版块导航
正在加载中...
客户端APP下载
论文辅导
申博辅导
登录
注册
帖子
帖子
用户
本版
应《网络安全法》要求,自2017年10月1日起,未进行实名认证将不得使用互联网跟帖服务。为保障您的帐号能够正常使用,请尽快对帐号进行手机号验证,感谢您的理解与支持!
24小时热门版块排行榜
>
论坛更新日志
(3989)
>
文献求助
(456)
>
虫友互识
(434)
>
导师招生
(314)
>
休闲灌水
(126)
>
考博
(124)
>
硕博家园
(114)
>
论文投稿
(104)
>
招聘信息布告栏
(98)
>
博后之家
(83)
>
绿色求助(高悬赏)
(62)
>
考研
(50)
>
SciFinder/Reaxys
(40)
>
基金申请
(39)
>
公派出国
(31)
>
外文书籍求助
(29)
小木虫论坛-学术科研互动平台
»
专业学科区
»
数学
»
工科数学
»
数学大神帮帮忙
2
1/1
返回列表
查看: 376 | 回复: 1
只看楼主
@他人
存档
新回复提醒
(忽略)
收藏
在APP中查看
zzrqyr
银虫
(小有名气)
应助: 3
(幼儿园)
金币: 257.3
散金: 65
红花: 2
帖子: 257
在线: 111.3小时
虫号: 2588234
注册: 2013-08-08
性别: GG
专业: 概率论与随机分析
[
求助
]
数学大神帮帮忙
已有1人参与
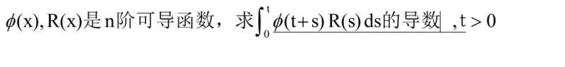
各位数学大神,帮忙算个数学求导,小弟在此谢谢大家了。
2015-04-12_121408.jpg
回复此楼
» 猜你喜欢
参与限项
已经有3人回复
假如你的研究生提出不合理要求
已经有7人回复
实验室接单子
已经有4人回复
全日制(定向)博士
已经有4人回复
对氯苯硼酸纯化
已经有3人回复
求助:我三月中下旬出站,青基依托单位怎么办?
已经有12人回复
不自信的我
已经有12人回复
所感
已经有4人回复
要不要辞职读博?
已经有7人回复
北核录用
已经有3人回复
» 本主题相关价值贴推荐,对您同样有帮助:
求哪位大神来帮我解决这个问题!!!!!
已经有4人回复
求大神解决ABC错误,谢谢
已经有3人回复
为了毕业急求结晶体,求大神们帮忙!!!!!!
已经有17人回复
小女想请教关于压片的问题,非常紧急,希望看到此贴的大神们帮帮忙啊!
已经有8人回复
求助各位药学大神!万分感谢
已经有8人回复
急求解单晶,求大神帮帮忙
已经有3人回复
求大神教我怎么解决这个问题,非常感谢
已经有4人回复
大家大神都过来帮帮忙啦,最后一哆嗦了,
已经有9人回复
AB错误修改,急求大神帮忙!!!
已经有4人回复
优势菌群是怎么定义的?请各位大神帮忙啊
已经有7人回复
关于差分递推的一个习题
已经有21人回复
数据关系的拟合
已经有9人回复
求大神帮忙解题啊!!!
已经有4人回复
额,最近老是被这个问题困扰,大神们,求助啊!!!!
已经有8人回复
数学的大神们,求解一个数学问题,大神们帮帮忙,小女子感激万分
已经有2人回复
哪位大神帮帮忙
已经有4人回复
chemistry an Asia Journal 投稿求助!投过的大神们帮帮忙啊
已经有5人回复
编程菜鸟求大神引导入门。
已经有14人回复
已知椭球体方程,求上面两点在椭球体上的距离...求大神们帮帮忙
已经有19人回复
大神来帮忙解释一下,上下两个图是什么意思
已经有10人回复
求大神帮忙解病态线性方程组
已经有5人回复
【求助】向高手请教数学期望的物理意义和几何意义
已经有8人回复
和大家一起学习交流
1楼
2015-04-12 12:17:36
已阅
回复此楼
关注TA
给TA发消息
送TA红花
TA的回帖
小凡下山
铁杆木虫
(著名写手)
应助: 158
(高中生)
金币: 5026.1
散金: 1000
红花: 26
帖子: 2321
在线: 7413.5小时
虫号: 3123127
注册: 2014-04-09
性别: GG
专业: 运筹与管理
【答案】应助回帖
★ ★ ★ ★ ★
感谢参与,应助指数 +1
zzrqyr: 金币+5,
★★★
很有帮助, 查到了,谢谢提醒
2015-04-12 15:41:15
这个需要用含参变量积分的求导公式,你自己查一下,很简单的
赞
一下
回复此楼
2楼
2015-04-12 12:42:02
已阅
回复此楼
关注TA
给TA发消息
送TA红花
TA的回帖
相关版块跳转
数理科学综合
机械
物理
数学
农林
食品
地学
能源
信息科学
土木建筑
航空航天
转基因
我要订阅楼主
zzrqyr
的主题更新
2
1/1
返回列表
如果回帖内容含有宣传信息,请如实选中。否则帐号将被全论坛禁言
普通表情
龙
兔
虎
猫
百度网盘
|
360云盘
|
千易网盘
|
华为网盘
在新窗口页面中打开自己喜欢的网盘网站,将文件上传后,然后将下载链接复制到帖子内容中就可以了。
信息提示
关闭
请填处理意见
关闭
确定