²é¿´: 1029  |  »Ø¸´: 5

DYH2009

гæ (СÓÐÃûÆø)

[ÇóÖú] ÓÐľÓÐС³æÓÑ£¬°ï°ïæ¡£ ÒÑÓÐ1È˲ÎÓë


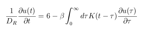
Õâ¸ö¹«Ê½ÓÐľÓÐÇó½â³ö¹ØÓÚU(t)µÄ½âÎö±í´ïʽµÄ£¿£¿£¿Ï£ÍûÊýѧ´óÅ£µÄ³æÓÑÃǰï°ï棡£¡

ÓÐľÓÐС³æÓÑ£¬°ï°ïæ¡£
I58VC2{8_[R_}JF%5SZR3PJ.png
»Ø¸´´ËÂ¥

» ²ÂÄãϲ»¶

» ±¾Ö÷ÌâÏà¹Ø¼ÛÖµÌùÍÆ¼ö£¬¶ÔÄúͬÑùÓаïÖú:

ÒÑÔÄ   »Ø¸´´ËÂ¥   ¹Ø×¢TA ¸øTA·¢ÏûÏ¢ ËÍTAºì»¨ TAµÄ»ØÌû

ÖÕ̫֮µ¶¡ªÏþ

Ìú¸Ëľ³æ (ÖøÃûдÊÖ)

Êýѧ°®ºÃÕß

¡¾´ð°¸¡¿Ó¦Öú»ØÌû

¸Ðл²ÎÓ룬ӦÖúÖ¸Êý +1
¼Çv=du/dt£¬Ôò·½³Ì±äΪ¹ØÓÚvµÄµÚ¶þÀàFredholm¾í»ýÐÍ»ý·Ö·½³Ì¡£
ʹÓÃLaplace±ä»»£¬Çó³öÏóº¯Êý£¬ÔÙ·´Ñݼ´¿É¡££¨ÐèÒª¸ø³övµÄ³õÖµÌõ¼þ£©
PreferenceforMathematics
2Â¥2015-04-09 12:54:03
ÒÑÔÄ   »Ø¸´´ËÂ¥   ¹Ø×¢TA ¸øTA·¢ÏûÏ¢ ËÍTAºì»¨ TAµÄ»ØÌû

DYH2009

гæ (СÓÐÃûÆø)

ÒýÓûØÌû:
2Â¥: Originally posted by ÖÕ̫֮µ¶¡ªÏþ at 2015-04-09 12:54:03
¼Çv=du/dt£¬Ôò·½³Ì±äΪ¹ØÓÚvµÄµÚ¶þÀàFredholm¾í»ýÐÍ»ý·Ö·½³Ì¡£
ʹÓÃLaplace±ä»»£¬Çó³öÏóº¯Êý£¬ÔÙ·´Ñݼ´¿É¡££¨ÐèÒª¸ø³övµÄ³õÖµÌõ¼þ£©

¿É²»¿ÉÒÔ²ÉÓÃÁ½±ßͬʱÇóµ¼ÄØ£¿£¿ µ«ÊÇÄÇÑùµÄ»°£¬×ó±ßÊǶÔtÇóµ¼£¬ÓÒ±ßÊǶÔ\auÇóµ¼£¬ ÕâÑùÊÇÊÇ·ñ¿ÉÐÐÄØ£¿
3Â¥2015-04-09 15:27:56
ÒÑÔÄ   »Ø¸´´ËÂ¥   ¹Ø×¢TA ¸øTA·¢ÏûÏ¢ ËÍTAºì»¨ TAµÄ»ØÌû

ÖÕ̫֮µ¶¡ªÏþ

Ìú¸Ëľ³æ (ÖøÃûдÊÖ)

Êýѧ°®ºÃÕß

¡¾´ð°¸¡¿Ó¦Öú»ØÌû

¡ï ¡ï ¡ï ¡ï ¡ï ¡ï ¡ï ¡ï ¡ï ¡ï ¡ï ¡ï ¡ï ¡ï ¡ï ¡ï ¡ï ¡ï ¡ï ¡ï ¡ï ¡ï ¡ï ¡ï ¡ï ¡ï ¡ï ¡ï ¡ï ¡ï ¡ï ¡ï ¡ï ¡ï ¡ï ¡ï ¡ï ¡ï ¡ï ¡ï ¡ï ¡ï ¡ï ¡ï ¡ï ¡ï ¡ï ¡ï ¡ï ¡ï
DYH2009(feixiaolin´ú·¢): ½ð±Ò+50 2015-05-02 06:38:27
ÒýÓûØÌû:
3Â¥: Originally posted by DYH2009 at 2015-04-09 15:27:56
¿É²»¿ÉÒÔ²ÉÓÃÁ½±ßͬʱÇóµ¼ÄØ£¿£¿ µ«ÊÇÄÇÑùµÄ»°£¬×ó±ßÊǶÔtÇóµ¼£¬ÓÒ±ßÊǶÔ\auÇóµ¼£¬ ÕâÑùÊÇÊÇ·ñ¿ÉÐÐÄØ£¿...

²ÉÓûý·Ö±ä»»¼´¿É¡£
ÓÐľÓÐС³æÓÑ£¬°ï°ïæ¡£-1
1.png

PreferenceforMathematics
4Â¥2015-04-10 02:55:15
ÒÑÔÄ   »Ø¸´´ËÂ¥   ¹Ø×¢TA ¸øTA·¢ÏûÏ¢ ËÍTAºì»¨ TAµÄ»ØÌû

DYH2009

гæ (СÓÐÃûÆø)

ллÁ˹þ£¡£¡
ÎÒ¿ªÊ¼Ò²ÊDzÉÓÃÕâÑùµÄ·½·¨£¬µ«ÊÇÓÉÓÚK£¨t£©Ì«¸´ÔÓÁË£¬²»Äܵõ½¾ßÌåµÄ½âÎö±í´ïʽ£¬Ö»Äܵõ½Ò»¶ÑÊý¾Ýµã£¬È»ºóÔÙ½øÐÐÊýÖµµÄÀ­ÆÕÀ­Ë¹±ä»»£¬Ôڱ任Öз¢ÏÖµ±ÓÉk¿Õ¼ä·µ»Øs¿Õ¼äʱ²»ÄܺÍÔ­À´µÄsÏàͬ£¬Òò´Ë½á¹ûÊDz»¿ÉÐŵģ¬ËùÒÔÎÒÏ£Íû¾ÍÄܹ»²ÉÈ¡±È½ÏÄܹ»È·ÐŵĽâÎö±í´ïʽ£¨ÎÄÏ×ÖоͿÉÒÔ½â³ö½âÎöµÄÐÎʽ£¬Òò´Ë»á¾õµÃÕâ¸ö·½°¸¿ÉÐУ©£¬
5Â¥2015-04-13 09:14:40
ÒÑÔÄ   »Ø¸´´ËÂ¥   ¹Ø×¢TA ¸øTA·¢ÏûÏ¢ ËÍTAºì»¨ TAµÄ»ØÌû

ÖÕ̫֮µ¶¡ªÏþ

Ìú¸Ëľ³æ (ÖøÃûдÊÖ)

Êýѧ°®ºÃÕß

ÒýÓûØÌû:
5Â¥: Originally posted by DYH2009 at 2015-04-13 09:14:40
ллÁ˹þ£¡£¡
ÎÒ¿ªÊ¼Ò²ÊDzÉÓÃÕâÑùµÄ·½·¨£¬µ«ÊÇÓÉÓÚK£¨t£©Ì«¸´ÔÓÁË£¬²»Äܵõ½¾ßÌåµÄ½âÎö±í´ïʽ£¬Ö»Äܵõ½Ò»¶ÑÊý¾Ýµã£¬È»ºóÔÙ½øÐÐÊýÖµµÄÀ­ÆÕÀ­Ë¹±ä»»£¬Ôڱ任Öз¢ÏÖµ±ÓÉk¿Õ¼ä·µ»Øs¿Õ¼äʱ²»ÄܺÍÔ­À´µÄsÏàͬ£¬Òò´Ë½á¹û ...

ÐèҪ¥Ö÷¸ø³öÎÄÏ×ÖеÄÇ󷨡£
¶ÔÓÚ»ý·Ö·½³Ì£¬Ò²¿ÉÒÔÖ±½ÓÊýÖµÇó½â¡£
Ò»°ã¶øÑÔ£¬½âÎö½âÌ«¹ýÀíÏ룬ʵ¼ÊÎÊÌ⼸ºõ²»¿ÉÄÜѰÇóÕâÑùÍêÃÀµÄ½âµÄ¡£
PreferenceforMathematics
6Â¥2015-04-13 10:17:50
ÒÑÔÄ   »Ø¸´´ËÂ¥   ¹Ø×¢TA ¸øTA·¢ÏûÏ¢ ËÍTAºì»¨ TAµÄ»ØÌû
Ïà¹Ø°æ¿éÌø×ª ÎÒÒª¶©ÔÄÂ¥Ö÷ DYH2009 µÄÖ÷Ìâ¸üÐÂ
×î¾ßÈËÆøÈÈÌûÍÆ¼ö [²é¿´È«²¿] ×÷Õß »Ø/¿´ ×îºó·¢±í
[¿¼ÑÐ] Ò»Ö¾Ô¸ËÕÖÝ´óѧ²ÄÁÏÇóµ÷¼Á£¬×Ü·Ö315£¨Ó¢Ò»£© +3 sbdksD 2026-03-19 3/150 2026-03-19 23:21 by fmesaito
[¿¼ÑÐ] 0856µ÷¼Á£¬ÊÇѧУ¾ÍÈ¥ +6 sllhht 2026-03-19 7/350 2026-03-19 19:50 by ÖÆ¶ÈµÄ
[¿¼ÑÐ] 288Çóµ÷¼Á£¬Ò»Ö¾Ô¸»ªÄÏÀí¹¤´óѧ071005 +5 ioodiiij 2026-03-17 5/250 2026-03-19 18:22 by zcl123
[¿¼ÑÐ] 321Çóµ÷¼Á +8 ºÎÈó²É123 2026-03-18 10/500 2026-03-19 16:46 by ºÎÈó²É123
[¿¼ÑÐ] 286Çóµ÷¼Á +6 lemonzzn 2026-03-16 10/500 2026-03-19 14:31 by lemonzzn
[¿¼ÑÐ] 281Çóµ÷¼Á£¨0805£© +9 ÑÌÏ«Ò亣 2026-03-16 19/950 2026-03-19 11:42 by laoshidan
[¿¼ÑÐ] ²ÄÁÏ080500µ÷¼ÁÇóÊÕÁô +4 Ò»¿Åmeteor 2026-03-13 4/200 2026-03-19 10:32 by 30660438
[¿¼ÑÐ] Ò»Ö¾Ô¸ÎäÀí²ÄÁÏ305·ÖÇóµ÷¼Á +5 ÏëÉϰ¶µÄÀðÓã 2026-03-18 6/300 2026-03-18 17:53 by Î޼ʵIJÝÔ­
[¿¼ÑÐ] 0854¿É¿çµ÷¼Á£¬Ò»×÷Ò»ÏîºËÐÄÂÛÎÄÎåÏîרÀû£¬Ê¡¡¢¹ú¼¶Ö¤Êé40+ÊýÒ»Ó¢Ò»287 +8 СÀî0854 2026-03-16 8/400 2026-03-18 14:35 by ²«»÷518
[¿¼²©] »·¾³ÁìÓòÈ«¹úÖØµãʵÑéÊÒÕÐÊÕ²©Ê¿1-2Ãû +3 QGZDSYS 2026-03-13 5/250 2026-03-18 11:13 by QGZDSYS
[¿¼ÑÐ] 265Çóµ÷¼Á +3 ÁºÁºÐ£Ð£ 2026-03-17 3/150 2026-03-18 09:12 by zhukairuo
[¿¼ÑÐ] 085601Çóµ÷¼Á +4 Du.11 2026-03-16 4/200 2026-03-17 17:08 by ruiyingmiao
[¿¼ÑÐ] Ò»Ö¾Ô¸£¬¸£ÖÝ´óѧ²ÄÁÏר˶339·ÖÇóµ÷¼Á +3 ľ×ÓmomoÇàÕù 2026-03-15 3/150 2026-03-17 07:52 by laoshidan
[¿¼ÑÐ] ҩѧ383 Çóµ÷¼Á +3 ҩѧchy 2026-03-15 4/200 2026-03-16 20:51 by Ôª×Ó^0^
[¿¼ÑÐ] 0703 ÎïÀí»¯Ñ§µ÷¼Á +3 ÎÒ¿ÉÒÔÉϰ¶µÄ¶Ô 2026-03-13 5/250 2026-03-16 10:50 by ÎÒ¿ÉÒÔÉϰ¶µÄ¶ÔÂ
[¿¼ÑÐ] 0703»¯Ñ§µ÷¼Á 290·ÖÓпÆÑо­Àú£¬ÂÛÎÄÔÚͶ +7 ÄåÄågk 2026-03-14 7/350 2026-03-16 10:12 by houyaoxu
[¿¼ÑÐ] ÇóÀÏʦÊÕÁôµ÷¼Á +4 jiang½ª66 2026-03-14 5/250 2026-03-15 20:11 by Winj1e
[¿¼ÑÐ] 080500£¬²ÄÁÏѧ˶302·ÖÇóµ÷¼ÁѧУ +4 ³õʶ¿ÉÀÖ 2026-03-14 5/250 2026-03-14 21:08 by peike
[¿¼ÑÐ] Öпƴó²ÄÁÏר˶319Çóµ÷¼Á +3 ÃÏöβÄÁÏ 2026-03-13 3/150 2026-03-14 18:10 by houyaoxu
[˶²©¼ÒÔ°] 085600 260·ÖÇóµ÷¼Á +3 Ìì¿Õ»¹ÏÂÓêô 2026-03-13 5/250 2026-03-13 18:46 by Ìì¿Õ»¹ÏÂÓêô
ÐÅÏ¢Ìáʾ
ÇëÌî´¦ÀíÒâ¼û