版块导航
正在加载中...
客户端APP下载
登录
注册
帖子
帖子
用户
本版
应《网络安全法》要求,自2017年10月1日起,未进行实名认证将不得使用互联网跟帖服务。为保障您的帐号能够正常使用,请尽快对帐号进行手机号验证,感谢您的理解与支持!
24小时热门版块排行榜
>
论坛更新日志
(3085)
>
文献求助
(204)
>
导师招生
(188)
>
虫友互识
(171)
>
考博
(88)
>
休闲灌水
(85)
>
硕博家园
(68)
>
招聘信息布告栏
(67)
>
基金申请
(51)
>
博后之家
(41)
>
仿真模拟
(39)
>
论文投稿
(38)
>
学术会议
(29)
>
绿色求助(高悬赏)
(28)
>
找工作
(26)
>
考研
(25)
小木虫论坛-学术科研互动平台
»
材料区
»
复合材料
»
交流互助
»
DSC做出来这样,能用吗???
8
1/1
返回列表
查看: 1085 | 回复: 7
只看楼主
@他人
存档
新回复提醒
(忽略)
收藏
在APP中查看
wintersonata
木虫
(著名写手)
应助: 12
(小学生)
金币: 1705.4
散金: 1043
红花: 5
沙发: 1
帖子: 1420
在线: 140.5小时
虫号: 1043684
注册: 2010-06-18
性别: GG
专业: 药剂学
[交流]
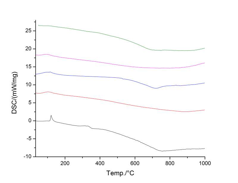
DSC做出来这样,能用吗???
已有7人参与
看看别人做出的图,再看看自己的图,简直不敢相信了
DSC1.jpg
回复此楼
» 猜你喜欢
西京学院-结构工程-2026研究生调剂
已经有0人回复
上海海事大学“安全科学与工程”一级学科硕士学位授予点尚有部分缺额
已经有0人回复
建筑环境与结构工程论文润色/翻译怎么收费?
已经有258人回复
西京学院-结构工程-2026研究生调剂
已经有0人回复
【广州】仲恺农业工程学院城乡建设学院土木水利专业硕士招大量调剂,线上复试
已经有0人回复
【广州】仲恺农业工程学院城乡建设学院土木水利专业硕士招大量调剂,线上复试
已经有0人回复
上海海事大学安全科学与工程学科有部分名额,欢迎调剂
已经有0人回复
土木考研调剂-08开头和计算机专业+V:18173116706
已经有0人回复
【广州】仲恺农业工程学院城乡建设学院土木水利专业硕士招大量调剂,线上复试
已经有0人回复
【广州】仲恺农业工程学院城乡建设学院土木水利专业硕士招大量调剂,线上复试
已经有0人回复
广西大学土木博士招生
已经有5人回复
高级回复
» 本主题相关价值贴推荐,对您同样有帮助:
对于金属材料做DSC测试,请问大家有没有好的切割方法
已经有4人回复
如何将DSC与TG/DTA图结合起来做分析?用下面的图例帮我分析一下,辛苦各位了
已经有19人回复
想做陶瓷材料的DSC分析,应该用预烧样还是烧结样还是未预烧样?请求指教
已经有10人回复
做淀粉DSC时对照皿中要加水吗?
已经有19人回复
PBTDSC测试谱图分析
已经有5人回复
关于做淀粉DSC实验
已经有30人回复
关于测溶液的DSC时,大家一般做不做背景溶剂的DSC?
已经有23人回复
用DSC测树脂的玻璃化转变温度,样品要怎么做,树脂中的溶剂可以在高温下烘干吗?
已经有11人回复
怎么画DTG曲线?也就是DSC和TG的比值曲线?
已经有10人回复
DSC数据用origin 作图,怎么调纵坐标?
已经有4人回复
【求助】 混合物做DSC的制样取样问题
已经有28人回复
为什么DSC不能测出Tg
已经有18人回复
如何用dsc数据作相对结晶度与时间变化曲线图?
已经有19人回复
DSC热分析图谱分析
已经有14人回复
刚刚做完了热失重谱图,但是看不懂,求解释
已经有15人回复
【求助】帮忙分析分析TG/DSC图谱
已经有14人回复
【求助】本人首次做DSC,不知如何分析,求高手指教。
已经有8人回复
【求助】两张DSC图谱,请大家帮忙分析下为何相同物质不同仪器做出来图形不同
已经有8人回复
【求助】DSC曲线分析
已经有19人回复
【求助】PVA能做DSC测试吗?
已经有11人回复
【求助】DSC试样是颗粒状的好还是粉末状的好?
已经有36人回复
【讨论】为什么DSC曲线有时候要做两个不同温度下的图
已经有10人回复
读书,其中一个益处,是能填补个人人生阅历的苍白。别人多少年才走完的路,几十天、几天甚至几小时,如同电影镜头为你回放。那些原本要历经沧桑才能体会的心情,
1楼
2015-05-21 09:32:24
已阅
回复此楼
关注TA
给TA发消息
送TA红花
TA的回帖
初次见面
专家顾问
(知名作家)
专家经验: +2805
应助: 3775
(副教授)
贵宾: 0.692
金币: 36338.5
红花: 344
帖子: 5531
在线: 454.6小时
虫号: 3774894
注册: 2015-03-30
性别: GG
专业: 高分子科学
管辖:
高分子
★
小木虫: 金币+0.5, 给个红包,谢谢回帖
这个应该不能用吧
赞
一下
回复此楼
高分子材料合金、填充,增韧剂、相容剂
2楼
2015-05-22 16:16:00
已阅
回复此楼
关注TA
给TA发消息
送TA红花
TA的回帖
podman
金虫
(小有名气)
应助: 1
(幼儿园)
金币: 580.2
散金: 5
红花: 1
帖子: 268
在线: 16.7小时
虫号: 442741
注册: 2007-10-27
性别: GG
专业: 聚合物共混与复合材料
比热变化还是很明显的啊!
你做的是什么材料?
赞
一下
回复此楼
多学习,少灌水!
3楼
2015-05-24 12:04:20
已阅
回复此楼
关注TA
给TA发消息
送TA红花
TA的回帖
一如既往09
铜虫
(小有名气)
应助: 3
(幼儿园)
金币: 212
帖子: 123
在线: 72.8小时
虫号: 2453950
注册: 2013-05-08
专业: 人工智能与知识工程
★
小木虫: 金币+0.5, 给个红包,谢谢回帖
确实没有什么明显的热事件额 什么材料 想看什么啊 我也是初学
赞
一下
回复此楼
4楼
2015-05-24 16:09:57
已阅
回复此楼
关注TA
给TA发消息
送TA红花
TA的回帖
xiaojinchun
铁杆木虫
(著名写手)
应助: 32
(小学生)
金币: 5722.3
散金: 434
红花: 15
帖子: 1060
在线: 687.8小时
虫号: 1420202
注册: 2011-09-27
性别: GG
专业: 金属非晶态、准晶和纳米晶
★
小木虫: 金币+0.5, 给个红包,谢谢回帖
能用,把坐标值调整一次,让区别更清晰,其实差别已经很明显了
[ 发自小木虫客户端 ]
赞
一下
回复此楼
5楼
2015-05-24 17:51:49
已阅
回复此楼
关注TA
给TA发消息
送TA红花
TA的回帖
330465277
金虫
(正式写手)
应助: 9
(幼儿园)
金币: 92.3
散金: 580
红花: 5
帖子: 652
在线: 225.5小时
虫号: 703429
注册: 2009-02-18
性别: GG
专业: 聚合物共混与复合材料
赞同5楼说法。
回复此楼
6楼
2015-05-25 10:27:31
已阅
回复此楼
关注TA
给TA发消息
送TA红花
TA的回帖
hello513
金虫
(小有名气)
应助: 35
(小学生)
金币: 925.6
散金: 167
红花: 5
帖子: 173
在线: 566.2小时
虫号: 1124510
注册: 2010-10-17
专业: 代数学
★
小木虫: 金币+0.5, 给个红包,谢谢回帖
关键是你想通过这个图得到哪方面的信息? 你用的是DSC-TGA联用的设备测的吧? 这个设备只能粗测
赞
一下
回复此楼
7楼
2015-05-25 23:17:35
已阅
回复此楼
关注TA
给TA发消息
送TA红花
TA的回帖
匿名
应助:
(幼儿园)
在线:
虫号: 0
★
小木虫: 金币+0.5, 给个红包,谢谢回帖
本帖仅楼主可见
赞
一下
8楼
2015-05-26 00:54:41
已阅
申请CM-EPI
回复此楼
编辑
查看我的主页
相关版块跳转
材料综合
材料工程
微米和纳米
晶体
金属
无机非金属
生物材料
功能材料
复合材料
我要订阅楼主
wintersonata
的主题更新
8
1/1
返回列表
如果回帖内容含有宣传信息,请如实选中。否则帐号将被全论坛禁言
普通表情
龙
兔
虎
猫
高级回复
(可上传附件)
百度网盘
|
360云盘
|
千易网盘
|
华为网盘
在新窗口页面中打开自己喜欢的网盘网站,将文件上传后,然后将下载链接复制到帖子内容中就可以了。
信息提示
关闭
请填处理意见
关闭
确定