版块导航
正在加载中...
客户端APP下载
论文辅导
申博辅导
登录
注册
帖子
帖子
用户
本版
应《网络安全法》要求,自2017年10月1日起,未进行实名认证将不得使用互联网跟帖服务。为保障您的帐号能够正常使用,请尽快对帐号进行手机号验证,感谢您的理解与支持!
24小时热门版块排行榜
>
论坛更新日志
(3674)
>
虫友互识
(385)
>
文献求助
(374)
>
休闲灌水
(336)
>
导师招生
(248)
>
考博
(104)
>
招聘信息布告栏
(96)
>
博后之家
(96)
>
硕博家园
(74)
>
论文投稿
(65)
>
教师之家
(59)
>
基金申请
(56)
>
考研
(42)
>
外文书籍求助
(31)
>
公派出国
(31)
>
绿色求助(高悬赏)
(27)
小木虫论坛-学术科研互动平台
»
网络生活区
»
有奖问答
»
学术帮助
»
求origin的数据处理
3
1/1
返回列表
查看: 590 | 回复: 2
只看楼主
@他人
存档
新回复提醒
(忽略)
收藏
在APP中查看
ywh123
铁虫
(小有名气)
应助: 0
(幼儿园)
金币: 1433.8
散金: 100
帖子: 54
在线: 109.9小时
虫号: 3643368
注册: 2015-01-13
性别: GG
专业: 金属材料的力学行为
[
求助
]
求origin的数据处理
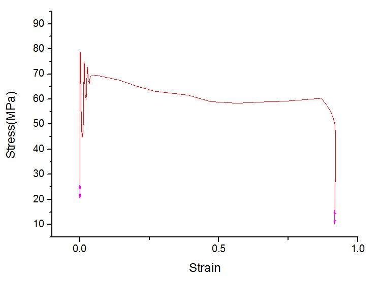
如图,我要把曲线剧烈波动的地方处理掉,变成一条平滑的曲线,在origin中该如何做?求达人指点
Capture.JPG
回复此楼
» 猜你喜欢
全日制(定向)博士
已经有5人回复
假如你的研究生提出不合理要求
已经有10人回复
萌生出自己或许不适合搞科研的想法,现在跑or等等看?
已经有4人回复
Materials Today Chemistry审稿周期
已经有4人回复
参与限项
已经有3人回复
实验室接单子
已经有4人回复
对氯苯硼酸纯化
已经有3人回复
求助:我三月中下旬出站,青基依托单位怎么办?
已经有12人回复
所感
已经有4人回复
要不要辞职读博?
已经有7人回复
» 本主题相关价值贴推荐,对您同样有帮助:
求助Origin8处理液相色谱图
已经有17人回复
Origin完成频谱分析
已经有8人回复
关于origin数据拟合方程后,求一个y值对应的x值
已经有7人回复
如何用Origin对一组对比数据进行标准化
已经有6人回复
origin 求助 多组数据 相同处理方法 批处理
已经有4人回复
origin绘图 三列数据范围不同Y 绘制同一张图中
已经有24人回复
求助一个origin8.0的问题
已经有18人回复
Origin数据处理问题求助
已经有7人回复
Matlab或origin 数据处理 求零点处的值
已经有4人回复
origin数据输入
已经有8人回复
用origin 软件平滑了数据算不算学术造假
已经有37人回复
如何用origin处理极化曲线数据,感激不尽
已经有6人回复
求助Origin怎么在图中显示数据点的具体值,谢谢!急!!!!!!!!
已经有8人回复
有关N2等温吸脱附曲线用origin进行数据处理方面的教程
已经有6人回复
【求助】关于origin处理实验数据的问题
已经有14人回复
【求助】Origin 8.0 数据太密了,怎么能自动删减一些点呢?
已经有14人回复
【求助】XRD数据如何在origin里作图?
已经有17人回复
【求助】质谱数据怎么用origin打开
已经有6人回复
【求助】origin都可以做什么?
已经有12人回复
【求助】用origin怎么做一次微分曲线
已经有12人回复
【求助】origin可以获得曲线上点的坐标吗
已经有9人回复
好好学习
1楼
2015-03-21 09:43:17
已阅
回复此楼
关注TA
给TA发消息
送TA红花
TA的回帖
a121323a
银虫
(小有名气)
应助: 0
(幼儿园)
金币: 474.8
帖子: 60
在线: 27.8小时
虫号: 2028054
注册: 2012-09-25
性别: GG
专业: 有机合成
【答案】应助回帖
不太懂楼主的意思,曲线是数据的直观表征,去掉变化剧烈的部分,就是要在book里将那部分数据去掉
赞
一下
回复此楼
2楼
2015-03-22 10:36:23
已阅
回复此楼
关注TA
给TA发消息
送TA红花
TA的回帖
鱼丸子
木虫
(正式写手)
应助: 10
(幼儿园)
金币: 2576.5
散金: 222
红花: 2
沙发: 1
帖子: 581
在线: 167.6小时
虫号: 1890863
注册: 2012-07-13
专业: 光学
【答案】应助回帖
改数据?如果只是前端波动的数据要处理掉的话 要么做傅里叶变化 要么直接删除波动的极值 话说楼主你确定修改数据就是你要的?要不在重新做多几次实验看看数据是不是都是这样子的 如果是再看看实验操作、条件有没有问题 再分析分析为什么出现这样的问题吧
赞
一下
回复此楼
3楼
2015-03-22 15:31:45
已阅
回复此楼
关注TA
给TA发消息
送TA红花
TA的回帖
相关版块跳转
休闲灌水
虫友互识
文学芳草园
育儿交流
竞技体育
有奖起名
有奖问答
健康生活
我要订阅楼主
ywh123
的主题更新
3
1/1
返回列表
如果回帖内容含有宣传信息,请如实选中。否则帐号将被全论坛禁言
普通表情
龙
兔
虎
猫
百度网盘
|
360云盘
|
千易网盘
|
华为网盘
在新窗口页面中打开自己喜欢的网盘网站,将文件上传后,然后将下载链接复制到帖子内容中就可以了。
信息提示
关闭
请填处理意见
关闭
确定