| 查看: 2240 | 回复: 1 | |
longwen36铁杆木虫 (正式写手)
|
[求助]
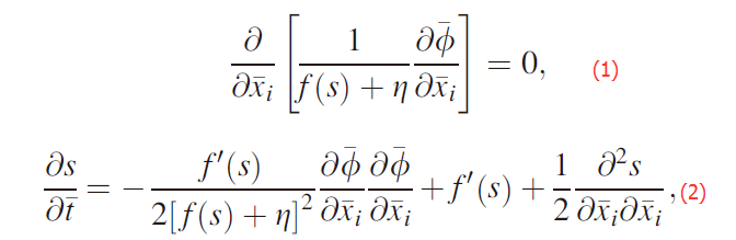
【求助】一个稳态的,一个瞬态的方程耦合,怎么用COMSOL求解呀?
|
|
|
|
|
2楼2019-02-26 08:57:12
|
|













回复此楼
40