| 查看: 1307 | 回复: 7 | ||
[求助]
有谁接触过误差传递或者状态空间建模的问题,求指点已有1人参与
|
|
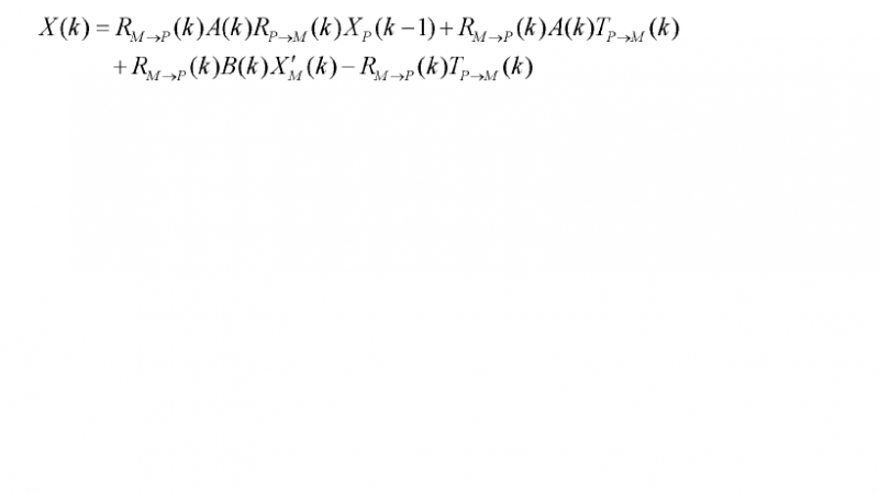
误差传递模型的建立有用状态空间方程来分析的,状态空间模型的显式表示比较复杂,到后面我就看不懂了,尤其是在不同坐标系之间的齐次转换,移动矩阵和旋转矩阵的表示看不懂,还有个问题就是状态空间方程可以用MATLAB来验证不?有哪位大神做相关研究的,求指点啊 6.png |
» 猜你喜欢
浙江大学机械工程学院党超群课题组招收博士研究生
已经有0人回复
燕大动力工程专硕
已经有0人回复
机械工程论文润色/翻译怎么收费?
已经有297人回复
华北电力大学王鹏课题组诚招博士/硕士
已经有2人回复

2楼2015-04-23 12:21:32
huahua9918
至尊木虫 (著名写手)
- 应助: 16 (小学生)
- 金币: 10464.1
- 散金: 628
- 红花: 12
- 沙发: 1
- 帖子: 2706
- 在线: 1280.8小时
- 虫号: 2768149
- 注册: 2013-10-31
- 专业: 零件成形制造
3楼2015-04-23 22:15:11

4楼2015-04-23 23:49:00
5楼2015-04-26 10:24:57

6楼2015-04-26 12:02:10
7楼2015-04-27 09:12:46

8楼2015-04-27 13:50:04













回复此楼

