±±¾©Ê¯ÓÍ»¯¹¤Ñ§Ôº2026ÄêÑо¿ÉúÕÐÉú½ÓÊÕµ÷¼Á¹«¸æ
²é¿´: 525  |  »Ø¸´: 2

sanbufan

Òø³æ (ÕýʽдÊÖ)

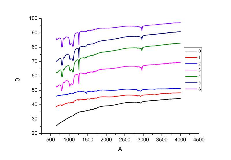
[ÇóÖú] ºìÍâ·åÔõô·ÖÎö°¡£¬ÇóÖú¸ßÊÖ ÒÑÓÐ2È˲ÎÓë

ÈçͼËùʾ£¬ÕâЩ·å·Ö±ð´ú±íʲô»ùÍŰ¡£¿±¾ÈËFTIRÍêÈ«²»¶®°¡£¬Çë½ÌÁË£¡

ºìÍâ·åÔõô·ÖÎö°¡£¬ÇóÖú¸ßÊÖ
2.jpg
»Ø¸´´ËÂ¥

» ²ÂÄãϲ»¶

» ±¾Ö÷ÌâÏà¹Ø¼ÛÖµÌùÍÆ¼ö£¬¶ÔÄúͬÑùÓаïÖú:

ÒÑÔÄ   »Ø¸´´ËÂ¥   ¹Ø×¢TA ¸øTA·¢ÏûÏ¢ ËÍTAºì»¨ TAµÄ»ØÌû

ѼÂ̽­ÅÏ

Ìú¸Ëľ³æ (ÖøÃûдÊÖ)

Å£B

¡¾´ð°¸¡¿Ó¦Öú»ØÌû

¸Ðл²ÎÓ룬ӦÖúÖ¸Êý +1
ÎÒ²ÅÒ²¾ÍÊDZ¥ºÍÍéÌþµÄºìÍâÉ«Æ×
ÎÒÄÇôŬÁ¦£¬¾ÍÊÇΪÁËÔÚ¸ü¸ßµÄ²ã´ÎÓö¼ûÄ㣡
2Â¥2015-05-16 10:00:52
ÒÑÔÄ   »Ø¸´´ËÂ¥   ¹Ø×¢TA ¸øTA·¢ÏûÏ¢ ËÍTAºì»¨ TAµÄ»ØÌû

jzhiquan

ÖÁ×ðľ³æ (³õÈëÎÄ̳)

¡¾´ð°¸¡¿Ó¦Öú»ØÌû

¸Ðл²ÎÓ룬ӦÖúÖ¸Êý +1
´ÓºìÍâÆ×·åµÄ´óÖÂÕñ¶¯ÆµÂÊÀ´¿´£¬ºÜ¿ÉÄÜÊǶþ¼×»ù¹èÑõÍ飬¼´Ë׳ƵĹèÓÍ

Äã¿ÉÒÔµ¥»­Ò»ÌõºìÍâÇúÏߣ¬±êÇå³þ¾ßÌåµÄÕñ¶¯ÆµÂÊ£¬ÔÙÇë´ó¼ÒÀ´¿´¿´
×íÎԹšÖÐ
3Â¥2015-05-16 10:43:27
ÒÑÔÄ   »Ø¸´´ËÂ¥   ¹Ø×¢TA ¸øTA·¢ÏûÏ¢ ËÍTAºì»¨ TAµÄ»ØÌû
Ïà¹Ø°æ¿éÌø×ª ÎÒÒª¶©ÔÄÂ¥Ö÷ sanbufan µÄÖ÷Ìâ¸üÐÂ
×î¾ßÈËÆøÈÈÌûÍÆ¼ö [²é¿´È«²¿] ×÷Õß »Ø/¿´ ×îºó·¢±í
[¿¼ÑÐ] ÄϾ©´óѧ»¯Ñ§µ÷¼Á +9 ¾°Ëæ·ç 2026-03-29 14/700 2026-03-29 21:22 by chixmc
[¿¼ÑÐ] ²ÄÁÏ¿ÆÑ§Ó빤³ÌÇóµ÷¼Á +6 ÉîVËÞÉá°É 2026-03-29 6/300 2026-03-29 20:51 by ÌÆãå¶ù
[¿¼ÑÐ] ¿¼Ñе÷¼Á +7 СÀ¯ÐÂ±Ê 2026-03-29 7/350 2026-03-29 19:00 by ѧԱ8dgXkO
[¿¼ÑÐ] 343Çóµ÷¼Á085601 +3 ҪŬÁ¦Ñ§Ï°x 2026-03-29 3/150 2026-03-29 18:35 by wxiongid
[¿¼ÑÐ] ²ÄÁÏѧ˶333Çóµ÷¼Á +11 ±±µÀÏï 2026-03-24 11/550 2026-03-29 08:31 by fmesaito
[¿¼ÑÐ] 289Çóµ÷¼Á +13 ÐÂʱ´ú²ÄÁÏ 2026-03-27 13/650 2026-03-29 01:16 by 544594351
[¿¼ÑÐ] Ò»Ö¾Ô¸211 ³õÊÔ270·Ö Çóµ÷¼Á +8 ¹ÈÓêÉϰ¶ 2026-03-23 9/450 2026-03-29 01:00 by ÎÒÊÇС¿µ
[¿¼ÑÐ] ÊýÒ»Ó¢Ò»271ר˶£¨085401£©Çóµ÷¼Á£¬¿É¿ç +7 ǰÐбØÓйâ 2026-03-28 8/400 2026-03-28 23:22 by Сľ³ætim
[¿¼ÑÐ] 295²ÄÁϹ¤³Ìר˶Çóµ÷¼Á +7 1428151015 2026-03-27 7/350 2026-03-28 19:58 by S240
[¿¼ÑÐ] 283Çóµ÷¼Á +3 A child 2026-03-28 3/150 2026-03-28 15:41 by ms629
[¿¼ÑÐ] 346Çóµ÷¼Á Ò»Ö¾Ô¸070303Óлú»¯Ñ§ +3 Âܲ·ìÀÇà²Ë 2026-03-28 3/150 2026-03-28 14:11 by ÌÆãå¶ù
[¿¼ÑÐ] 0703Ò»Ö¾Ô¸9£¬³õÊԳɼ¨£º338£¬ËÄÁù¼¶Òѹý£¬ÓпÆÑо­Àú£¬Çóµ÷¼Á£¡ +4 Zuhui0306 2026-03-25 4/200 2026-03-28 13:07 by ÌÆãå¶ù
[¿¼ÑÐ] 085404Çóµ÷¼Á£¬×Ü·Ö309£¬±¾¿Æ¾­Àú½ÏΪ·á¸» +4 À´²Æaa 2026-03-25 4/200 2026-03-28 07:41 by °ô°ôÇòÊÖ
[¿¼ÑÐ] 070300»¯Ñ§Çóµ÷¼Á +4 Æð¸öÃûÕ¦ÕâôÄÑ 2026-03-27 4/200 2026-03-27 21:39 by 83503ËïÀÏʦ
[¿¼ÑÐ] 086000µ÷¼Á +3 7901117076 2026-03-26 3/150 2026-03-27 21:34 by Jianing_Mi
[¿¼ÑÐ] 274Çóµ÷¼Á +17 ¹Ë¾ÅóÏҪǫÐé 2026-03-24 23/1150 2026-03-27 15:16 by caszguilin
[¿¼ÑÐ] 085601 ²ÄÁϹ¤³Ì 313·Ö Çóµ÷¼Á +5 Ong3 2026-03-27 5/250 2026-03-27 12:24 by goldfish51
[¿¼ÑÐ] 292Çóµ÷¼Á +4 ÇóÇóÁËÊÕÏÂÎÒ°É£ 2026-03-26 4/200 2026-03-27 10:37 by zhshch
[¿¼ÑÐ] 081200-11408-276ѧ˶Çóµ÷¼Á +4 ´Þwj 2026-03-26 4/200 2026-03-27 08:04 by chemisry
[¿¼ÑÐ] Ò»Ö¾Ô¸Ìì½ò´óѧ339²ÄÁÏÓ뻯¹¤Çóµ÷¼Á +3 ½­ÍùÂôÓã 2026-03-26 3/150 2026-03-26 09:42 by ÍõСǷi
ÐÅÏ¢Ìáʾ
ÇëÌî´¦ÀíÒâ¼û