| 查看: 1893 | 回复: 6 | |||
[求助]
这种次相体积分数方程该用什么多相流模型? 已有1人参与
|
|
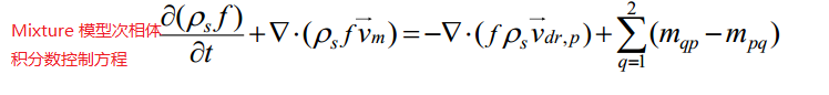
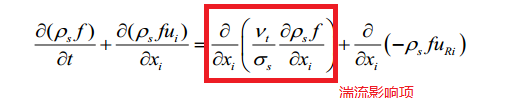
我在做一个气固两相流的数值模拟,次相体积分数控制方程如图1,但是Fluent提供的VOF、Mixture和Euler这三种多相流模型中次相的体积分数方程都没有图1等式右边的湍流影响项(扩散项),这种情况该怎么办呢?编UDF都不知道用哪个宏啊! 希望各位前辈赐教!不甚感激! 图1.想要的次相体积分数方程.png Mixture提供的次相体积分数方程.png |
» 猜你喜欢
269求调剂
已经有3人回复
318求调剂
已经有5人回复
电子信息270求调剂
已经有5人回复
专硕085403,291分,有两篇专利,一国一奖
已经有3人回复
312求调剂
已经有20人回复
290求调剂085701
已经有16人回复
081200-11408-276学硕求调剂
已经有5人回复
327求调剂
已经有5人回复
一志愿085404,总分291,四级已过,求调剂
已经有8人回复
285求调剂
已经有16人回复
» 本主题相关价值贴推荐,对您同样有帮助:
多相流手册(英文版)
已经有118人回复
fluent多相流算例
已经有336人回复
两相流欧拉模型模拟气液分层流动,第二相diameter如何确定
已经有10人回复
三种气体混合流动,流动过程中还发生了冷凝,该用什么多相流模型?
已经有10人回复
Fluent欧拉模型中相的体积分数的设定
已经有16人回复
欧拉模型和VOF之间的差别
已经有11人回复
fluent中离散相模型遇到的问题,求高手指点
已经有9人回复
fluent求解UDS过程中,出现少数不合理的值..
已经有14人回复
转载:离散相模型与多相流模型的区别
已经有5人回复
求助第二相体积分数的计算
已经有3人回复
VOF体积分数的梯度为什么为0呢??
已经有10人回复
纤维体积分数计算及其相关规范
已经有5人回复
这个气液多相流应该选用什么模型?
已经有14人回复
嵌段共聚物中组分的体积分数的计算
已经有4人回复
VOF,MIXTURE和双流体,在做多相流时这些模型怎么选择呢
已经有3人回复
fluent气液双相流中的Patch问题
已经有15人回复
【招聘】高薪聘请多相流牛人
已经有6人回复
【求助】关于多相流mixture模型中材料定义问题
已经有12人回复
【求助】两相流中第二相体积分数问题
已经有13人回复
【求助】求助,颗粒占空气体积分数由0.4%渐变为27%的模型选择
已经有6人回复
死天
专家顾问 (著名写手)
-

专家经验: +60 - 应助: 399 (硕士)
- 金币: 3648.9
- 红花: 89
- 帖子: 1336
- 在线: 443.8小时
- 虫号: 2643057
- 注册: 2013-09-09
- 专业: 流体力学
- 管辖: 仿真模拟
2楼2014-11-13 08:49:40
3楼2014-11-13 16:47:34
死天
专家顾问 (著名写手)
-

专家经验: +60 - 应助: 399 (硕士)
- 金币: 3648.9
- 红花: 89
- 帖子: 1336
- 在线: 443.8小时
- 虫号: 2643057
- 注册: 2013-09-09
- 专业: 流体力学
- 管辖: 仿真模拟
4楼2014-11-13 19:19:04
5楼2014-11-13 21:56:31
6楼2014-11-13 22:06:35
死天
专家顾问 (著名写手)
-

专家经验: +60 - 应助: 399 (硕士)
- 金币: 3648.9
- 红花: 89
- 帖子: 1336
- 在线: 443.8小时
- 虫号: 2643057
- 注册: 2013-09-09
- 专业: 流体力学
- 管辖: 仿真模拟
7楼2014-11-14 08:11:55














回复此楼