| 查看: 409 | 回复: 0 | ||
1176692925金虫 (著名写手)
|
[求助]
固体物理&量子力学求解
|
|
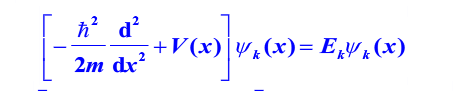
这个一维周期场中近自由电子近似的零级近似怎么算出来的?是用边界条件还是?还有那个归一化因子怎么来的? 1111.png 2222.png [ Last edited by 1176692925 on 2015-4-27 at 21:10 ] |
» 猜你喜欢
食品工程专硕一志愿中海洋309求调剂
已经有8人回复
求调剂
已经有7人回复
311(085601)求调剂
已经有4人回复
305求调剂
已经有4人回复
一志愿北化085600材料专硕275|有文章专利|求调剂
已经有7人回复
一志愿华理,数一英一285求A区调剂
已经有12人回复
289求调剂
已经有11人回复
生物学学硕,一志愿湖南大学,初试成绩338
已经有6人回复
321求调剂
已经有7人回复
343求调剂
已经有4人回复
找到一些相关的精华帖子,希望有用哦~
固体物理看不懂
已经有5人回复
固体物理 或 量子力学 或 无机化学 哪个学起来简单?
已经有5人回复
基泰尔的《固体物理导论》(原著第八版)中文版 [PDF]
已经有308人回复
研究僧专业凝聚态物理,到底是干什么的啊
已经有17人回复
固体物理相关的7个资源
已经有230人回复
【课后习题】Kittel固体物理导论答案+黄昆固体物理答案+阎守胜固体物理基础答案
已经有332人回复
固体物理和MS学习
已经有28人回复
固体物理教材(韦丹)
已经有573人回复
求助:量子力学中几率流密度的问题
已经有9人回复
钱伯初量子力学答案
已经有62人回复
求助,固体物理;金属物理,量子力学,3方面教科书
已经有9人回复
量子力学方面的计算
已经有4人回复
请问有木有浅显易懂的“固体物理”书?
已经有19人回复
学习固体物理之前要学习什么基础课程
已经有34人回复
关于本科物理学过的几门课,总结概括
已经有12人回复
关于《固体物理》黄昆
已经有9人回复
【求助】中科院半导体所的量子力学和固体物理
已经有13人回复
【求助】固体物理教材选哪一本好呢?
已经有39人回复
科研从小木虫开始,人人为我,我为人人














回复此楼
点击这里搜索更多相关资源