| 查看: 842 | 回复: 7 | |||
luoshh06铁虫 (小有名气)
|
[求助]
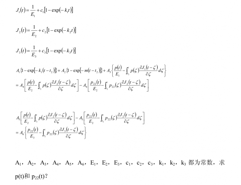
跪求高手帮忙解个方程,问题如图,最好能给详细过程 已有1人参与
|
||
|
|
|||
luoshh06铁虫 (小有名气)
|
|||
|
2楼2015-04-18 23:04:18
|
|
||
mygt_hit专家顾问 (职业作家)
|
|||
![]() |
|||
|
3楼2015-04-19 00:01:23
|
|
||
终之太刀—晓铁杆木虫 (著名写手)
数学爱好者
|
|||
![]() |
|||
|
4楼2015-04-19 02:08:06
|
|
||
![]() |
|||
|
5楼2015-04-19 02:47:49
|
|
||
luoshh06铁虫 (小有名气)
|
|||
|
6楼2015-04-19 10:58:16
|
|
||
luoshh06铁虫 (小有名气)
|
|||
|
7楼2015-04-19 10:59:25
|
|
||
feixiaolin荣誉版主 (文坛精英)
|
|||
|
8楼2015-04-22 07:32:01
|
|













回复此楼
,跪求

