²é¿´: 318  |  »Ø¸´: 2

СÑò123

Òø³æ (ÖøÃûдÊÖ)

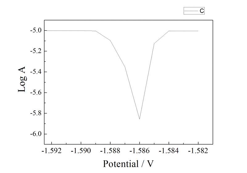
[ÇóÖú] þ½ðÊôµÄµç»¯Ñ§ÇúÏß

²âµÃËþ·Æ¶ûÇúÏßÊÇÕâ¸öÑù×ӵģ¬ÇëÎÊÊÇÄÄÀï³öÁËÎÊÌ⣿

þ½ðÊôµÄµç»¯Ñ§ÇúÏß
Ëþ·Æ¶ûÇúÏß.jpg
»Ø¸´´ËÂ¥

» ²ÂÄãϲ»¶

» ±¾Ö÷ÌâÏà¹Ø¼ÛÖµÌùÍÆ¼ö£¬¶ÔÄúͬÑùÓаïÖú:

ÒÑÔÄ   »Ø¸´´ËÂ¥   ¹Ø×¢TA ¸øTA·¢ÏûÏ¢ ËÍTAºì»¨ TAµÄ»ØÌû

СÑò123

Òø³æ (ÖøÃûдÊÖ)

ÊÇ·â×°µç¼«µÄÎÊÌâÂð
2Â¥2015-04-20 20:41:20
ÒÑÔÄ   »Ø¸´´ËÂ¥   ¹Ø×¢TA ¸øTA·¢ÏûÏ¢ ËÍTAºì»¨ TAµÄ»ØÌû

СÑò123

Òø³æ (ÖøÃûдÊÖ)

ÒѾ­½â¾öÁË
3Â¥2015-04-21 17:41:46
ÒÑÔÄ   »Ø¸´´ËÂ¥   ¹Ø×¢TA ¸øTA·¢ÏûÏ¢ ËÍTAºì»¨ TAµÄ»ØÌû
Ïà¹Ø°æ¿éÌø×ª ÎÒÒª¶©ÔÄÂ¥Ö÷ СÑò123 µÄÖ÷Ìâ¸üÐÂ
×î¾ßÈËÆøÈÈÌûÍÆ¼ö [²é¿´È«²¿] ×÷Õß »Ø/¿´ ×îºó·¢±í
[¿¼ÑÐ] 293Çóµ÷¼Á +12 zjlµÄºÅ 2026-03-16 17/850 2026-03-22 16:51 by i_cooler
[¿¼ÑÐ] ÉúÎïѧ071000 329·ÖÇóµ÷¼Á +5 ÎÒ°®ÉúÎïÉúÎﰮΠ2026-03-17 5/250 2026-03-22 16:42 by tcx007
[¿¼ÑÐ] 306Çóµ÷¼Á +5 À´ºÃÔËÀ´À´À´ 2026-03-22 5/250 2026-03-22 16:17 by BruceLiu320
[¿¼ÑÐ] 319Çóµ÷¼Á +4 СÁ¦Æøçæçæ 2026-03-20 4/200 2026-03-22 15:53 by ColorlessPI
[¿¼ÑÐ] 260Çóµ÷¼Á +3 ÖìÜÆÁÕ 2026-03-20 4/200 2026-03-22 15:12 by ÖìÜÆÁÕ
[¿¼ÑÐ] Ò»Ö¾Ô¸±±¾©»¯¹¤´óѧ070300 ѧ˶336Çóµ÷¼Á +5 vvÃÔ 2026-03-21 8/400 2026-03-22 14:20 by ColorlessPI
[¿¼ÑÐ] Çóµ÷¼Á +5 Zhangbod 2026-03-21 7/350 2026-03-22 13:13 by Zhangbod
[¿¼ÑÐ] Ò»Ö¾Ô¸»ªÖпƼ¼´óѧ071000£¬Çóµ÷¼Á +4 ÑØ°¶Óб´¿Ç6 2026-03-21 4/200 2026-03-22 07:21 by ilovexiaobin
[¿¼ÑÐ] 280Çóµ÷¼Á +11 ¹¾ààÏþÏþ 2026-03-18 12/600 2026-03-21 22:40 by ACS Nano¡ª¡ª
[¿¼ÑÐ] 0805 316Çóµ÷¼Á +3 ´óÑ©Éî²Ø 2026-03-18 3/150 2026-03-21 18:55 by ѧԱ8dgXkO
[¿¼ÑÐ] 0703»¯Ñ§µ÷¼Á +4 ÄÝÄÝninicgb 2026-03-21 4/200 2026-03-21 18:39 by ѧԱ8dgXkO
[¿¼ÑÐ] 307Çóµ÷¼Á +3 wyyyqx 2026-03-17 3/150 2026-03-21 03:20 by JourneyLucky
[¿¼ÑÐ] »ª¶«Ê¦·¶´óѧ-071000ÉúÎïѧ-293·Ö-Çóµ÷¼Á +3 Ñо¿ÉúºÎÑþÃ÷ 2026-03-18 3/150 2026-03-21 01:30 by JourneyLucky
[¿¼ÑÐ] Ò»Ö¾Ô¸Î人Àí¹¤²ÄÁϹ¤³Ìר˶µ÷¼Á +9 Doleres 2026-03-19 9/450 2026-03-20 22:36 by JourneyLucky
[¿¼ÑÐ] Çóµ÷¼Á +3 eation27 2026-03-20 3/150 2026-03-20 19:32 by JourneyLucky
[¿¼ÑÐ] »·¾³¹¤³Ìµ÷¼Á +9 ´ó¿Édigkids 2026-03-16 9/450 2026-03-20 17:38 by ×íÔÚ·çÀï
[¿¼ÑÐ] 085410È˹¤ÖÇÄÜר˶317Çóµ÷¼Á£¨0854¶¼¿ÉÒÔ£© +4 xbxudjdn 2026-03-18 4/200 2026-03-20 09:07 by ²»168
[¿¼ÑÐ] 328Çóµ÷¼Á£¬Ó¢ÓïÁù¼¶551£¬ÓпÆÑо­Àú +4 ÉúÎ﹤³Ìµ÷¼Á 2026-03-16 12/600 2026-03-19 11:10 by ÉúÎ﹤³Ìµ÷¼Á
[¿¼ÑÐ] Ò»Ö¾Ô¸ÄϾ©´óѧ£¬080500²ÄÁÏ¿ÆÑ§Ó빤³Ì£¬µ÷¼Á +4 Jy? 2026-03-16 4/200 2026-03-17 11:02 by gaoqiong
[¿¼ÑÐ] 333Çóµ÷¼Á +3 ÎÄ˼¿Í 2026-03-16 7/350 2026-03-16 18:21 by ÎÄ˼¿Í
ÐÅÏ¢Ìáʾ
ÇëÌî´¦ÀíÒâ¼û