| 查看: 4683 | 回复: 2 | |
yan_yuting新虫 (小有名气)
|
[求助]
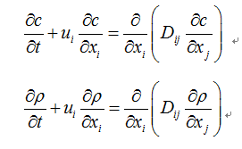
组分传输方程 已有1人参与
|
|
|
|
|
2楼2015-05-14 14:40:22
|
|
yan_yuting新虫 (小有名气)
|
|
|
3楼2015-05-14 15:35:10
|
|













回复此楼