±±¾©Ê¯ÓÍ»¯¹¤Ñ§Ôº2026ÄêÑо¿ÉúÕÐÉú½ÓÊÕµ÷¼Á¹«¸æ
²é¿´: 691  |  »Ø¸´: 1

¾¸è¤

½ð³æ (ÕýʽдÊÖ)

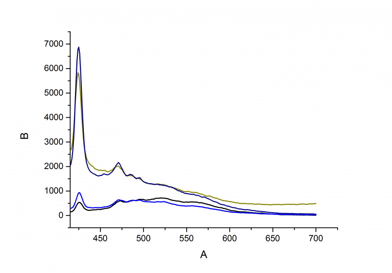
[ÇóÖú] ¹ÌÌåÓ«¹âµÄͼ³öÏÖÓ«¹âÇ¿¶È²»Í¬µÄÔ­ÒòÊÇʲô ÒÑÓÐ1È˲ÎÓë

Õâ¸öͼÊǹÌÌåÓ«¹âµÄͼ£¬ÎÒÏëÎÊÎÊϳöÏÖÓ«¹âÇ¿¶È²»Í¬µÄÔ­ÒòÊÇʲô£¿Ô½ÏêϸԽºÃ£¡£¡

¹ÌÌåÓ«¹âµÄͼ³öÏÖÓ«¹âÇ¿¶È²»Í¬µÄÔ­ÒòÊÇʲô
3.png

[ Last edited by ÇàÈô on 2015-5-19 at 20:23 ]
»Ø¸´´ËÂ¥

» ²ÂÄãϲ»¶

» ±¾Ö÷ÌâÏà¹Ø¼ÛÖµÌùÍÆ¼ö£¬¶ÔÄúͬÑùÓаïÖú:

ÒÑÔÄ   »Ø¸´´ËÂ¥   ¹Ø×¢TA ¸øTA·¢ÏûÏ¢ ËÍTAºì»¨ TAµÄ»ØÌû

jiagle

ר¼Ò¹ËÎÊ (ÖªÃû×÷¼Ò)

¡¾´ð°¸¡¿Ó¦Öú»ØÌû

¡ï ¡ï ¡ï ¡ï ¡ï ¡ï ¡ï ¡ï ¡ï ¡ï ¡ï ¡ï ¡ï ¡ï ¡ï ¡ï ¡ï ¡ï ¡ï ¡ï ¡ï ¡ï ¡ï ¡ï ¡ï ¡ï
¸Ðл²ÎÓ룬ӦÖúÖ¸Êý +1
ÇàÈô: ½ð±Ò+1, лл»ØÌû£¬»¶Ó­³£À´ÎÞ»úÎﻯ°æ½»Á÷ 2015-05-20 09:09:13
¾¸è¤(fatewu´ú·¢): ½ð±Ò+20 2015-05-26 19:14:05
¾¸è¤: ½ð±Ò+5, ¡ïÓаïÖú 2015-05-27 16:19:36
Ö÷ÒªÔ­ÒòÓУº
1¡¢ÔÓÖÊ¡ª¡ªÔÓÖÊâ§Ãð£»
2¡¢Å¨¶È¡ª¡ªÅ¨¶Èâ§Ãð£»
3¡¢»·¾³¡ª¡ª»ùÖʵÄ×é³É±äÁË£»
4¡¢È±ÏÝ£»
5¡¢½á¾§¶È¡£
2Â¥2015-05-20 07:49:34
ÒÑÔÄ   »Ø¸´´ËÂ¥   ¹Ø×¢TA ¸øTA·¢ÏûÏ¢ ËÍTAºì»¨ TAµÄ»ØÌû
Ïà¹Ø°æ¿éÌø×ª ÎÒÒª¶©ÔÄÂ¥Ö÷ ¾¸è¤ µÄÖ÷Ìâ¸üÐÂ
×î¾ßÈËÆøÈÈÌûÍÆ¼ö [²é¿´È«²¿] ×÷Õß »Ø/¿´ ×îºó·¢±í
[¿¼ÑÐ] Ò»Ö¾Ô¸Ö£ÖÝ´óѧ²ÄÁÏÓ뻯¹¤085600£¬Çóµ÷¼Á +17 ³ÔµÄ²»ÉÙ 2026-04-02 17/850 2026-04-03 21:48 by qlm5820
[¿¼ÑÐ] 329Çóµ÷¼Á£¬Ò»Ö¾Ô¸Î÷±±¹¤Òµ´óѧ£¬²ÄÁϹ¤³Ì£¨085601£© +8 СС»úÁ鳿 2026-03-29 14/700 2026-04-03 19:38 by lijunpoly
[¿¼ÑÐ] Ò»Ö¾Ô¸Äϲý´óѧ324Çóµ÷¼Á +13 hanamiko 2026-04-01 13/650 2026-04-03 18:30 by lsÁõ˧
[¿¼ÑÐ] 329Çóµ÷¼Á +9 miaodesi 2026-04-02 11/550 2026-04-03 18:28 by lsÁõ˧
[¿¼ÑÐ] 338Çóµ÷¼Á +4 zzz£¬£¬r 2026-04-03 4/200 2026-04-03 16:39 by lijunpoly
[¿¼ÑÐ] Çóµ÷¼Á»ú»á +5 ÒâȾivy 2026-04-03 5/250 2026-04-03 15:13 by qoooooo614
[¿¼ÑÐ] 324Çóµ÷¼Á +4 ÏëÉÏѧÇóµ÷ 2026-04-03 4/200 2026-04-03 14:41 by rongligao
[¿¼ÑÐ] Çóµ÷¼Á²»Ìôרҵ +3 xrh030412 2026-04-01 3/150 2026-04-03 14:40 by µªÆøÆøÆø
[¿¼ÑÐ] 296²ÄÁÏר˶Çóµ÷¼Á +20 202451007219 2026-04-02 21/1050 2026-04-03 11:15 by wangjy2002
[¿¼ÑÐ] 081200-11408-276ѧ˶Çóµ÷¼Á +6 ´Þwj 2026-04-02 6/300 2026-04-03 10:19 by À¶ÔÆË¼Óê
[¿¼²©] É격ÇóÖú +3 Reee1Llll 2026-04-01 3/150 2026-04-02 22:29 by ÕâÊÇÒ»¸öÎÞÁĵÄê
[¿¼ÑÐ] Ò»Ö¾Ô¸¸´µ©²ÄÁÏ£¬Ó¢Ò»×¨Ë¶£¬×Ü·Ö357µ÷¼Á +4 1050389037 2026-04-02 5/250 2026-04-02 21:40 by dongzh2009
[¿¼ÑÐ] Ò»Ö¾Ô¸±±¾©¿Æ¼¼²ÄÁÏ¿ÆÑ§Ó빤³Ì288·Ö£¬Çóµ÷¼Á +14 Êdz½°¡ 2026-04-02 14/700 2026-04-02 21:10 by dongzh2009
[¿¼ÑÐ] 260Çóµ÷¼Á +6 ÖìÜÆÁÕ 2026-04-02 6/300 2026-04-02 20:27 by 6781022
[¿¼ÑÐ] ÍÁľ304Çóµ÷¼Á +6 ÍÃͻͻͻ£¬ 2026-03-31 7/350 2026-04-02 09:06 by coolminer
[¿¼ÑÐ] ¿¼Ñе÷¼Á +12 Amber00 2026-03-31 12/600 2026-04-02 09:04 by sanrepian
[˶²©¼ÒÔ°] ²©Ò»±»ËͳöÁªÅà¸Ð¾õ²»ÊÊÓ¦Ôõô°ì +3 È«´åµÄ¹· 2026-03-31 3/150 2026-04-01 10:44 by 328838485
[¿¼ÑÐ] 318Çóµ÷¼Á +8 ÆßÒä77 2026-04-01 8/400 2026-04-01 10:37 by Jaylen.
[¿¼ÑÐ] ±¾¿Æ211°²È«¹¤³Ì£¬³õÊÔ290·Ö£¬Çóµ÷¼Á +3 2719846834 2026-03-28 3/150 2026-03-31 13:52 by ÈÈÇéɳĮ
[¿¼ÑÐ] 276Çóµ÷¼Á +3 ÕԾûª 2026-03-29 3/150 2026-03-31 10:06 by cal0306
ÐÅÏ¢Ìáʾ
ÇëÌî´¦ÀíÒâ¼û