版块导航
正在加载中...
客户端APP下载
论文辅导
申博辅导
登录
注册
帖子
帖子
用户
本版
应《网络安全法》要求,自2017年10月1日起,未进行实名认证将不得使用互联网跟帖服务。为保障您的帐号能够正常使用,请尽快对帐号进行手机号验证,感谢您的理解与支持!
24小时热门版块排行榜
>
论坛更新日志
(3458)
>
文献求助
(369)
>
导师招生
(250)
>
虫友互识
(196)
>
休闲灌水
(96)
>
硕博家园
(84)
>
考研
(74)
>
论文道贺祈福
(64)
>
考博
(55)
>
博后之家
(54)
>
招聘信息布告栏
(51)
>
论文投稿
(48)
>
公派出国
(44)
>
绿色求助(高悬赏)
(37)
>
基金申请
(36)
>
外文书籍求助
(33)
小木虫论坛-学术科研互动平台
»
化学化工区
»
分析
»
光谱分析
»
有利于酰胺键的条件是什么呢?
13
1/2
返回列表
1
2
下一页
查看: 2766 | 回复: 12
只看楼主
@他人
存档
新回复提醒
(忽略)
收藏
在APP中查看
孙若飞
新虫
(初入文坛)
应助: 0
(幼儿园)
金币: 127.5
帖子: 49
在线: 33.3小时
虫号: 2348124
注册: 2013-03-15
性别:
MM
专业: 药物分析
[
求助
]
有利于酰胺键的条件是什么呢?
已有1人参与
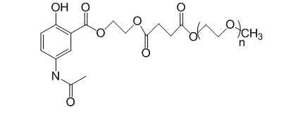
如图是本人做出的药物,将该药物置于PH7.4缓冲液中水解,为何酰胺键不断,只有酯键断裂呢?我的目的是碱性水解出5-氨基水杨酸
哪位大神知道有利于酰胺键断裂的条件,请帮帮忙!!
2.png
回复此楼
» 猜你喜欢
天津大学招2026.09的博士生,欢迎大家推荐交流(博导是本人)
已经有3人回复
有时候真觉得大城市人没有县城人甚至个体户幸福
已经有6人回复
面上项目申报
已经有3人回复
酰胺脱乙酰基
已经有9人回复
CSC & MSCA 博洛尼亚大学能源材料课题组博士/博士后招生|MSCA经费充足、排名优
已经有5人回复
博士延得我,科研能力直往上蹿
已经有7人回复
退学或坚持读
已经有27人回复
面上基金申报没有其他的参与者成吗
已经有5人回复
遇见不省心的家人很难过
已经有22人回复
» 本主题相关价值贴推荐,对您同样有帮助:
请问在合成酰胺键时以HATU作为缩合剂的反应条件以及投料顺序等问题
已经有4人回复
酸化与酰胺键的断裂
已经有3人回复
怎么在温和条件下水解酯而不水解酰胺键?
已经有3人回复
关于胍基上的氨基能和羧基能发生酰胺反应么?怎么反应的呢?请大家帮忙啊,谢谢了
已经有11人回复
含有酰胺键的有机配体做晶体时酰胺键很容易断吗
已经有8人回复
酰胺键溶剂选择
已经有7人回复
水解求助:同时含有1个酰胺键+2个酯键的水解,如何选择性水解2个酯键?
已经有14人回复
存在酰胺键情况下 如何对另外的氨基上保护和脱保护
已经有5人回复
酰胺键在甲醇钠的环境下,加热到100°,稳定性如何?
已经有6人回复
酰胺键的水解 求助各位!
已经有12人回复
酰胺键的生成与断开
已经有15人回复
酰胺键怎么断开
已经有7人回复
无共轭酰胺键怎么显色?
已经有8人回复
关于酰胺键的水解
已经有5人回复
请问有用羧酸盐和氨基反应形成酰胺键的吗??
已经有18人回复
EDC 合成的 酰胺键 不稳定
已经有28人回复
请问氨基和羧基反应生成酰胺键的反应能否在乙醇溶液中进行?
已经有16人回复
酰胺键的稳定性
已经有8人回复
【求助】尼龙酰胺键如何快速水解
已经有7人回复
【求助】Au-S键的形成需要什么条件?
已经有22人回复
【求助】酰胺键合成条件
已经有14人回复
【讨论】酰胺键的合成
已经有8人回复
【求助】酰胺键的断裂
已经有10人回复
【求助】酰胺键的打断
已经有27人回复
【求助】请教 :酰胺键在什么情况下断键?
已经有8人回复
1楼
2015-03-08 21:02:36
已阅
回复此楼
关注TA
给TA发消息
送TA红花
TA的回帖
回帖支持 ( 显示支持度最高的前 50 名 )
archbishop
禁虫
(职业作家)
ACI: 2
应助: 190
(高中生)
贵宾: 3.213
金币: 13682.5
散金: 5394
红花: 150
沙发: 5
帖子: 4552
在线: 1148.3小时
虫号: 792812
注册: 2009-06-12
性别: GG
专业: 色谱分析
管辖:
分析
我觉得在人体内似乎是酶来水解酰胺,所以模拟大肠环境如果没有酶断裂的肯定是酯键,酰胺键有类似超共轭的效果,通常来看比酯键稳定得多。
赞
一下
(1人)
回复此楼
» 本帖已获得的红花(最新10朵)
孙若飞
雲幕低垂映桂子,江月留白問柳心。
8楼
2015-03-09 12:46:46
已阅
回复此楼
关注TA
给TA发消息
送TA红花
TA的回帖
普通回帖
孙若飞
新虫
(初入文坛)
应助: 0
(幼儿园)
金币: 127.5
帖子: 49
在线: 33.3小时
虫号: 2348124
注册: 2013-03-15
性别:
MM
专业: 药物分析
不好意思,刚发现药物结构图发错了,其实是下面的这个图
请高手指点一下,这是我的毕业课题,很怕做不出来,谢谢!
333.png
赞
一下
回复此楼
2楼
2015-03-08 21:17:54
已阅
回复此楼
关注TA
给TA发消息
送TA红花
TA的回帖
xuchao7447
木虫
(著名写手)
超
应助: 63
(初中生)
金币: 2890
红花: 7
帖子: 1296
在线: 175.6小时
虫号: 2327710
注册: 2013-03-07
性别: GG
专业: 放射医学
【答案】应助回帖
★ ★ ★ ★ ★
感谢参与,应助指数 +1
孙若飞: 金币+5,
★
有帮助
2015-03-09 09:07:11
pH值不够吧,反应液可以提高点pH值吗
赞
一下
回复此楼
生活就是如此
3楼
2015-03-09 08:10:55
已阅
回复此楼
关注TA
给TA发消息
送TA红花
TA的回帖
孙若飞
新虫
(初入文坛)
应助: 0
(幼儿园)
金币: 127.5
帖子: 49
在线: 33.3小时
虫号: 2348124
注册: 2013-03-15
性别:
MM
专业: 药物分析
引用回帖:
3楼
:
Originally posted by
xuchao7447
at 2015-03-09 08:10:55
pH值不够吧,反应液可以提高点pH值吗
我这个药物需要在模拟大肠环境代谢出来5-氨基水杨酸的,我之前用PH8.0的缓冲液,37度来模拟大肠环境,也没使酰胺键断裂。请问,除了升高PH之外,有其它促使酰胺键断裂的方法吗?比如加入酶
赞
一下
回复此楼
4楼
2015-03-09 09:07:38
已阅
回复此楼
关注TA
给TA发消息
送TA红花
TA的回帖
孙若飞
新虫
(初入文坛)
应助: 0
(幼儿园)
金币: 127.5
帖子: 49
在线: 33.3小时
虫号: 2348124
注册: 2013-03-15
性别:
MM
专业: 药物分析
引用回帖:
3楼
:
Originally posted by
xuchao7447
at 2015-03-09 08:10:55
pH值不够吧,反应液可以提高点pH值吗
我这个药物需要在模拟大肠环境代谢出来5-氨基水杨酸的,我之前用PH8.0的缓冲液,37度来模拟大肠环境,也没使酰胺键断裂。请问,除了升高PH之外,有其它促使酰胺键断裂的方法吗?比如加入酶
赞
一下
回复此楼
5楼
2015-03-09 09:07:53
已阅
回复此楼
关注TA
给TA发消息
送TA红花
TA的回帖
xuchao7447
木虫
(著名写手)
超
应助: 63
(初中生)
金币: 2890
红花: 7
帖子: 1296
在线: 175.6小时
虫号: 2327710
注册: 2013-03-07
性别: GG
专业: 放射医学
升温呢,酶的话不怎么了解,有的话肯定最好,你这个化合物貌似要断裂的话也是先断酯键,酯键断裂的条件还是相对比较温和的。
赞
一下
回复此楼
生活就是如此
6楼
2015-03-09 10:29:43
已阅
回复此楼
关注TA
给TA发消息
送TA红花
TA的回帖
xuchao7447
木虫
(著名写手)
超
应助: 63
(初中生)
金币: 2890
红花: 7
帖子: 1296
在线: 175.6小时
虫号: 2327710
注册: 2013-03-07
性别: GG
专业: 放射医学
提高反应时间,增加反应温度,前提是你的要耐高温
赞
一下
回复此楼
生活就是如此
7楼
2015-03-09 10:36:07
已阅
回复此楼
关注TA
给TA发消息
送TA红花
TA的回帖
孙若飞
新虫
(初入文坛)
应助: 0
(幼儿园)
金币: 127.5
帖子: 49
在线: 33.3小时
虫号: 2348124
注册: 2013-03-15
性别:
MM
专业: 药物分析
引用回帖:
8楼
:
Originally posted by
archbishop
at 2015-03-09 12:46:46
我觉得在人体内似乎是酶来水解酰胺,所以模拟大肠环境如果没有酶断裂的肯定是酯键,酰胺键有类似超共轭的效果,通常来看比酯键稳定得多。
不知道胰蛋白酶能水解酰胺键吗
赞
一下
回复此楼
9楼
2015-03-10 22:41:59
已阅
回复此楼
关注TA
给TA发消息
送TA红花
TA的回帖
孙若飞
新虫
(初入文坛)
应助: 0
(幼儿园)
金币: 127.5
帖子: 49
在线: 33.3小时
虫号: 2348124
注册: 2013-03-15
性别:
MM
专业: 药物分析
送红花一朵
引用回帖:
8楼
:
Originally posted by
archbishop
at 2015-03-09 12:46:46
我觉得在人体内似乎是酶来水解酰胺,所以模拟大肠环境如果没有酶断裂的肯定是酯键,酰胺键有类似超共轭的效果,通常来看比酯键稳定得多。
谢谢,请问酰胺键的温和水解条件是什么呢
赞
一下
回复此楼
10楼
2015-03-10 22:47:18
已阅
回复此楼
关注TA
给TA发消息
送TA红花
TA的回帖
相关版块跳转
有机交流
有机资源
高分子
无机/物化
分析
催化
工艺技术
化工设备
石油化工
精细化工
电化学
环境
SciFinder/Reaxys
我要订阅楼主
孙若飞
的主题更新
13
1/2
返回列表
1
2
下一页
如果回帖内容含有宣传信息,请如实选中。否则帐号将被全论坛禁言
普通表情
龙
兔
虎
猫
百度网盘
|
360云盘
|
千易网盘
|
华为网盘
在新窗口页面中打开自己喜欢的网盘网站,将文件上传后,然后将下载链接复制到帖子内容中就可以了。
信息提示
关闭
请填处理意见
关闭
确定