| 查看: 7003 | 回复: 34 | ||||||||||
| 本帖产生 1 个 PhEPI ,点击这里进行查看 | ||||||||||
wangkaibo123荣誉版主 (职业作家)
kerry
|
[交流]
《读懂天然产物》系列-16-皮氏反应催化生物碱合成的“神奇之旅”已有1人参与
|
|||||||||
|
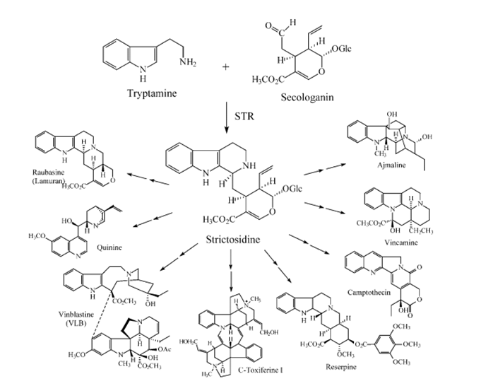
《读懂天然产物系列》(新年伊始,读懂天然产物系列作品将会陆续上传,虽有自娱自乐之说,但我们真切希望广大虫友们能积极参与进来,一起讨论、学习。欢迎各位虫友前往阅读、订阅及留言) 淘帖链接:http://muchong.com/bbs/taotie.php?action=view&ttid=55868 上一帖:《读懂天然产物系列》-15-基因与化学联姻:破译生物合成70年未解之谜 http://muchong.com/bbs/viewthread.php?tid=8506439&fpage=1 您的选择:《读懂天然产物系列》诚邀您撰写属于您自己的文献评论! 撰写链接: http://muchong.com/bbs/viewthread.php?tid=7732034&fpage=1 故事从1911年说起,在瑞士日内瓦大学,当两位著名的化学家Ame Pictet 和Theodor Spengler将-苯乙胺与甲醛缩二甲醇两种物质在盐酸条件下加热时,神奇的环加成反应发生了,这就是著名的皮氏反应(Pictet-Spengler Reaction,PSR).皮氏反应至发现以来,已有超过100年的历史,100多年来,即使到现在,该反应在异喹啉类及吲哚类生物碱的合成中都发挥了巨大的作用,为人类的医药事业发挥了不可估量的价值,可以说是最成功的合成反应之一。但是,在神奇的自然界,该反应则不止百年的历史,我们可以追溯到6000年以前,在那个时候,PS反应合成的重要生物碱--吗啡,则已然在自然界存在。人类利用吗啡作为药物,基本同步与人类文明的起源,埃及有明文记载:在3500年前,吗啡曾作为补药被人类食用。由此可见,自然界的卓越才华,远远超过了人类的智慧,我们完全有理由,有信心去探寻自然界中更多的化合物,更多的天然药物,发现更多有趣的有机催化反应。接下来,我将首先简单介绍催化PS反应的几种酶。 1. Strictosidine Synthases (STRs):这是发现并分离纯化得到的第一个催化PS反应的酶,与1975年由耶鲁大学的科学家发现,相关成果发表于A. I. Scott, S. L. Lee, J. Am. Chem. Soc.1975, 97, 6906 – 6908.(附件参考文献1)。这类酶主要催化单萜吲哚类生物碱的生物合成,迄今大约有2500多种此类型的单萜吲哚生物碱由此酶催化而得。该类酶的立体结构已经被确定,有多种亚型,相关文献见附件2,3。该酶催化的主要类型生物碱合成如下图。 2. Strictosidine Synthases (NCS):这是发现并分离纯化得到的第二个催化PS反应的酶,与STRs酶发现之后不久得到。这类酶主要催化异喹啉类生物碱的生物合成,至今发现大约有3000多种此类型的生物碱。该类酶的立体结构也已经被确定,相关文献见附件4。该酶催化的主要类型生物碱合成如下图。 3. non-ribosomal peptide synthetase SfmC:这是一种有开发潜力的抗癌药Saframycin A的生物合成酶,该化合物的形成需要该酶的催化,相关结果发表于Nature chemical biology(附件文献5)。该酶催化形成Saframycin A的途径如下图。 4 McbB:这是一种催化卡波林生物碱合成的酶,由南海海洋研究所鞠建华老师课题组鉴定发现,这是本次重点介绍的文献。文献信息(附件文献6): 卡波林生物碱亦是由PS反应催化而来,但是该类生物碱结构骨架没有单萜吲哚生物碱复杂,因此合成该类化合物的酶应不同于单萜吲哚生物碱,探测卡波林生物碱合成的酶将具有重要意义,本次实验结果也为卡波林生物碱的研究以及该类生物碱的合成提供重要的参考。 文章中主要是鉴定控制该类酶合成的基因簇,通过基因组成可以判断组成该酶的氨基酸是什么,但是,酶蛋白的三维立体结构并不能得到,还需广泛的实验进行进一步研究。文章中的卡波林类生物碱分离自深海海洋微生物,给基因簇的确定提供了可能。 文章中, 1、作者首先观察分离得到的生物碱的共同特征:芳香取代的乙胺基、不饱和的C环。则推测负责卡波林母核构建的酶应具有脱羧酶和脱氢或者氧化酶的活性,进而进行散弹法基因筛选,同时考虑到化合物1涉及酰胺键的合成,最终锁定DNA骨架中27号位置应该负责卡波林母核的构建。进而通过质粒异源性表达确定27号位置中11.2kb长度的DNA片段中包含13个开放性阅读框架的DNA片段负责MCB卡波林骨架的构建。2、通过基因突变的发酵实验,确定13个开放性框架中-7到-1,+1到+3均未参与催化作用,至此目标基因缩小至A,B,C 3个基因片段。基因信息学分析结合与已知基因功能比对,确定A为乙酰辅酶A连接酶,B为卡波林母核构建酶,C为脱羧酶。3、为了进一步验证ABC 3个酶足够进行MCB化合物的生合成,进行基因克隆实验,发酵分离,结果证实了3个酶足够进行卡波林母核的构建,同时确定酶B单独即可形成卡波林类化合物。但是母核构建时C3单元不能确定来自什么地方,作者推测可能来自丙酮酸类的直接的C3单元。4、用同位素标记的方法探索C3单元来自何处,一系列同位素培养实验最终证明C3单元来自二个乙酸单元。至此,实验还没有结束,作者又想探索酶B中哪些氨基酸为主要负责催化的活性氨基酸。5、进行基因突变发酵培养实验,结果证明酶B中的N-末端残基主要参与了骨架的构建,同时发现E97氨基酸残基是催化反应进行,必不可少的功能基团。6、到这儿,整个实验画个完美的句点,作者总结以上实验数据,提出了化合物1-6的生合成路线,见下图。同时,作者对各个反应进行思考总结,并于化学催化的PS反应进行比较,提出氧化反应为整个反应的限速步骤。整个实验思路明确,工作细致严谨,工作量大,确实为一篇非常优秀的科研性论文,值得深入学习。该文章同时扩展了卡波林生物碱的生物合成知识,也为探测新类型的含有卡波林母核的天然产物的发现提供了理论性指导。 讨论: 在阅读中,我注意到一个问题,STRs催化形成的是3S构型的产物,NCS催化形成S构型产物, non-ribosomal peptide synthetase SfmC亦催化形成立体单一性产物,但是在简单卡波林生物碱的合成中,则出现了消旋体的产物,如下图化合物3abcd(文献7)。请大家分析讨论为什么会出现这种情况,望不惜赐教。 以上即为本人对PS反应的简单看法,相关文献请见附件!由于个人水平有限,评论过程中一定有很多不足,请各位虫友见谅,并提出宝贵意见,谢谢![ Last edited by wangkaibo123 on 2015-3-12 at 22:10 ] |
» 本帖附件资源列表
-
欢迎监督和反馈:小木虫仅提供交流平台,不对该内容负责。
本内容由用户自主发布,如果其内容涉及到知识产权问题,其责任在于用户本人,如对版权有异议,请联系邮箱:xiaomuchong@tal.com - 附件 1 : 1_JACS_1975_ja00856a073.pdf
- 附件 2 : 2_Plant_Cell-2006-Ma-907-20.pdf
- 附件 3 : 3_Nature_chemical_biology_2007_PS反应.pdf
- 附件 4 : 4_Angew_2011__Pictet–Spengler_Reaction.pdf
- 附件 5 : 5_Nature_chemical_biology_2010_PS反应构建异喹啉类生物碱.pdf
- 附件 6 : 6_Angew_2014_鞠建华_卡波林生物碱生物合成研究_SI.pdf
- 附件 7 : 6_Angew_2014_鞠建华_卡波林生物碱生物合成研究.pdf
- 附件 8 : 7_s10593-014-1602-4_.pdf
2015-03-12 22:09:04, 360.15 K
2015-03-12 22:09:06, 616.53 K
2015-03-12 22:09:07, 755.3 K
2015-03-12 22:09:16, 3.46 M
2015-03-12 22:09:17, 366.75 K
2015-03-12 22:09:24, 3.34 M
2015-03-12 22:09:28, 807.15 K
2015-03-12 22:09:32, 821.82 K
» 收录本帖的淘帖专辑推荐
《读懂天然产物系列》 | 药物化学 | 奶奶的 | 音乐的梦 |
工具书 |
» 本帖已获得的红花(最新10朵)
» 猜你喜欢
请问哪里可以有青B申请的本子可以借鉴一下。
已经有3人回复
真诚求助:手里的省社科项目结项要求主持人一篇中文核心,有什么渠道能发核心吗
已经有3人回复
孩子确诊有中度注意力缺陷
已经有14人回复
三甲基碘化亚砜的氧化反应
已经有4人回复
请问下大家为什么这个铃木偶联几乎不反应呢
已经有5人回复
请问有评职称,把科研教学业绩算分排序的高校吗
已经有5人回复
2025冷门绝学什么时候出结果
已经有3人回复
天津工业大学郑柳春团队欢迎化学化工、高分子化学或有机合成方向的博士生和硕士生加入
已经有4人回复
康复大学泰山学者周祺惠团队招收博士研究生
已经有6人回复
AI论文写作工具:是科研加速器还是学术作弊器?
已经有3人回复
» 本主题相关商家推荐: (我也要在这里推广)
» 本主题相关价值贴推荐,对您同样有帮助:
《读懂天然产物系列》-27-天然产物在农业上的“平凡之路”
已经有429人回复
《读懂天然产物系列》-21-无用之用,方为大用?
已经有199人回复
《读懂天然产物系列》-19-天然产物发现之路,你走了多远
已经有134人回复
《读懂天然产物》系列-17-宿主与寄生菌的“爱情保养”-"小三"你走开
已经有2人回复
《读懂天然产物系列》第二季开帖篇(该系列 2016.01.02 已更新至第28帖)
已经有612人回复
《读懂天然产物系列》-13-中国化学会第十届全国天然有机化学学术会议风采展示
已经有629人回复
《读懂天然产物系列》-9-当我和世界不一样
已经有35人回复
《读懂天然产物系列》-5-”面朝大海,不只花开“-读一篇”龙“形天然产物文献
已经有558人回复
跟大家推荐个淘帖 《读懂天然产物系列》
已经有1人回复
《读懂天然产物系列》-3 中涉及的文献
已经有12人回复

pxh20111
至尊木虫 (职业作家)
- 应助: 1 (幼儿园)
- 金币: 12613.6
- 散金: 6136
- 红花: 35
- 沙发: 1
- 帖子: 4702
- 在线: 1401.1小时
- 虫号: 2360804
- 注册: 2013-03-19
- 性别: MM
- 专业: 催化化学

2楼2015-03-12 12:01:57
wangkaibo123
荣誉版主 (职业作家)
kerry
-

专家经验: +726 - PhEPI: 3
- 应助: 1928 (讲师)
- 贵宾: 0.598
- 金币: 7869.1
- 散金: 10156
- 红花: 100
- 帖子: 3780
- 在线: 1007.1小时
- 虫号: 2088618
- 注册: 2012-10-26
- 性别: GG
- 专业: 抗肿瘤药物药理
- 管辖: 药学

3楼2015-03-12 12:43:55
mlanqiang
木虫之王 (文学泰斗)
蓝博士
- 应助: 3409 (副教授)
- 金币: 55278.8
- 散金: 5498
- 红花: 62
- 帖子: 73916
- 在线: 730.8小时
- 虫号: 302202
- 注册: 2006-12-02
- 性别: GG
- 专业: 胶体与界面化学

4楼2015-03-12 12:59:56
★
送红花一朵
wangkaibo123: 金币+1 2015-03-12 15:51:00
送红花一朵wangkaibo123: 金币+1 2015-03-12 15:51:00
|
感谢分享 [ 发自手机版 http://muchong.com/3g ] |
5楼2015-03-12 13:02:40
792193347
铁杆木虫 (正式写手)
- 应助: 2 (幼儿园)
- 金币: 5069.8
- 散金: 77
- 红花: 1
- 帖子: 367
- 在线: 818小时
- 虫号: 1191734
- 注册: 2011-01-18
- 性别: GG
- 专业: 药物化学
6楼2015-03-12 14:10:06
二氯甲烷
金虫 (正式写手)
- 应助: 105 (高中生)
- 金币: 2190.7
- 散金: 1870
- 红花: 15
- 帖子: 538
- 在线: 120.7小时
- 虫号: 1337209
- 注册: 2011-07-04
- 性别: GG
- 专业: 天然药物化学

7楼2015-03-12 14:17:15
allen.tsui
金虫 (正式写手)
- PhEPI: 1
- 应助: 23 (小学生)
- 金币: 885.5
- 散金: 2868
- 红花: 24
- 帖子: 647
- 在线: 1040.9小时
- 虫号: 1214590
- 注册: 2011-02-26
- 性别: GG
- 专业: 天然药物化学
8楼2015-03-12 14:43:31
zhutao41
至尊木虫 (著名写手)
- PhEPI: 1
- 应助: 34 (小学生)
- 金币: 10262.3
- 散金: 3
- 红花: 27
- 帖子: 2178
- 在线: 331.1小时
- 虫号: 3030455
- 注册: 2014-03-09
- 性别: GG
- 专业: 化学生物学与生物有机化学
9楼2015-03-12 15:12:30
wangkaibo123
荣誉版主 (职业作家)
kerry
-

专家经验: +726 - PhEPI: 3
- 应助: 1928 (讲师)
- 贵宾: 0.598
- 金币: 7869.1
- 散金: 10156
- 红花: 100
- 帖子: 3780
- 在线: 1007.1小时
- 虫号: 2088618
- 注册: 2012-10-26
- 性别: GG
- 专业: 抗肿瘤药物药理
- 管辖: 药学

10楼2015-03-12 15:42:58













回复此楼


学习了