| ²é¿´: 7184 | »Ø¸´: 75 | ||||||||||
| ±¾Ìû²úÉú 1 ¸ö PhEPI £¬µã»÷ÕâÀï½øÐв鿴 | ||||||||||
yylkmbÌú³æ (ÕýʽдÊÖ)
|
[½»Á÷]
¡¶¶Á¶®ÌìÈ»²úÎïϵÁС·-15-»ùÒòÓ뻯ѧÁªÒö£ºÆÆÒëÉúÎïºÏ³É70Äêδ½âÖ®ÃÕ
|
|||||||||
|
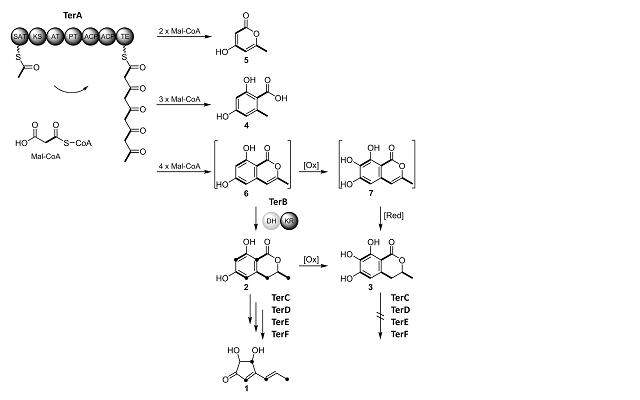
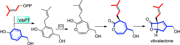
ÎÄÏ×£º Jack Davison, Ahmed al Fahad, Menghao Cai, Zhongshu Song, Samar Y. Yehia, Colin M. Lazarus, Andrew M. Bailey, Thomas J. Simpson, and Russell J. Cox. Genetic, molecular, and biochemical basis of fungal tropolone biosynthesis[J]. Proc. Natl. Acad. Sci. U.S.A. 2012, 109, 7642. Ò».Ñо¿±³¾°£º 1. Õæ¾úÍзÓͪ£¨tropolone£©À໯ºÏÎïµÄ·ÖÀ룬½á¹¹¼ø¶¨¼°ÉúÎï»îÐÔ 1942ÄêHarold RaistrickµÈÈËÊ״δÓÒ»ÖÖÇàù¾ú£¨Penicillium stipitatum£©ÖзÖÀëµÃµ½stipitatic acid 1£¨Ãܼ·ÇàùËᣩ£¬ÓÉÓڸû¯ºÏÎï½á¹¹µÄÌØÊâÐԺ͵±Ê±µÄÓлú»¯Ñ§µÄÀíÂÛ¼°ÊµÑéÌõ¼þµÄ¾ÖÏÞÐÔ£¬½á¹¹²¢Î´È·¶¨¡£Ö±µ½1945Ä꣬Michael DewarµÈÈËÈ·¶¨Á˸û¯ºÏÎïµÄ½á¹¹£¬²¢ÃüÃûÕâÀà·Ç±½µÄÆßÔª»··¼Ïã×廯ºÏÎïΪÍзÓͪ£¨tropolone£©¡£ÕâÀ໯ºÏÎïµÄ·¢Ïֺͽṹȷ¶¨ÓÐÁ¦µÄÍÆ¶¯ÁËËæºóµÄÓлú»¯Ñ§ÀíÂ۵ķ¢Õ¹¡£ÔÚÒѾ·ÖÀëµÃµ½µÄÕâÀ໯ºÏÎïÖÐpuberulic acid 2¾ßÓкܺõĿ¹Å±Ôª³æ»îÐÔ£¨IC50 10 ng•mL −1£©£¬ÊÇÒ»ÀàDZÔڵĿ¹Å±Ò©Îï¡£ F1.large.jpg 2.ǰÆÚµÄÉúÎïºÏ³ÉÑо¿£º 1.1950Ä꣬Robert RobinsonÍÆ²âÍзÓͪÉúÔ´ÉÏ¿ÉÄÜÀ´Ô´ÓÚ¶àôÇ»ù·ÓÀàºÍ¼×È©(»òÕßÉúÔ´Éϵȼ۵ĵ¥Ôª)µÄËõºÏ¡£ 2.1963Ä꣬Ronald BentleyÀûÓÃ14C±ê¼ÇµÄÍ¬Î»ËØËÇιʵÑéÈ·¶¨»¯ºÏÎï1µÄÉúÎïºÏ³ÉµÄǰÌåÊÇ´×Ëᣬ±û¶þËáºÍÒ»¸öһ̼µ¥Ôª¡£ËæºóµÄÑо¿±íÃ÷»¯ºÏÎï3ÊÇ»¯ºÏÎï1ÉúÎïºÏ³ÉÖеÄǰÌå¡£ 3.Îȶ¨Í¬Î»Ëرê¼ÇʵÑé±íÃ÷£¬ÔÚÀ©»·ÐγÉÍзÓͪ¹Ç¼ÜµÄ¹ý³ÌÖÐÓÐÒ»¸öÀ´Ô´ÓÚ¿ÕÆøÖÐÑõÆøµÄÑõÔ×ÓÒýÈëµ½¸Ã·Ö×ÓÖС£Õâ¸öʵÑé½á¹ûÓëÍÆ²âµÄ±½»·Í¨¹ýË«Ñõ»¯¿ª»·ÔÙ»·»¯ÐγÉÍзÓͪ¹Ç¼ÜµÄ»úÀí£¨route B, Scheme 1£©Ïàì¶Ü¡££¨Èç¹ûÊÇË«Ñõ»¯£¬Ôò·Ö×ÓÖÐÓ¦¸Ã³öÏÖÁ½¸öÀ´Ô´ÓÚÑõÆøµÄÑõÔ×Ó£©¡£Òò´Ë¿ÉÄܵĻúÀíÖ»ÓÐÒ»ÖÖ£¬»¯ºÏÎï3ͨ¹ýÑõ»¯È¥·¼¹¹»¯ÐγÉÖмäÌ廯ºÏÎï4£¬ÔÙ¾¹ýpinacolÖØÅÅÐγɻ¯ºÏÎï1(route A, Scheme 1)¡£ 4.ÂÛÎÄ×÷ÕßʵÑéÊÒ×î½üµÄÒ»ÏîÑо¿±íÃ÷£¬»¯ºÏÎï3ÊÇÒ»ÖÖÕæ¾ú·Ç»¹ÔÐ;ÛͪºÏøµÄÖ±½Ó²úÎï¡£ ½ØÖÁµ½×÷Õß·¢±íÎÄÕÂʱ£¬¸ÃÀ໯ºÏÎïÉúÎïºÏ³ÉÖÐÀ©»·²½ÖèµÄ»úÀíÒÔ¼°¸ºÔð´ß»¯¸Ã²½ÖèµÄøÈÔÈ»²»Çå³þ£¬Õæ¾úÖÐͨ¹ýÑõ»¯À©»·ÐγÉÍзÓͪ¹Ç¼ÜµÄ»úÀíÈÔÈ»ÊÇÌìÈ»²úÎïÉúÎïºÏ³ÉÑо¿ÖÐÒ»¸öʱ¼ä×µÄ²»½âÖ®ÃÕ¡£ ¶þ£®Ñо¿ÄÚÈÝ: 1. Talaromyces stipitatusÖиºÔðÍзÓͪÀ໯ºÏÎïÉúÎïºÏ³ÉµÄ»ùÒò´ØµÄÈ·¶¨£º ǰÆÚµÄÉúÎïºÏ³ÉÑо¿ÒѾȷ¶¨»¯ºÏÎï3ÊÇÄ¿±ê»¯ºÏÎïÉúÎïºÏ³ÉµÄÖ±½ÓǰÌ壬¶ø×÷ÕßʵÑéÊÒÔÚÁíÍâÒ»ÏîÑо¿Öз¢ÏÖÀ´Ô´ÓÚAcremonium strictumµÄÒ»¸ö»ùÒòaspks1Äܹ»±àÂëºÏ³ÉÒ»ÀàNR-PKS(·Ç»¹ÔÐ;ÛͪºÏø)¸ºÔð´ß»¯ºÏ³É»¯ºÏÎï3. »ùÓÚ´ËÀûÓÃÉúÎïÐÅϢѧ·½·¨×÷Õß´Ó²útropoloneµÄTalaromyces stipitatus»ùÒò×éÖÐÕÒµ½ÁË4¸ö°üº¬Óëaspks1ÓнϸßͬԴÐÔ»ùÒòµÄ»ùÒò´Ø£¬¶ÔËüÃǾ¹ý½øÒ»²½µÄ·ÖÎö·¢ÏÖÆäÖÐÓÐÒ»¸ö»ùÒò´Ø(º¬ÓÐNR-PKS£¨tspks1£©»ùÒò)¿ÉÄÜÊǸºÔðÄ¿±ê»¯ºÏÎïÉúÎïºÏ³ÉµÄFig1£¬Ëæºóͨ¹ýtspks1µÄ»ùÒòÇóýºÍÒìÔ´±í´ïʵÑé֤ʵÁ˸ûùÒò´ØÈ·Êµ¸úÄ¿±ê»¯ºÏÎïµÄÉúÎïºÏ³ÉÓйء£´ÓFig1ÖÐAºÍBÖеÄÉ«Æ×ͼ¿ÉÒÔ¿´³ö£¬Ò°ÉúÐ͵ÄTalaromyces stipitatusÄܹ»²úÉútropoloneÀ໯ºÏÎï1£¬6£¬5£¬8£¨A£©£¬¶øÇóýÁËtspks1»ùÒòºóµÄ¾úÖê²»ÄܲúÉú¸ÃÀ໯ºÏÎB£©£¬ËµÃ÷tspks1»ùÒò¸úÄ¿±ê»¯ºÏÎïµÄÉúÎïºÏ³ÉÓйء£´ËÍâͨ¹ý½«tspks1»ùÒòÔÚAspergillus oryzaeÖбí´ï£¬·¢ÏÖ±í´ïÁËtspks1»ùÒòµÄAspergillus oryzae¾úÖêÄܹ»²úÉúÔʼ¾úÖê²»ÄܲúÉúµÄ»¯ºÏÎï3£¨E£©£¬Ö±½Ó˵Ã÷tspks1»ùÒòÄܹ»¸ºÔð´ß»¯ºÏ³É»¯ºÏÎï3. ×ÛºÏÌåÄڵĻùÒòÇóýºÍÌåÍâµÄÒìÔ´±í´ïʵÑé˵Ã÷Fig1ÖÐչʾµÄ»ùÒò´ØÊǸºÔðÄ¿±ê»¯ºÏÎïÉúÎïºÏ³ÉµÄ»ùÒò´Ø¡£ F2.large.jpg 2.»ùÒò¹¦ÄܵÄÈ·¶¨ ǰÆÚµÄÉúÎïºÏ³ÉÑо¿±íÃ÷£¬ÖмäÌ廯ºÏÎï3ת»¯³ÉÄ¿±ê»¯ºÏÎïµÄ·´Ó¦ÊÇÒ»ÀàÑõ»¯·´Ó¦¡£Òò´Ë´ß»¯¸ÃÀà·´Ó¦µÄøӦ¸ÃÊÇÒ»ÀàÑõ»¯Ã¸¡£¶ÔÇ°ÃæÈ·¶¨µÄ»ùÒò´ØÖеĻùÒò½øÐзÖÎö·¢ÏÖÓÐÈý¸ö×¢ÊÍΪÑõ»¯Ã¸µÄ»ùÒò£¨Fig1£©£¬·Ö±ðÊÇtsL1£¨FAD-dependent monooxygenase£©£¬tsL2£¨cytochrome P450 monooxygenase£©tsR5(non-heme iron dioxygenase). Òò´ËÍÆ²âÕâÈý¸ö»ùÒò¿ÉÄÜÊǸºÔðÑõ»¯À©»·²½ÖèµÄ»ùÒò£¬ÎªÁËÑéÖ¤ËüÃǵŦÄÜ×÷Õß·Ö±ð¶ÔÈý¸ö»ùÒò½øÐлùÒòÇóý²¢¶ÔÇóýºóµÄ¾úÖêµÄ·¢½ÍÒºµÄ»¯Ñ§³É·Ö½øÐзÖÎö¡£½á¹û·¢ÏÖ£º a. ÇóýÁËtsL1»ùÒòºóµÄ¾úÖê²»ÄܲúÉútropoloneÀ໯ºÏÎÔÚÆä·¢½ÍÒºÖлýÀÛÁË»¯ºÏÎï3ºÍ»¯ºÏÎï10£¬ËµÃ÷¸Ã»ùÒò¸úÑõ»¯À©»·²½ÖèÓйء£ b. ÇóýÁËtsR5»ùÒòºóµÄ¾úÖêͬÑù²»ÄܲúÉútropoloneÀ໯ºÏÎÔÚÆä·¢½ÍÒºÖлýÀÛÁË»¯ºÏÎï11£¬»¯ºÏÎï12£¬»¯ºÏÎï13£¬»¯ºÏÎï14£¬ËµÃ÷¸Ã»ùÒò¸úÑõ»¯À©»·²½ÖèÓйء£ c. ÇóýÁËtsL2»ùÒòºóµÄ¾úÖêÄܹ»²úÉú»¯ºÏÎï15ºÍ»¯ºÏÎï16£¬ËµÃ÷¸Ã»ùÒò¸úÑõ»¯À©»·Ã»¹ØÏµ¡£ F3.large.jpg ¸ù¾ÝÕâЩ½á¹û×÷ÕßÍÆ²âtsL1»ùÒò¿ÉÄܸºÔð´ß»¯»¯ºÏÎï3Ñõ»¯Éú³É»¯ºÏÎï11£¬¶øtsR5»ùÒò¿ÉÄܸºÔð´ß»¯»¯ºÏÎï11Ñõ»¯À©»·Éú³É»¯ºÏÎï15. tsL2ÓëÀ©»·²½Öèû¹ØÏµ£¬¶ø¿ÉÄܲÎÓëºóÐÞÊΡ£ÎªÁ˽øÒ»²½ÑéÖ¤ËüÃǵŦÄÜ×÷ÕßÓÖ¶ÔÕâЩ»ùÒò½øÐÐÁËÒìÔ´±í´ï£¬½á¹û·¢ÏÖÒìÔ´±í´ï»ñµÃµÄ´¿µÄtsL1±àÂëµÄµ°°×Äܹ»´ß»¯»¯ºÏÎï3ת»¯Éú³É»¯ºÏÎï11£¨Scheme3 B£©£¬¶øtsR5±àÂëµÄµ°°×Äܹ»´ß»¯»¯ºÏÎï11ת»¯Éú³É»¯ºÏÎï15£¨Scheme3 D£©.½áºÏ»ùÒòÇóýºÍÒìÔ´±í´ïʵÑ飬×÷ÕßÖ¤Ã÷ÁË´Ó·ÓÀ໯ºÏÎï3ת»¯µ½ÍзÓͪÀ໯ºÏÎï15µÄ¹ý³ÌÖÐÉæ¼°Á½²½Ã¸´ß»¯µÄ·´Ó¦£¬ÆäÖÐtsL1»ùÒò±àÂëµÄFAD-dependent monooxygenase¸ºÔð´ß»¯»¯ºÏÎï3Ñõ»¯È¥·¼¹¹»¯Ðγɻ¯ºÏÎï11£¬¶øtsR5»ùÒò±àÂëµÄnon-heme Fe(II)-dependent dioxygenase¸ºÔð´ß»¯»¯ºÏÎï11Ñõ»¯À©»·ÐγÉÍзÓͪÀ໯ºÏÎï15. F4.large.jpg Èý. ÌÖÂÛ: 1. tropA (tspks1)µÄ»ùÒòÇóýºÍÒìÔ´±í´ïʵÑéÖ¤Ã÷¸Ã»ùÒòÄܹ»±àÂëÒ»¸ömethylorcinaldehyde synthase (MOS)¡£ÔÚÃ×ÇúùÖбí´ïtropA (tspks1)»ùÒòʹµÃ¸Ã¾ú²úÉúÁËÁ½¸öÔʼ¾úÖê²»ÄܲúÉúµÄ»¯ºÏÎ»¯ºÏÎï3ºÍ»¯ºÏÎï9£¬ÆäÖл¯ºÏÎï3ÊÇÄ¿±ê»¯ºÏÎïÉúÎïºÏ³ÉµÄÖмäÌ壬¶ø»¯ºÏÎï9ÔÚ֮ǰµÄÑо¿Öз¢ÏÖÊÇT. stipitatusµÄ´úл²úÎ´ËÍâÒ²ÊÇA. strictum ¾úÖÐMOSµÄ¸±²úÎï¡£ 2. tropB£¨tsL1£©ºÍtropC£¨tsR5£©µÄ»ùÒòÇóýºÍÒìÔ´±í´ïʵÑé֤ʵÁËS c h e m e 1ÖÐÍÆ²âµÄÑõ»¯À©»·Í¾¾¶£¬µ«ÁîÈËÒâÍâµÄÊǸÃת»¯Êµ¼ÊÉϾ¹ýÁ½²½·´Ó¦Íê³É£¬Ê×ÏÈÓÉtsL1»ùÒò±àÂëµÄFAD-dependent monooxygenase¸ºÔð´ß»¯»¯ºÏÎï3Ñõ»¯È¥·¼¹¹»¯Ðγɻ¯ºÏÎï11£¬¶øºótsR5»ùÒò±àÂëµÄnon-heme Fe(II)-dependent dioxygenase¸ºÔð´ß»¯»¯ºÏÎï11Ñõ»¯À©»·ÐγÉÍзÓͪÀ໯ºÏÎï15¡£ 3.´ÓÇ°ÃæµÄÑо¿½á¹û¿ÉÒԵóö½áÂÛ£¬Õæ¾úÍзÓͪÀ໯ºÏÎïµÄÉúÎïºÏ³É×îÉÙÐèÒªÈý¸öø£ºÒ»¸ö¸ºÔðºÏ³ÉǰÌ廯ºÏÎï3µÄ·Ç»¹ÔÐ;ÛͪºÏø£¬Ò»¸öFADÒÀÀµµÄµ¥Ñõ»¯Ã¸£¬Ò»¸ö·Ç¶þ¼ÛÌúÀë×ÓÒÀÀµµÄË«Ñõ»¯Ã¸¡£»ùÓÚÕâ¸öÐÅÏ¢×÷Õß¶ÔÆäËûÒѾ¹«²¼»ùÒò×éµÄÕæ¾ú½øÐÐÉúÎïÐÅϢѧ·ÖÎö£¬·¢ÏÖ³¬¹ý10ÖÖÕæ¾úº¬ÓÐÍÆ²âµÄ¸ºÔðºÏ³ÉÍзÓͪÀ໯ºÏÎïµÄ»ùÒò´Ø£¨Table 1£©£¬ÕâÎªËæºóµÄͨ¹ý»ùÒòÍÚ¾ò»ñµÃÕâÀ໯ºÏÎïÌṩÁËÒ»¸öºÜºÃµÄÒÀ¾Ý¡£ 4..±¾ÊµÑéÖеÄÑо¿½á¹û»¹¶ÔÆäËûÕæ¾úÀ´Ô´µÄÌìÈ»²úÎïµÄÉúÎïºÏ³É;¾¶µÄ½âÎöÓÐÖØÒªÒâÒå¡££¨Scheme 5£© δÃüÃû.JPG F6.large.jpg ËÄ.ÆÀÊö£º ÕâÆªÎÄÕµÄÑ¡Ìâ·Ç³£ºÃ£¬Ä¿±ê»¯ºÏÎïµÄ½á¹¹ÐÂÓ±£¬»îÐԺã¬ÓкܺõÄǰÆÚÑо¿»ù´¡²¢ÇÒ¾ßÓÐDZÔÚµÄÓ¦ÓüÛÖµ¡£Ñо¿Ë¼Â·ÇåÎú£¬ÊµÑéÖ¤¾Ý³ä·ÖÊǽüÄêÀ´ÉúÎïºÏ³ÉÑо¿ÖеľµäÎÄÏ×Ö®Ò»¡£ 1.ǰÌ廯ºÏÎï3¼°Æä¸ºÔð¸Ã»¯ºÏÎïÉúÎïºÏ³ÉµÄNR-PKS»ùÒòµÄÈ·¶¨ÊǸÃÑо¿³É¹¦µÄ¹Ø¼ü¡£ ΢ÉúÎïÖиºÔð´ÎÉú´úл²úÎïÉúÎïºÏ³ÉµÄ»ùÒò³É´Ø·Ö²¼µÄÏÖÏóÊǽüÄêÀ´¸ÃÁìÓòÑо¿È¡µÃÍ»ÆÆÐÔ½øÕ¹µÄ×îÖ÷ÒªµÄÔÒò¡£Í¨³£ÔÚÑо¿¹ý³ÌÖиù¾ÝÄ¿±ê»¯ºÏÎï½á¹¹ÌØÕ÷£¬Ê×ÏÈÍÆ²â¸ºÔðÄ¿±ê»¯ºÏÎï¹Ç¼ÜºÏ³ÉµÄ»ùÒò£¬È»ºó¸ù¾Ý¸Ã»ùÒòÈ·¶¨³ö»ùÒò´Ø£¬×îºóÀûÓûùÒòÇóýºÍÒìÔ´±í´ïµÈʵÑéÈ·¶¨»ùÒò´ØÖе¥¸ö»ùÒòµÄ¹¦ÄÜ¡£ÔÚ³£¼ûµÄ¾Ûͪ£¨PKS£©ºÍ·ÇºËÌÇÌå¶àëÄ£¨NRPS£©À໯ºÏÎïµÄÉúÎïºÏ³ÉÑо¿ÖУ¬ÓÉÓÚÓкܺõÄǰÆÚ»ù´¡Ä¿Ç°ÒѾ¿ÉÒÔ¸ù¾Ý»¯ºÏÎï½á¹¹ÌØÕ÷ÍÆ²â³ö¸ºÔð¸Ã»¯ºÏÎïÉúÎïºÏ³ÉµÄøµÄÀàÐÍ£¬½ø¶ø¸ù¾ÝÉúÎïÐÅϢѧ·ÖÎöÍÆ²â³ö¿ÉÄܵĻùÒò¡£ÔÚ±¾Ñо¿ÖÐÄ¿±ê»¯ºÏÎï½á¹¹ÖÐÍзÓͪ¹Ç¼Ü±È½ÏÐÂÓ±£¬ÆäÉúÎïºÏ³ÉûÓпÉÓõÄøѧºÍ»ùÒò·½ÃæµÄ¶«Î÷²Î¿¼£¬Òò´ËÍÆ²â»ùÒòºÜÀ§ÄÑ¡£¶ø»¯ºÏÎï3ÊÇÒ»¸öµäÐ͵ķǻ¹ÔÐ;Ûͪ£¬´ËÍâǰÆÚµÄÑо¿ÒѾȷ¶¨Á˸ºÔð¸Ã»¯ºÏÎïÉúÎïºÏ³ÉµÄ»ùÒò¡£½áºÏ»¯ºÏÎï3ÊÇÄ¿±ê»¯ºÏÎïÉúÎïºÏ³É¹ý³ÌÖеÄǰÌ壬ÀûÓÃÉúÎïÐÅϢѧ·½·¨×÷ÕߺÜÈÝÒ×ÕÒµ½Á˸ºÔðÄ¿±ê»¯ºÏÎïÉúÎïºÏ³ÉµÄ»ùÒò´Ø¡£Ö®ºóµÄÑо¿Ö»ÐèÒª°´ÕÕ³£¹æµÄ·½·¨½øÐС£ 2.ÒÅ´«²Ù×÷µÄÊìÁ·Ó¦ÓÃÊǸÃÑо¿³É¹¦µÄÓÐÁ¦±£ÕÏ: ³ýÁËÇ°ÃæÌáµ½µÄ»ùÒò³É´Ø·Ö²¼£¬ÓëÖ²ÎïÏà±È΢ÉúÎïÉúÎïºÏ³ÉÈÝÒ×Ñо¿µÄÁíÒ»¸öÔÒò¾ÍÊÇÒÅ´«²Ù×÷Ïà¶Ô³ÉÊì¼òµ¥¡£Ä¿Ç°»ùÒòÇóýÊÇÉúÎïºÏ³ÉÑо¿ÖÐ×î³£ÓÃÒ²ÊÇ×îºÃµÄÈ·¶¨»ùÒò¹¦Äܵķ½·¨¡£ÓëÔºËÉúÎïÏà±È±¾Ñо¿ÖÐÓõ½µÄË¿×´Õæ¾úµÄ»ùÒòÇóý¼¼ÊõÈÔÈ»Ï൱¸´ÔÓ£¬µ«×÷Õ߳ɹ¦µÄ¶Ô4¸ö±¸Ñ¡»ùÒò½øÐÐÁËÇóý¡£´ËÍ⣬¾ÛͪºÏøÊôÓÚ¹¦Äܸ´ÔӵĽϴ󵰰׺ÜÄÑÔڴ󳦸˾úºÍ½ÍĸÀïÃæ½øÐбí´ï£¬¶øÀûÓÃÃ×ÇúùµÈË¿×´Õæ¾ú¶ÔÕâÀ൰°×½øÐÐÒìÔ´±í´ïÊÇ×î½ü²Å¿ª·¢µÄ·½·¨£¬ºÜÐÒÔË×÷ÕßʵÑéÊÒÊÇÈ«ÊÀ½çΪÊý²»¶àÕÆÎոü¼ÊõµÄʵÑéÊÒÖ®Ò»£¬ËûÃdzɹ¦µÄ½«tropA (tspks1)»ùÒòÔÚÃ×ÇúùÖнøÐÐÁ˱í´ï²¢ÇÒÈ·¶¨Á˹¦ÄÜ 3.»ùÒòÇóýµÄ¾úÖê»ýÀÛµÄÖмä²úÎïµÄ·ÖÀë´¿»¯£¬½á¹¹¼ø¶¨±Ø²»¿ÉÉÙ£º ÌìÈ»²úÎïÉúÎïºÏ³ÉÑо¿ÊÇÒ»ÏîÉæ¼°µ½¶àѧ¿ÆµÄÑо¿£¬ÐèÒªÓõ½¶àÖÖʵÑé¼¼Êõ¡£ÕâÆäÖÐÖмäÌ廯ºÏÎĿ±ê»¯ºÏÎïµÄ·ÖÀë´¿»¯¼°½á¹¹¼ø¶¨ÊDZز»¿ÉÉٵġ£ÔÚ±¾Ñо¿ÖÐÇóýÁËtsL1»ùÒòºóµÄ¾úÖêÔÚ·¢½ÍÒºÖлýÀÛÁËÖмäÌ廯ºÏÎï3ºÍ»¯ºÏÎï10£¬ÇóýÁËtsR5»ùÒòºóµÄ¾úÖêÔÚ·¢½ÍÒºÖлýÀÛÁË»¯ºÏÎï11£¬»¯ºÏÎï12£¬»¯ºÏÎï13£¬»¯ºÏÎï14¡£ ʵÑéÖÐ×÷Õ߳ɹ¦·ÖÀëµÃµ½ÁËÕâЩÖмäÌ廯ºÏÎﲢȷ¶¨Á˽ṹ£¬Õâ¶ÔÓÚ±¸Ñ¡»ùÒòµÄ¹¦Äܼø¶¨ºÍÄ¿±ê»¯ºÏÎïÉúÎïºÏ³ÉµÄ;¾¶½âÎö±Ø²»¿ÉÉÙ¡£ 4.¹ØÓÚ±¾ÎĵÄͨѶ×÷ÕßRussell J. Cox£º Russell J. CoxÊÇÕæ¾ú´ÎÉú´úл²úÎïÉúÎïºÏ³ÉÑо¿ÁìÓòÖеĴóÅ£Ö®Ò»£¬ËäÈ»²»ÏñµÂ¹úHKIµÄChristian HertweckºÍScrippsµÄBradley MooreµÈÈËÄÇÑù¸ß²ú£¬µ«ÊÇËûµÄÑо¿ÓÐ×Ô¼ºµÄÌØÉ«¿ÉÒÔ¶ÀÊ÷Ò»ÖÄ£¬ºÜ¶àÑо¿µÄÑ¡Ìâ·Ç³£ÓÐÒâ˼±ÈÈçÕæ¾úÀ´Ô´µÄ¸ß¶È»¹ÔÐ;ÛͪºÏø£¨HR-PKS£©µÄ³ÌÐò»¯¿ØÖÆ»úÖÆµÄÑо¿£¬ÊµÑéÉè¼Æ·Ç³£¾«Ãî¡£½üÄêÀ´¹±Ï×ÁË¶àÆªÉúÎïºÏ³ÉÁìÓòµÄ¾µäÎÄÏ×£¬ÊDZ¾ÈË×î³ç°ÝµÄÉúÎïºÏ³ÉÁìÓòµÄ´óÅ£¡£¸ÐÐËȤµÄ³æÓÑ¿ÉÒÔÈ¥Ëû¿ÎÌâ×éÍøÕ¾¿´¿´£ºhttp://www.cox-group.uni-hannover.de/377.html£¬http://www.bris.ac.uk/chemistry/people/russell-j-cox/¡£ Îå.ÌÖÂÛ½»Á÷£º ·¼Ïã×廯ºÏÎï½á¹¹Öб½»·¹Ç¼Ü²¿·ÖÏà¶ÔÓÚÈ¡´ú»ùÏԵñȽÏÎȶ¨£¬Í¨³£ÎÒÃÇÈÏΪ¹Ç¼Ü²»ÈÝÒױ仯£¬Òò´ËÎÒÃÇÈÏΪ²úÉúÕâÀ໯ºÏÎï×îÖ÷ÒªµÄ;¾¶Ã§²ÝËá;¾¶ºÍ¾Ûͪ;¾¶²úÉúµÄ»¯ºÏÎïͨ³£¶¼ÊÇ·¼Ïã×廯ºÏÎïÈç±½±ûËØ£¬Ä¾Ö¬ËØ£¬»ÆÍªµÈ»¯ºÏÎȻ¶øÔÚÔçÆÚµÄÑо¿¹ý³ÌÖÐÈËÃǾͷ¢ÏÖ·¼»·ÓпÉÄÜͨ¹ý±¾ÉíµÄÀ©»·£¬Ëõ»·£¬¿ª»·µÈ·½Ê½²úÉú½á¹¹¶àÑùµÄ´ÎÉú´úл²úÎֻÊÇÕâЩÀíÂۺܶ඼ÊÇÍÆ²â£¬Ö±µ½½ñÌìÈÔȻȱ·¦ÊµÑéÖ¤¾Ý£¬±¾ÎĵÄÑо¿Îª±½»·Ñõ»¯À©»·ÐÎ³ÉÆßԪ̼»·À໯ºÏÎïÌṩÁ˺ܺõÄÖ¤¾Ý¡£ÎÒ¶Ô±½»·µÄ´úл¶àÑùÐԷdz£¸ÐÐËȤ£¬×Ô¼º×ܽá¹ýһЩ´ú±íÐÔµÄÀý×Ó£¬ÔÚÕâÌù³öÀ´Ò»Ð©Ï£Íû¸ÐÐËȤµÄ³æÓÑ»òÕßÑо¿ÖÐÅöµ½¹ýÕâÀ໯ºÏÎïµÄ¿ÉÒÔ½»Á÷Ï¡£ 1..±½»·Ñõ»¯À©»·ÐÎ³ÉÆßԪ̼»·£º ÕâÀ໯ºÏÎï±È½Ï³£¼û£¬³ýÁËÕâÆªÎÄÏ×ÖÐÌáµ½µÄ»¯ºÏÎﻹÓÐÇïË®Ïɼ 1.JPG 2.±½»·Ñõ»¯À©»·ÐÎ³ÉÆßÔªÑõÔÓ»·£º mcontent.gif 3.±½»·Ëõ»·ÐγÉÎåԪ̼»·»¯ºÏÎï δÃüÃû2.JPG 4.±½»·Ëõ»·ÐγÉÎåÔªÄÚõ¥»· ÓÉÓÚʱ¼ä¹ØÏµÏÈдÕâô¶à£¬Ï£Íû´ó¼ÒÄܹ»»ý¼«·ÖÏíÒ»ÏÂ×Ô¼ºÓöµ½»òÕß¿´µ½¹ýµÄÓйط¼»·´úл¶àÑùÐÔµÄÀý×Ó¡£[ Last edited by yylkmb on 2015-2-2 at 01:02 ] |
» ±¾Ìû¸½¼þ×ÊÔ´Áбí
-
»¶Ó¼à¶½ºÍ·´À¡£ºÐ¡Ä¾³æ½öÌṩ½»Á÷ƽ̨£¬²»¶Ô¸ÃÄÚÈݸºÔð¡£
±¾ÄÚÈÝÓÉÓû§×ÔÖ÷·¢²¼£¬Èç¹ûÆäÄÚÈÝÉæ¼°µ½ÖªÊ¶²úȨÎÊÌ⣬ÆäÔðÈÎÔÚÓÚÓû§±¾ÈË£¬Èç¶Ô°æÈ¨ÓÐÒìÒ飬ÇëÁªÏµÓÊÏ䣺xiaomuchong@tal.com - ¸½¼þ 1 : PNAS-2012-Davison-7642-7.pdf
- ¸½¼þ 2 : b708614h.pdf
2015-02-02 00:28:49, 4.28 M
2015-02-02 00:34:26, 237.48 K
» ÊÕ¼±¾ÌûµÄÌÔÌûר¼ÍƼö
¡¶¶Á¶®ÌìÈ»²úÎïϵÁС· | Ò©Îﻯѧ·½Ïò | ÓÐÓõĶ«Î÷ | INTERESTED |
¶Á¶®ÌìÈ»²úÎïϵÁÐ | ҩѧ | ÂÛÎÄд×÷¼°Í¶¸å |
» ±¾ÌûÒÑ»ñµÃµÄºì»¨£¨×îÐÂ10¶ä£©
» ²ÂÄãϲ»¶
Ò»Ö¾Ô¸±±½»´ó²ÄÁϹ¤³Ì×Ü·Ö358Çóµ÷¼Á
ÒѾÓÐ9È˻ظ´
286Çóµ÷¼Á
ÒѾÓÐ11È˻ظ´
Çóµ÷¼Á£¡ÉúÎïÓëҽҩר˶
ÒѾÓÐ6È˻ظ´
362Çóµ÷¼ÁÒ»Ö¾Ô¸ÖйúʯÓÍ´óѧ
ÒѾÓÐ4È˻ظ´
085600£¬321·ÖÇóµ÷¼Á
ÒѾÓÐ14È˻ظ´
²ÄÁϵ÷¼Á
ÒѾÓÐ4È˻ظ´
Ò»Ö¾Ô¸ÉúÎïÓëÒ½Ò©£¬296·Ö£¬Çóµ÷¼Á
ÒѾÓÐ11È˻ظ´
346·ÖµÄÉúÎïÓëÒ½Ò©08600Çóµ÷¼Á
ÒѾÓÐ7È˻ظ´
071000ÉúÎïѧµ÷¼Á
ÒѾÓÐ6È˻ظ´
Ò»Ö¾Ô¸Ö£ÖÝ´óѧ²ÄÁÏÓ뻯¹¤085600£¬Çóµ÷¼Á
ÒѾÓÐ25È˻ظ´
» ±¾Ö÷ÌâÏà¹ØÉ̼ÒÍÆ¼ö: (ÎÒÒ²ÒªÔÚÕâÀïÍÆ¹ã)
» ±¾Ö÷ÌâÏà¹Ø¼ÛÖµÌùÍÆ¼ö£¬¶ÔÄúͬÑùÓаïÖú:
¡¶¶Á¶®ÌìÈ»²úÎïϵÁС·-27-ÌìÈ»²úÎïÔÚũҵÉϵġ°Æ½·²Ö®Â·¡±
ÒѾÓÐ429È˻ظ´
¡¶¶Á¶®ÌìÈ»²úÎïϵÁС·-21-ÎÞÓÃÖ®Ó㬷½Îª´óÓã¿
ÒѾÓÐ199È˻ظ´
¡¶¶Á¶®ÌìÈ»²úÎïϵÁС·£19£ÌìÈ»²úÎï·¢ÏÖ֮·£¬Äã×ßÁ˶àÔ¶
ÒѾÓÐ134È˻ظ´
¡¶¶Á¶®ÌìÈ»²úÎïϵÁС·µÚ¶þ¼¾¿ªÌûƪ£¨¸ÃϵÁÐ 2016.01.02 ÒѸüÐÂÖÁµÚ28Ìû£©
ÒѾÓÐ612È˻ظ´
¡¶¶Á¶®ÌìÈ»²úÎïϵÁС·-13-Öйú»¯Ñ§»áµÚÊ®½ìÈ«¹úÌìÈ»Óлú»¯Ñ§Ñ§Êõ»áÒé·ç²Éչʾ
ÒѾÓÐ629È˻ظ´
¡¶¶Á¶®ÌìÈ»²úÎïϵÁС·-9-µ±ÎÒºÍÊÀ½ç²»Ò»Ñù
ÒѾÓÐ35È˻ظ´
¡¶¶Á¶®ÌìÈ»²úÎïϵÁС·-6- Ö²ÎïԴũҩÏÈÇý£¬¡°³ý³æ´óʦ¡±--ӡ鬯ª
ÒѾÓÐ92È˻ظ´
¡¶¶Á¶®ÌìÈ»²úÎïϵÁС·-5-¡±Ã泯´óº££¬²»Ö»»¨¿ª¡°-¶Áһƪ¡±Áú¡°ÐÎÌìÈ»²úÎïÎÄÏ×
ÒѾÓÐ558È˻ظ´
¸ú´ó¼ÒÍÆ¼ö¸öÌÔÌû ¡¶¶Á¶®ÌìÈ»²úÎïϵÁС·
ÒѾÓÐ1È˻ظ´
¡¶¶Á¶®ÌìÈ»²úÎïϵÁС·-3 ÖÐÉæ¼°µÄÎÄÏ×
ÒѾÓÐ12È˻ظ´
» ÇÀ½ð±ÒÀ²£¡»ØÌû¾Í¿ÉÒԵõ½:
ÕÐÊÕ˶ʿÑо¿Éú
+5/541
½ô¼±½ÓÊÕ¹âѧ¹¤³Ì²©Ê¿£¨¹âÏ˼¤¹âÆ÷/³¬¿ì¹âѧ/·ÇÏßÐÔ¹âѧ·½Ïò£©2026Äê9ÔÂÈëѧ
+1/181
»´±±Ê¦·¶´óѧ×ÊÔ´Óë»·¾³Ë¶Ê¿Ñо¿Éúµ÷¼ÁÃû¶î³ä×㣨26ÈË£©£¬»¶Óµ÷¼Á¡£
+2/148
¾Å½Ñ§ÔºÖÆÒ©¹¤³Ìרҵ˶ʿÄâ½ÓÊÕµ÷¼Á
+1/87
2026ÄêÄþ²¨¹¤³ÌѧԺ¶Å¿¡Ò㸱Ñо¿Ô±ÕÐÊÕ˶ʿÑо¿Éú£¨º¬µ÷¼Á£©
+1/49
2026ÄêºÓ±±´óѧÎÞ»ú»¯Ñ§×¨ÒµÕÐÊÕµ÷¼ÁÉú
+1/40
³£ÖÝ´óѧ»¯Ñ§¼°Ïà¹Ø×¨ÒµË¶Ê¿µ÷¼ÁÕÐÉúÐÅÏ¢
+1/35
¼ª´óÉú¿Æ²©Ò»²©Ê¿ÁªÅà×Ô¼ö-ÒÑ·¢±í+ÔÚͶһ×÷SCI3ƪ-̤ʵ¿Ï¸ÉÄܼӰà
+1/23
´óÁ¬¹¤Òµ´óѧ ¸ß·Ö×Ó²ÄÁÏ ½ÓÊÕ¿¼Ñе÷¼Á
+1/19
ÖйúÃñº½·ÉÐÐѧԺÏȽøÁ¬½ÓÍŶÓÕÐÊÕº½¿ÕÓ¡¢º½¿Õ»úеרҵ˶ʿÑо¿Éú£¨Ñ§Ë¶×¨Ë¶¾ù¿É£©
+1/18
´óÁ¬´óѧ »¯Ñ§×¨Òµ ÕÐÊÕ26Äê˶ʿÑо¿Éúµ÷¼Á
+1/16
ÖйúʯÓÍ´óѧ£¨±±¾©£©ÀíѧԺ2026Äê˶ʿÑо¿Éú½ÓÊÕµ÷¼ÁÉú£ºÎïÀí¡¢»¯Ñ§¡¢²ÄÁϵÈ
+1/12
ÖØÇì´óѧ΢µç×ÓÓëͨÐŹ¤³ÌѧԺÕÅÀÚ½ÌÊÚ¿ÎÌâ×éÕÐÊÕ2026¼¶²©Ê¿Ñо¿Éú£¨2026Äê9ÔÂÈëѧ£©
+1/12
ÖØÇ칤ÉÌ´óѧ ½ÌÓý²¿Ñо¿ÖÐÐÄÕÐÊÕ»¯¹¤/»·¾³/²ÄÁÏ/ʯÓÍ/»úе·½Ïò2026Äêµ÷¼ÁÑо¿Éú
+1/11
Ê×¶¼Ê¦·¶´óѧ»¯Ñ§ÏµÌïÑó¿ÎÌâ×éר˶Õе÷¼ÁÉú
+1/10
ËÕÖݿƼ¼´óѧºúÀÏʦ¿ÎÌâ×éÕÐ2026Äê˶ʿÉúÈô¸ÉÃû
+1/5
¼ÃÄÏ´óѧ2026Äê˶ʿÑо¿ÉúÕÐÉúÔ¤µ÷¼Á¹«¸æ
+1/5
ºþ±±Ê¦·¶´óѧÕе÷¼ÁÀ²
+1/2
ÕҺù¤×÷À´Õâ-¹ã¶«Î¨Ò»Ê¯»¯ÔºÐ£¡ª¡ª×ÊÔ´Óë»·¾³×¨Ë¶ÕÐÉú
+1/1
²îÂÃÊ×Ñ¡:µÚÒ»´Î³ö²îÖ麣¿ª×¡ËÞ²ÍÒû·¢Æ±ÊµÌåµêµç×ÓרÓÃ,±£Ä·¼¶½Ì³ÌÇëÊÕºÃ
+1/1
wangkaibo123
ÈÙÓþ°æÖ÷ (Ö°Òµ×÷¼Ò)
-

ר¼Ò¾Ñé: +726 - PhEPI: 3
- Ó¦Öú: 1928 (½²Ê¦)
- ¹ó±ö: 0.598
- ½ð±Ò: 7869.1
- Ìû×Ó: 3780
- ÔÚÏß: 1007.1Сʱ
- ³æºÅ: 2088618
¡ï
Сľ³æ: ½ð±Ò+0.5, ¸ø¸öºì°ü£¬Ð»Ð»»ØÌû
Ëͺ컨һ¶ä
Сľ³æ: ½ð±Ò+0.5, ¸ø¸öºì°ü£¬Ð»Ð»»ØÌû
Ëͺ컨һ¶ä |
·Ç³£¸Ðл¥Ö÷µÄ¾«²Ê׫д£¬µÄÈ·ÊǺܾµäµÄÉúÎïºÏ³ÉµÄºÃÎÄÕ¡£Äܹ»·ñ¶¨Ò»ÖÖÉúºÏ³É;¾¶£¬È»ºóÌá³öÒ»ÖÖ¸üºÏÀíµÄÉúºÏ³É;¾¶£¬²¢Í¨¹ýһϵÁеÄÍÆÀí£¬¼ÙÉ裬ʵÑéÑéÖ¤£¬³É¹¦ËµÃ÷ÕâÖÖÉúºÏ³ÉÍÆ²âµÄºÏÀíÐÔ¡£·Ç³£nice¡£ ×î½üÎÒͻȻ¾õµÃ£¬×÷ΪһÃûÌìȻҩ»¯µÄÈË£¬ÉúºÏ³ÉµÄÈ·µÄºÃºÃ²¹³äѧϰÏ£¬ÕýÔÚ¿´Ò»Ð©Êé¼®²¹³ä֪ʶ¡£¶ÔÓÚÄú˵µÄ±½»·À©»·¿ÉÄܹØ×¢µÄ±È½ÏÉÙ£¬µ«ÊÇÎÒ¶ÔÁíÒ»¸ö·½Ãæ·Ç³£¸ÐÐËȤ£¬×î½ü¹Ø×¢²»ÉÙÎÄÕ£¬·¢ÏÖÏûÐýÌåÔÚ×ÔÈ»½çÖÐÆÕ±é´¿ÔÚ£¬¶ÔÓÚΪʲô²úÉúÏûÐýÌ壿ÊÇÉúÎïÌåÄÚø»îÁ¦²»¹»£¿»¹ÊÇΪÁËÊÊӦijÖÖÐèÒª£¬Ã¸±¾Éí¾ÍÈÝÒײúÉúÏûÐýÌåÄØ£¿¶ÔÓÚÕâ¸öÎÊÌâºÜÀ§»ó£¬²»ÖªÂ¥Ö÷ÊÇ·ñÓжÀµ½¼û½â¡£ÈçÂ¥Ö÷ÐðÊöÇïË®ÏɼîÖеĵÚÒ»¸öǰÌữºÏÎËûÊÇͨ¹ýÀàÂüÄáÏ©·´Ó¦ºÏ³ÉµÄ£¬´Ë´¦ËûÊÇÁ¢ÌåרһÐԵ쬵«Êǵ±Üлù»»³ÉÆÕͨ¼×»ù»òÕßÖ¬·¾Á´Ê±£¬ÍùÍùÐγÉÁËÏûÐýÌ壬ÕâÀà·´Ó¦ÎÒ¾õµÃ´ß»¯µÄøӦ¸ÃÊÇÒ»ÑùµÄ£¬µ«ÊÇΪʲô»áÔÚ²»Í¬µÄÇé¿öÏÂÐγÉÁ¢ÌåרһÐÔ»òÕß·ÇרһÐԵϝºÏÎïÄØ£¿ÊÇǰÌữºÏÎïµÄ¿Õ¼ä×è°Ó°ÏìµÄ»¹ÊÇʲôÔÒò?Ï£ÍûÂ¥Ö÷Äܰïæ˼¿¼½âÊÍÏ£¿·Ç³£¸Ðл |
64Â¥2015-02-04 16:13:40
¡ï ¡ï
yylkmb(½ð±Ò+1): лл²ÎÓë
wangkaibo123: ½ð±Ò+1, »¶Ó»ý¼«½»Á÷ 2015-02-04 16:16:24
yylkmb(½ð±Ò+1): лл²ÎÓë
wangkaibo123: ½ð±Ò+1, »¶Ó»ý¼«½»Á÷ 2015-02-04 16:16:24
| ×÷ÕßÑ¡ÌâºÜÐÂÓ±£¬ÀûÓÃһϵÁеÄÉúÎïѧÊÖ¶ÎÖ¤Ã÷ÁË×Ô¼ºµÄ½áÂÛ£¬ËäÈ»ÎÒ¿´µÄ²»Ì«Ã÷°×£¬µ«ÎÒ¾õµÃ¶ÔÌìÈ»²úÎïµÄÈ«ºÏ³ÉºÍ·ÂÉúºÏ³ÉÓкÜÇ¿µÄÖ¸µ¼ÒâÒå¡£ |
45Â¥2015-02-02 08:21:11
21Â¥2015-02-02 07:42:23
33Â¥2015-02-02 08:10:04
34Â¥2015-02-02 08:10:40
¼òµ¥»Ø¸´
syhorchid2Â¥
2015-02-02 00:41
»Ø¸´
yylkmb(½ð±Ò+1): лл²ÎÓë
chentao3Â¥
2015-02-02 00:49
»Ø¸´
yylkmb(½ð±Ò+1): лл²ÎÓë
zhchzhsh20764Â¥
2015-02-02 00:57
»Ø¸´
yylkmb(½ð±Ò+1): лл²ÎÓë








dmbb5Â¥
2015-02-02 00:58
»Ø¸´
yylkmb(½ð±Ò+1): лл²ÎÓë
dmbb6Â¥
2015-02-02 00:58
»Ø¸´
dmbb7Â¥
2015-02-02 00:58
»Ø¸´
dmbb8Â¥
2015-02-02 00:59
»Ø¸´
dmbb9Â¥
2015-02-02 00:59
»Ø¸´
wuzj199010Â¥
2015-02-02 02:02
»Ø¸´
yylkmb(½ð±Ò+1): лл²ÎÓë
star_zhang11Â¥
2015-02-02 03:36
»Ø¸´
yylkmb(½ð±Ò+1): лл²ÎÓë
neu23412Â¥
2015-02-02 04:10
»Ø¸´
yylkmb(½ð±Ò+1): лл²ÎÓë
1 [ ·¢×ÔÊÖ»ú°æ http://muchong.com/3g ]
deweini13Â¥
2015-02-02 04:13
»Ø¸´
yylkmb(½ð±Ò+1): лл²ÎÓë
lilyshuoxu14Â¥
2015-02-02 04:37
»Ø¸´
yylkmb(½ð±Ò+1): лл²ÎÓë
yaoyao14515Â¥
2015-02-02 05:37
»Ø¸´
yylkmb(½ð±Ò+1): лл²ÎÓë
youngen16Â¥
2015-02-02 05:58
»Ø¸´
yylkmb(½ð±Ò+1): лл²ÎÓë
Monash201117Â¥
2015-02-02 06:33
»Ø¸´
yylkmb(½ð±Ò+1): лл²ÎÓë
°¢Q~~18Â¥
2015-02-02 07:03
»Ø¸´
yylkmb(½ð±Ò+1): лл²ÎÓë
shenrenren19Â¥
2015-02-02 07:31
»Ø¸´
yylkmb(½ð±Ò+1): лл²ÎÓë
springburn20Â¥
2015-02-02 07:31
»Ø¸´
yylkmb(½ð±Ò+1): лл²ÎÓë
zgrmws22Â¥
2015-02-02 07:49
»Ø¸´
yylkmb(½ð±Ò+1): лл²ÎÓë
×£¸£ [ ·¢×ÔÊÖ»ú°æ http://muchong.com/3g ]
xhmaohan23Â¥
2015-02-02 07:50
»Ø¸´
yylkmb(½ð±Ò+1): лл²ÎÓë
kiss2008553724Â¥
2015-02-02 07:57
»Ø¸´
yylkmb(½ð±Ò+1): лл²ÎÓë
7
huiminchlq25Â¥
2015-02-02 07:57
»Ø¸´
yylkmb(½ð±Ò+1): лл²ÎÓë



ÌìÑÄ201226Â¥
2015-02-02 07:58
»Ø¸´
yylkmb(½ð±Ò+1): лл²ÎÓë
miaojiabing27Â¥
2015-02-02 08:00
»Ø¸´
yylkmb(½ð±Ò+1): лл²ÎÓë
laom201328Â¥
2015-02-02 08:01
»Ø¸´
yylkmb(½ð±Ò+1): лл²ÎÓë
laixinjiang29Â¥
2015-02-02 08:02
»Ø¸´
yylkmb(½ð±Ò+1): лл²ÎÓë
×£¸£
nono200930Â¥
2015-02-02 08:05
»Ø¸´
yylkmb(½ð±Ò+1): лл²ÎÓë
ashlink31Â¥
2015-02-02 08:06
»Ø¸´
yylkmb(½ð±Ò+1): лл²ÎÓë
hydzp32Â¥
2015-02-02 08:08
»Ø¸´
yylkmb(½ð±Ò+1): лл²ÎÓë
chlq314101a35Â¥
2015-02-02 08:10
»Ø¸´
yylkmb(½ð±Ò+1): лл²ÎÓë


ÃÎÇàÊ«36Â¥
2015-02-02 08:13
»Ø¸´
yylkmb(½ð±Ò+1): лл²ÎÓë
×£¸£
liucheng88337Â¥
2015-02-02 08:14
»Ø¸´
yylkmb(½ð±Ò+1): лл²ÎÓë
34658589038Â¥
2015-02-02 08:15
»Ø¸´
yylkmb(½ð±Ò+1): лл²ÎÓë
lijun198352239Â¥
2015-02-02 08:15
»Ø¸´
yylkmb(½ð±Ò+1): лл²ÎÓë
yuxiaotiangy40Â¥
2015-02-02 08:15
»Ø¸´
yylkmb(½ð±Ò+1): лл²ÎÓë
qqaoqq41Â¥
2015-02-02 08:17
»Ø¸´
yylkmb(½ð±Ò+1): лл²ÎÓë
110911030042Â¥
2015-02-02 08:17
»Ø¸´
yylkmb(½ð±Ò+1): лл²ÎÓë
dawenwu43Â¥
2015-02-02 08:18
»Ø¸´
yylkmb(½ð±Ò+1): лл²ÎÓë
ylheping44Â¥
2015-02-02 08:18
»Ø¸´
yylkmb(½ð±Ò+1): лл²ÎÓë
Sysen46Â¥
2015-02-02 08:26
»Ø¸´
yylkmb(½ð±Ò+1): лл²ÎÓë
×£¸££¡
»Ôö¦ÊµÑé47Â¥
2015-02-02 08:29
»Ø¸´
yylkmb(½ð±Ò+1): лл²ÎÓë
×£¸£
qqllqq48Â¥
2015-02-02 08:33
»Ø¸´
yylkmb(½ð±Ò+1): лл²ÎÓë
ѰÕÒcock49Â¥
2015-02-02 08:34
»Ø¸´
yylkmb(½ð±Ò+1): лл²ÎÓë

tzynew50Â¥
2015-02-02 08:39
»Ø¸´
yylkmb(½ð±Ò+1): лл²ÎÓë














»Ø¸´´ËÂ¥

