| 查看: 3604 | 回复: 10 | |||
[求助]
氧还原金属催化剂的塔菲尔曲线测定
|
|
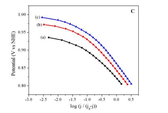
最近做氧还原催化剂,文献上有塔菲尔曲线,有哪位做个这样的图,能否具体说一下怎么测量,是用旋转电极连电化学工作站,再用tafel plot 测吗?参数怎么设置?横坐标中的jd值是怎么得到的? 裁剪.jpg |
» 收录本帖的淘帖专辑推荐
资料 |
» 猜你喜欢
湖南农业大学能源材料创新团队招收2025化学专业研究生(学硕)调剂
已经有0人回复
2026年西华大学材料学院-材料近净成形与表面技术研究团队-招收调剂研究生
已经有9人回复
分析化学论文润色/翻译怎么收费?
已经有271人回复
调剂信息
已经有0人回复
华南理工0703化学,总分336求调剂
已经有1人回复
河北农大生物与医药专业招收调剂,名额充足
已经有0人回复
齐鲁工业大学 国家重点实验室-新能源、锂离子电池、材料、化学方向
已经有0人回复
一志愿前4位代码0703均可报名-河北大学分析化学专业招收调剂考生
已经有57人回复
★★爆★★0860生物与医药调剂考生看过来,河北大学化学与材料科学学院
已经有63人回复
杰青/长江团队招收调剂
已经有0人回复
中南林业科技大学罗勇锋教授团队2026年招收材料类调剂研究生
已经有0人回复
» 本主题相关价值贴推荐,对您同样有帮助:
等离子+臭氧烟气低温脱硝技术介绍
已经有12人回复
催化反应器工程
已经有359人回复
做一下好事吧,南京航空航天大学资助清单,我没中,郁闷!
已经有11人回复
【分享】固体催化剂的制备
已经有54人回复

2楼2012-11-15 09:03:03

3楼2012-11-19 19:52:22
4楼2012-11-20 08:21:51
5楼2012-11-20 08:42:35
|
文献上是这么说的“The Tafel plots were obtained after the measured currents were corrected for diffusion to give the kinetic currents in the mixed activation–diffusion region, calculated from the equation: j k = [j/(jd-j)], where j is the overall measured current density, j k is the kinetic current density, j d is the boundary-layer diffusion-limited current density and [j/(jd-j)] is the mass-transfer correction。” 请问这里的j和jd是怎么测得的?用K-L方程怎么转换呢? |

6楼2012-11-20 11:08:29

7楼2012-11-20 11:10:17
8楼2012-11-21 08:27:11
9楼2014-06-18 10:45:21

10楼2014-09-03 16:05:50














回复此楼