| 查看: 591 | 回复: 1 | ||
letianhan木虫 (著名写手)
|
[求助]
能带计算结果讨论已有1人参与
|
|
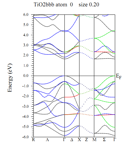
用wien2k计算能带结果如图:rutile TiO2 能带图是否正确?中间为何是虚的点连成的线? 还有一个是hex结构的wo3能带结果如图, 结果也有问题,中间断了,没有数据,此外还有竖着连在一起的线。 想知道原因在哪里?如何解决这类问题。 谢谢! TiO2 band.png hex WO3 band.png |
» 猜你喜欢
谈谈两天一夜的“延安行”
已经有15人回复
EST投稿状态问题
已经有6人回复
职称评审没过,求安慰
已经有15人回复
垃圾破二本职称评审标准
已经有11人回复
投稿Elsevier的Neoplasia杂志,到最后选publishing options时页面空白,不能完成投稿
已经有16人回复
毕业后当辅导员了,天天各种学生超烦
已经有4人回复
聘U V热熔胶研究人员
已经有10人回复
求助文献
已经有3人回复
投稿返修后收到这样的回复,还有希望吗
已经有8人回复
三无产品还有机会吗
已经有6人回复
» 本主题相关价值贴推荐,对您同样有帮助:
GW计算完毕,如何提取带隙值?
已经有9人回复
CASTEP计算半导体能带
已经有4人回复
关于HSE06静态计算和HSE06能带计算的几个讨论
已经有24人回复
能带计算的问题
已经有5人回复
在集群上如何算CASTEP 能带、态密度
已经有9人回复
计算二维材料的能带,高对称点应该怎么选?
已经有8人回复
CASTEP能带的输出
已经有12人回复
castep中怎么查看K点数目和能带数
已经有8人回复
Scopus里面查到的H指数计算结果可靠吗?
已经有4人回复
【求助】vasp计算Partial Charge,能带交叉的如何确定IBAND?
已经有13人回复
【求助】DLPOLY计算出来的结果,是否要编程才能分析?
已经有15人回复
【求助】siesta 计算DOS应该注意什么问题
已经有3人回复
【求助】castep计算的能带结构和态密度结果不一致的问题
已经有12人回复
【重点讨论】计算能带时如何确定高对称点和k-points path?
已经有40人回复
【求助】求态密度计算结果分析
已经有11人回复
【讨论】利用castep计算ZnO能带带隙 算过的看看
已经有20人回复
【求助】castep中的参数对计算结果有什么影响
已经有11人回复
【答案】应助回帖
★
感谢参与,应助指数 +1
liliangfang: 金币+1, 谢谢交流 2015-04-13 07:50:43
感谢参与,应助指数 +1
liliangfang: 金币+1, 谢谢交流 2015-04-13 07:50:43













回复此楼