版块导航
正在加载中...
客户端APP下载
论文辅导
调剂小程序
登录
注册
帖子
帖子
用户
本版
应《网络安全法》要求,自2017年10月1日起,未进行实名认证将不得使用互联网跟帖服务。为保障您的帐号能够正常使用,请尽快对帐号进行手机号验证,感谢您的理解与支持!
24小时热门版块排行榜
>
论坛更新日志
(605)
>
虫友互识
(51)
>
导师招生
(25)
>
文献求助
(19)
>
休闲灌水
(12)
>
硕博家园
(10)
>
考研
(8)
>
考博
(6)
>
博后之家
(5)
>
论文道贺祈福
(5)
>
论文投稿
(5)
>
基金申请
(4)
>
教师之家
(4)
>
找工作
(4)
>
公派出国
(3)
>
复合材料
(1)
小木虫论坛-学术科研互动平台
»
材料区
»
晶体
»
晶体应用
»
求助化合物的CCDC号
2
1/1
返回列表
查看: 469 | 回复: 1
只看楼主
@他人
存档
新回复提醒
(忽略)
收藏
在APP中查看
zhqm1468
新虫
(初入文坛)
应助: 0
(幼儿园)
金币: 213.7
帖子: 26
在线: 46.7小时
虫号: 2980546
注册: 2014-02-20
[
求助
]
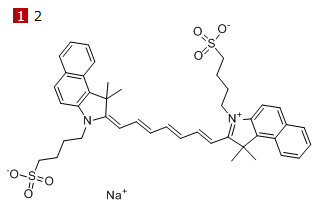
求助化合物的CCDC号
已有1人参与
求助化合物的CCDC号
Indocyanine Green
]4ZJ[)0]DTRYFM7BB{89@$F.png
回复此楼
» 猜你喜欢
中南大学易小艺课题组诚招2026申请-考核制博士生
已经有0人回复
海南师范大学招收化学博士(光电功能材料课题组招收博士研究生)
已经有11人回复
无机化学论文润色/翻译怎么收费?
已经有274人回复
求助几个团簇的cif
已经有0人回复
急求该反应的详细机理
已经有5人回复
【Ei | Scopus 双检索】2026年智能交通与未来出行国际会议(CSTFM 2026)
已经有0人回复
【EI|Scopus 双检索】2026年第六届机器人与人工智能国际会议(JCRAI 2026)
已经有0人回复
zotero的advanced material模板没有更新,有人有新版的cls文件吗
已经有2人回复
【高校联合举办】2026年第五届服务机器人国际会议(ICoSR 2026)
已经有0人回复
» 本主题相关价值贴推荐,对您同样有帮助:
请问CCDC号获得后,为什么在CCDC网站上查不到
已经有13人回复
求助2-苯基恶唑苯酚2-(benzo[d]oxazol-2-yl)phenol的CCDC号,非常非常感谢
已经有4人回复
求助MIL-101(Cr)的cif数据图
已经有9人回复
最新手机号码验证
已经有14人回复
共晶化合物会出现在晶内吗
已经有4人回复
求有ccdc数据库的筒子帮我下载有机小分子晶体结构
已经有13人回复
求那位朋友告诉怎么在ccdc中查单晶数据
已经有7人回复
求助查询剑桥晶体数据库
已经有7人回复
晶体结构查新怎么查?
已经有6人回复
白色晶体状的化合物,一定是晶体吗?
已经有13人回复
晶体CCDC号申请问题
已经有4人回复
求助《土木建筑与环境工程》期刊的WORD排版要求即模板格式
已经有5人回复
checkcif检查警告的含义
已经有11人回复
CCDC软件和FindIt是一个东西吗?我倒是有FindIt。cif能从CCDC上下载吗?
已经有9人回复
【求助】有机化合物的XRD卡片号如何查询得知
已经有6人回复
【求助】如何对CCDC下载的晶体结构理论加氢
已经有14人回复
【求助】CCDC数据求助
已经有7人回复
【求助】帮忙查一下剑桥晶体(CCD)数据库
已经有7人回复
【原创分享】还求助么:免费的谱图数据库20个(亲自测试,全部有效)【无重复】
已经有190人回复
1楼
2015-03-11 11:29:58
已阅
回复此楼
关注TA
给TA发消息
送TA红花
TA的回帖
匿名
用户注销
(知名作家)
精修问题可私信
CMEI: 2
应助: 2712
(讲师)
贵宾: 0.836
金币: 38475.5
散金: 1801
红花: 400
帖子: 5825
在线: 1932.4小时
虫号: 0
注册: 2008-10-05
性别: GG
专业: 药物分析
管辖:
晶体
★ ★ ★ ★ ★ ★ ★ ★ ★ ★ ★ ★ ★ ★ ★ ★ ★ ★ ★ ★ ★ ★ ★ ★ ★ ★ ★ ★ ★ ★ ★ ★ ★ ★ ★ ★ ★ ★ ★ ★ ★ ★ ★ ★ ★ ★ ★ ★ ★ ★
感谢参与,应助指数 +1
zhqm1468: 金币+50,
★
有帮助
2015-03-12 11:28:33
本帖仅楼主可见
赞
一下
2楼
2015-03-11 14:19:47
已阅
申请CMEI
回复此楼
编辑
查看我的主页
相关版块跳转
材料综合
材料工程
微米和纳米
晶体
金属
无机非金属
生物材料
功能材料
复合材料
我要订阅楼主
zhqm1468
的主题更新
2
1/1
返回列表
如果回帖内容含有宣传信息,请如实选中。否则帐号将被全论坛禁言
普通表情
龙
兔
虎
猫
百度网盘
|
360云盘
|
千易网盘
|
华为网盘
在新窗口页面中打开自己喜欢的网盘网站,将文件上传后,然后将下载链接复制到帖子内容中就可以了。
信息提示
关闭
请填处理意见
关闭
确定