| 查看: 374 | 回复: 1 | |
[求助]
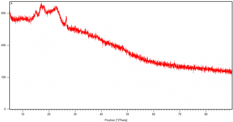
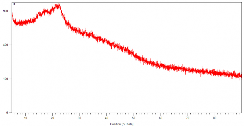
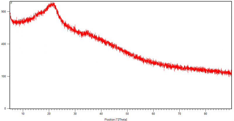
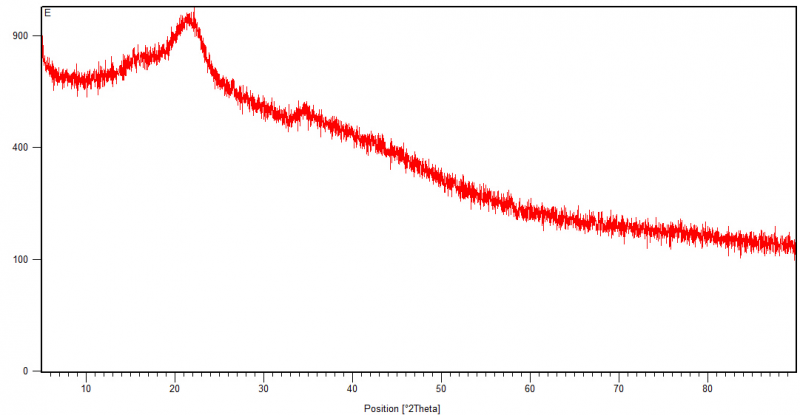
XRD图谱分析 已有1人参与
|
|
![]() |
|
|
|
|
vicky_lee铜虫 (小有名气)
|
|
![]() |
|
|
2楼2015-03-27 15:30:51
|
|












回复此楼