版块导航
正在加载中...
客户端APP下载
论文辅导
申博辅导
登录
注册
帖子
帖子
用户
本版
应《网络安全法》要求,自2017年10月1日起,未进行实名认证将不得使用互联网跟帖服务。为保障您的帐号能够正常使用,请尽快对帐号进行手机号验证,感谢您的理解与支持!
24小时热门版块排行榜
>
论坛更新日志
(3375)
>
文献求助
(303)
>
导师招生
(203)
>
虫友互识
(186)
>
休闲灌水
(174)
>
考博
(92)
>
论文投稿
(77)
>
博后之家
(71)
>
硕博家园
(46)
>
有机交流
(43)
>
招聘信息布告栏
(42)
>
绿色求助(高悬赏)
(38)
>
基金申请
(35)
>
考研
(33)
>
论文道贺祈福
(21)
>
找工作
(20)
小木虫论坛-学术科研互动平台
»
化学化工区
»
高分子
»
高分子化学
»
关于PEO-b-PS的问题
3
1/1
返回列表
查看: 481 | 回复: 2
只看楼主
@他人
存档
新回复提醒
(忽略)
收藏
在APP中查看
泰山小子123
铜虫
(著名写手)
应助: 14
(小学生)
金币: 1222.3
散金: 598
红花: 9
帖子: 1143
在线: 506.2小时
虫号: 2052922
注册: 2012-10-10
性别: GG
专业: 其他无机非金属材料
[
求助
]
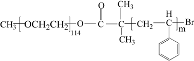
关于PEO-b-PS的问题
已有1人参与
用浓硝酸,室温下搅拌,主链上的那个酯键会断吗?如果侧链上也有酯键的话,侧链上的更容易断还是主链上的更容易断?还是一样容易断?求赐教!
PEO-PS.gif
回复此楼
» 猜你喜欢
推荐一本书
已经有10人回复
纳米粒子粒径的测量
已经有6人回复
国自然申请面上模板最新2026版出了吗?
已经有6人回复
溴的反应液脱色
已经有4人回复
参与限项
已经有5人回复
有没有人能给点建议
已经有5人回复
假如你的研究生提出不合理要求
已经有12人回复
全日制(定向)博士
已经有5人回复
萌生出自己或许不适合搞科研的想法,现在跑or等等看?
已经有4人回复
Materials Today Chemistry审稿周期
已经有4人回复
» 本主题相关价值贴推荐,对您同样有帮助:
求助9(4-溴苯基)咔唑的溶解性问题
已经有5人回复
关于PEO-b-PS的合成,怎么总不成功啊,求帮助啊
已经有13人回复
关于ATRP中溴化亚铜的问题
已经有8人回复
有关ATRP合成PHEMA的问题
已经有8人回复
水泥生料 三率值 的标准是多少
已经有3人回复
酰胺合成产率低的问题
已经有29人回复
ATRP的时候(合成PEO-b-PS嵌段)产率很低是怎么回事呢?
已经有13人回复
关于ATRP合成PEO-b-PS嵌段
已经有4人回复
【讨论】嵌段共聚物为模板生成纳米材料
已经有9人回复
【讨论】做ATRP的时候加料的顺序是不是很重要?
已经有9人回复
【求助】请教:回收率很低,怎么回事?
已经有4人回复
【讨论】PPCPs的检测
已经有7人回复
我知道我得继续努力!加油!
1楼
2015-04-26 22:34:30
已阅
回复此楼
关注TA
给TA发消息
送TA红花
TA的回帖
105441862
新虫
(初入文坛)
应助: 4
(幼儿园)
金币: 31.4
帖子: 21
在线: 23.1小时
虫号: 2460826
注册: 2013-05-12
专业: 高分子组装与超分子结构
【答案】应助回帖
★ ★ ★
感谢参与,应助指数 +1
泰山小子123: 金币+3,
★★★
很有帮助
2015-04-27 09:45:24
浓硝酸下,这个会断的。至于会不会全断,做实验才能知道啊
[ 发自小木虫客户端 ]
赞
一下
回复此楼
2楼
2015-04-27 00:40:06
已阅
回复此楼
关注TA
给TA发消息
送TA红花
TA的回帖
泰山小子123
铜虫
(著名写手)
应助: 14
(小学生)
金币: 1222.3
散金: 598
红花: 9
帖子: 1143
在线: 506.2小时
虫号: 2052922
注册: 2012-10-10
性别: GG
专业: 其他无机非金属材料
自顶一个
回复此楼
我知道我得继续努力!加油!
3楼
2015-04-29 15:48:31
已阅
回复此楼
关注TA
给TA发消息
送TA红花
TA的回帖
相关版块跳转
有机交流
有机资源
高分子
无机/物化
分析
催化
工艺技术
化工设备
石油化工
精细化工
电化学
环境
SciFinder/Reaxys
我要订阅楼主
泰山小子123
的主题更新
3
1/1
返回列表
如果回帖内容含有宣传信息,请如实选中。否则帐号将被全论坛禁言
普通表情
龙
兔
虎
猫
百度网盘
|
360云盘
|
千易网盘
|
华为网盘
在新窗口页面中打开自己喜欢的网盘网站,将文件上传后,然后将下载链接复制到帖子内容中就可以了。
信息提示
关闭
请填处理意见
关闭
确定