化学

9楼2015-05-30 12:12:33














回复此楼
20