| 查看: 2498 | 回复: 14 | ||
[求助]
fluent求解UDS过程中,出现少数不合理的值..已有1人参与
|
||
|
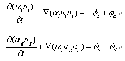
采用欧拉模型计算气液两相流场,对气液两相写标量方程,用于求解浓度,如下: 求解结果应该都为正值。 但当我去除对流项进行求解时,一切正常,加上对流项后,发现极个别点出现负值,请问什么原因? 怎么解决?谢谢~~ [ 来自科研家族 流体数值模拟 ] |
» 猜你喜欢
三甲基碘化亚砜的氧化反应
已经有4人回复
请问下大家为什么这个铃木偶联几乎不反应呢
已经有5人回复
请问有评职称,把科研教学业绩算分排序的高校吗
已经有5人回复
孩子确诊有中度注意力缺陷
已经有12人回复
2025冷门绝学什么时候出结果
已经有3人回复
天津工业大学郑柳春团队欢迎化学化工、高分子化学或有机合成方向的博士生和硕士生加入
已经有4人回复
康复大学泰山学者周祺惠团队招收博士研究生
已经有6人回复
AI论文写作工具:是科研加速器还是学术作弊器?
已经有3人回复
论文投稿,期刊推荐
已经有4人回复
硕士和导师闹得不愉快
已经有13人回复


2楼2013-01-21 00:53:51

3楼2013-01-21 10:02:38
![]() |
4楼2013-01-22 22:25:04
5楼2013-01-30 04:16:59

6楼2013-04-22 10:29:16

7楼2013-04-22 10:31:04
8楼2013-04-24 16:26:40

9楼2013-04-24 16:38:13
10楼2013-12-15 15:48:51














回复此楼
