| ²é¿´: 1623 | »Ø¸´: 9 | ||
[ÇóÖú]
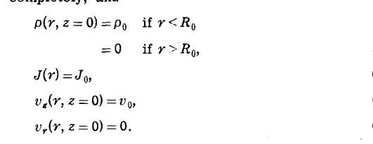
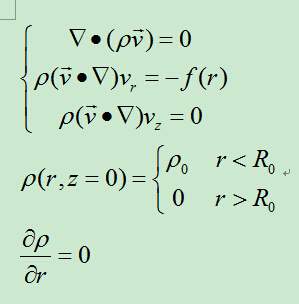
fluentÖÐÈçºÎ¶¨ÒåÃܶÈËæy·½Ïò±ä»¯ÂÊΪÁ㣿 ÒÑÓÐ3È˲ÎÓë
|
| ×öÁËÒ»¸öÊ®·Ö¼òµ¥µÄÄ£ÐÍ£¬¶øÇÒ½«ÃܶȹØÓÚy·½ÏòµÄ±ä»¯ÂÊÉèÖÃΪÁã²»±ä£¬µ«ÊÇʵÔÚû·¢ÏÖÕâ¸öÌõ¼þÓ¦¸ÃÔõôÔÚfluentÖÐÌåÏÖ£¿´ó¼ÒÓÐÓöµ½¹ýÀàËÆµÄÎÊÌâÂ𣿻¹Íû²»Áß´Í½Ì |
» ²ÂÄãϲ»¶
085600£¬²ÄÁÏÓ뻯¹¤321·Ö£¬Çóµ÷¼Á
ÒѾÓÐ13È˻ظ´
311Çóµ÷¼Á
ÒѾÓÐ8È˻ظ´
348Çóµ÷¼Á
ÒѾÓÐ3È˻ظ´
0805Çóµ÷¼Á
ÒѾÓÐ8È˻ظ´
266·Ö£¬Ò»Ö¾Ô¸µçÆø¹¤³Ì£¬±¾¿Æ²ÄÁÏ£¬Çó²ÄÁÏרҵµ÷¼Á
ÒѾÓÐ3È˻ظ´
385·Ö ÉúÎïѧ£¨071000£©Çóµ÷¼Á
ÒѾÓÐ6È˻ظ´
²ÄÁϵ÷¼Á
ÒѾÓÐ3È˻ظ´
Ò»Ö¾Ô¸±±½»´ó²ÄÁϹ¤³Ì×Ü·Ö358
ÒѾÓÐ9È˻ظ´
311Çóµ÷¼Á
ÒѾÓÐ12È˻ظ´
319Çóµ÷¼Á
ÒѾÓÐ11È˻ظ´
» ±¾Ö÷ÌâÏà¹Ø¼ÛÖµÌùÍÆ¼ö£¬¶ÔÄúͬÑùÓаïÖú:
¡¾ºóÐø¡¿FLUENT udfÈÃÃܶȵÈÎïÐÔ²ÎÊýËæÊ±¼ä±ä»¯Óöµ½ÎÊÌâºóÐø
ÒѾÓÐ28È˻ظ´
FluentÖÐUDF¶¨ÒåÃܶÈ
ÒѾÓÐ7È˻ظ´
fluentÖÐÖÜÆÚÔ˶¯±ß½çÈçºÎ¶¨Òå
ÒѾÓÐ8È˻ظ´
fluentÖУ¬Ê±¼äÏîºÍ¶ÔÁ÷ÏîΪÁãµÄ¿ØÖÆ·½³ÌÐÎʽ£¬ÔõÑùÓÃUDF¶¨ÒåÄØ£¿
ÒѾÓÐ7È˻ظ´
fluentÖÐÏà±ä¹ý³ÌÔõÑùÉèÖùÌÒºÃܶÈ
ÒѾÓÐ10È˻ظ´
FLUENT¹ÌÒºñîºÏ½çÃæÉèÖÃΪcoupleºó²»ÄÜÔÚÆäÉÏÉèÖÃÈÈÁ÷Ãܶȱ߽çÌõ¼þ
ÒѾÓÐ22È˻ظ´
fluentÖÐËæÉî¶È±ä»¯µÄº£Ë®ÃܶȵÄÊäÈëÎÊÌâ
ÒѾÓÐ3È˻ظ´
FluentÖÐUDF×Ô¶¨ÒåÁËÒ»¸öÈÈÁ÷ÃܶÈ
ÒѾÓÐ12È˻ظ´
fluent ËæÎ»Öñ仯µÄÈÈÁ÷ÃܶÈÔõôÉèÖÃ
ÒѾÓÐ6È˻ظ´
fluentÖеÄÌåÈÈÔ´¼ÓÔØÎÊÌ⣨ʵ¼ÊÉÏÊÇÈÈÁ÷Ãܶȣ¬²»ÊÇÈÈÉú³ÉÂÊ£©
ÒѾÓÐ19È˻ظ´
µç´Å²¨µÄµç³¡·ÖÁ¿ºÍ´Å³¡·ÖÁ¿Ïàλ¹ØÏµ
ÒѾÓÐ16È˻ظ´
fluent ÖÐ×Ô¶¨ÒåÃܶȵÄÎÊÌâ
ÒѾÓÐ9È˻ظ´
¡¾ÇóÖú¡¿fluent¶þάģÐÍÖÐÈÈÁ÷ÃܶȵÄÉèÖÃ
ÒѾÓÐ12È˻ظ´
¡¾ÇóÖú¡¿ÔÚfluentÖÐÈçºÎ¶¨Òå¶àÖÖ²ÄÁÏÊôÐÔ
ÒѾÓÐ15È˻ظ´
achilFes1990
ľ³æ (ÖøÃûдÊÖ)
- Ó¦Öú: 363 (˶ʿ)
- ½ð±Ò: 5307.5
- ºì»¨: 21
- Ìû×Ó: 1400
- ÔÚÏß: 197.1Сʱ
- ³æºÅ: 1115537
- ×¢²á: 2010-10-07
- ÐÔ±ð: GG
- רҵ: º£Ñ󹤳Ì

2Â¥2015-04-13 21:57:12
3Â¥2015-04-13 23:02:47
achilFes1990
ľ³æ (ÖøÃûдÊÖ)
- Ó¦Öú: 363 (˶ʿ)
- ½ð±Ò: 5307.5
- ºì»¨: 21
- Ìû×Ó: 1400
- ÔÚÏß: 197.1Сʱ
- ³æºÅ: 1115537
- ×¢²á: 2010-10-07
- ÐÔ±ð: GG
- רҵ: º£Ñ󹤳Ì

4Â¥2015-04-14 00:28:24
5Â¥2015-04-14 15:02:46
6Â¥2015-04-14 15:18:15
achilFes1990
ľ³æ (ÖøÃûдÊÖ)
- Ó¦Öú: 363 (˶ʿ)
- ½ð±Ò: 5307.5
- ºì»¨: 21
- Ìû×Ó: 1400
- ÔÚÏß: 197.1Сʱ
- ³æºÅ: 1115537
- ×¢²á: 2010-10-07
- ÐÔ±ð: GG
- רҵ: º£Ñ󹤳Ì

7Â¥2015-04-14 15:44:50
8Â¥2015-04-14 16:18:42
tjushang
¾èÖú¹ó±ö (ÕýʽдÊÖ)
- Ó¦Öú: 56 (³õÖÐÉú)
- ½ð±Ò: 6987
- É¢½ð: 1980
- ºì»¨: 21
- Ìû×Ó: 618
- ÔÚÏß: 181.8Сʱ
- ³æºÅ: 2457364
- ×¢²á: 2013-05-10
- ÐÔ±ð: GG
- רҵ: ȼÉÕѧ
¡¾´ð°¸¡¿Ó¦Öú»ØÌû
¡ï ¡ï ¡ï
¸Ðл²ÎÓ룬ӦÖúÖ¸Êý +1
±¼ÅÜÓã: ½ð±Ò+3, ¡ïÓаïÖú, ÎÒÒ²ÖªµÀÓÐÕâ¸öÌݶȰ¡¡£¡£¡£µ«ÊÇÔÚÕâÀïÔõô¶¨Òå¾Í²»ÖªµÀÁË¡£¡£¡£ÄѵÀÊÇÉèÖóÉÀíÏëÆøÌ塣ȻºóÔÙADJUSTºêÖиüÐÂÈÃy·½ÏòÃܶÈÌݶÈ=0£¿ 2015-04-14 21:48:22
¸Ðл²ÎÓ룬ӦÖúÖ¸Êý +1
±¼ÅÜÓã: ½ð±Ò+3, ¡ïÓаïÖú, ÎÒÒ²ÖªµÀÓÐÕâ¸öÌݶȰ¡¡£¡£¡£µ«ÊÇÔÚÕâÀïÔõô¶¨Òå¾Í²»ÖªµÀÁË¡£¡£¡£ÄѵÀÊÇÉèÖóÉÀíÏëÆøÌ塣ȻºóÔÙADJUSTºêÖиüÐÂÈÃy·½ÏòÃܶÈÌݶÈ=0£¿ 2015-04-14 21:48:22
| C_R_G(c,t)£¬C_R_RG(c,t)£¬Õâ¸öÔÚUDFÖв»¾Í´ú±íÃܶȵÄÌݶÈÂð£¬Ò»¸öÊÇdensity gradientÒ»¸öÊÇreconstruction density gradient£¬¶¼ÊÇʸÁ¿£¬x·½ÏòµÄ»°¾ÍÊÇC_R_G(c,t)[0]¡£Ò²²»ÖªµÀºóÕßÊÇʲôÒâ˼¡¡²»¹ýÖ»ÄÜÔÚdensity based solverÀïÃæÊ¹Óá£ÒÔÉ϶¼ÊÇ´ÓUDF_ManualÀï¿´µÄ¡£ |

9Â¥2015-04-14 16:59:17
cheersend
ÖÁ×ðľ³æ (ÖøÃûдÊÖ)
- Ó¦Öú: 74 (³õÖÐÉú)
- ½ð±Ò: 14702.2
- ºì»¨: 20
- Ìû×Ó: 1514
- ÔÚÏß: 558.1Сʱ
- ³æºÅ: 1496027
- ×¢²á: 2011-11-17
- רҵ: ´«ÈÈ´«ÖÊѧ
10Â¥2015-04-15 11:13:43














»Ø¸´´ËÂ¥