Znn3bq.jpeg
²é¿´: 941  |  »Ø¸´: 3

Çå»Ô12365

гæ (³õÈëÎÄ̳)

[ÇóÖú] ¶¯Á¦Ñ§²ÎÊýÄâºÏ

Ô­ÁÏÊÇ£º¼×´¼¡¢CO¡¢ÑõÆø¡£Ö÷·´Ó¦£º¼×´¼¡¢CO¡¢ÑõÆøºÏ³ÉDMC£¬¸±·´Ó¦£ºCOºÍÑõÆøºÏ³ÉCO2.
Òª¸ÉµÄ»î£ºÄâºÏ³öÉú³ÉDMCºÍCO2µÄ¶¯Á¦Ñ§²ÎÊý£¨Ö¸Ç°Òò×Ó¡¢»î»¯ÄÜ¡¢¼¶Êý£©
¶¯Á¦Ñ§·½³ÌΪdy1/dw=f(y1¡¢y2)ºÍdy2/dw=f(y1¡¢y2),¾ßÌåÐÎʽ¼û¸½Í¼¡£
ÕûÀíºóµÄʵÑéÊý¾Ý£ºN0(Ô­ÁϳõʼµÄĦ¶ûÊý)¡¢P£¨Ñ¹Á¦£©¡¢t(ζÈ)¡¢x1(¼×´¼³õʼµÄĦ¶û·ÖÊý)¡¢x2(CO³õʼµÄĦ¶û·ÖÊý)¡¢x3(O2³õʼµÄĦ¶û·ÖÊý)¡¢y1(DMC²úÎïµÄĦ¶û·ÖÊý)¡¢y2(O2²úÎïµÄĦ¶û·ÖÊý)¡¢W=0.375(´ß»¯¼ÁµÄÖÊÁ¿)¡£
¹Ø¼üÄѶÈÔÚ£ºÖ÷ÒªÊÇÁ½¸ö³£Î¢·Ö·½³Ì¡¢Êý¾Ý¶à²»ÖªÈçºÎ½øÐÐÔËËã¡£ÏÂÃæÊÇ×Ô¼º±àµÄ³ÌÐò£¬³öÏÖÎÊÌâ²¢ÇÒ½â¾ö²»ÉÏÀ´£¬Ï£Íû´óÉñÖ¸½Ì
function YYHJIA
clear all;clc
global t T P N0 X1 X2 X3 ;
t=[140 140 140.2 143.4 150 150.1 150.2 151.2 153.7 159.2 160 161.3 140.2 141.1 149.7 150.3 150.8 159.7 161.2 138 150.3 160 160.2 162.3];
%ζÈ
T=t+273.15;  
P=[0.1 0.1 0.1 0.1 0.1 0.1 0.1 0.1 0.1 0.1 0.1 0.1 0.2 0.2 0.2 0.2 0.2 0.2 0.2 0.3 0.3 0.3 0.3 0.3];
%ѹÁ¦
N0=[0.3091 0.3260 0.2796 0.2856 0.2801 0.3260 0.3091 0.2853 0.3190 0.2853 0.3962 0.3190 0.3085 0.2793 0.2804 0.2856 0.3083 0.3085 0.2788 0.2368 0.26 0.2597 0.3207 0.2344];
%Ô­ÁϳõʼĦ¶û
x1=[0.624 0.5 0.5310 0.5710 0.53 0.5 0.624 0.572 0.511 0.572 0.524 0.511 0.625 0.531 0.529 0.571 0.625 0.625 0.532 0.501 0.57 0.571 0.555 0.506];
%Ô­Áϼ״¼Õ¼µÄĦ¶û·ÖÊý
x2=[0.25 0.334 0.349 0.287 0.348 0.334 0.25 0.286 0.345 0.286 0.352 0.345 0.25 0.349 0.348 0.286 0.25 0.25 0.35 0.334 0.287 0.288 0.334 0.337];
%Ô­ÁÏCOĦ¶û·ÖÊý
x3=[0.127 0.166 0.121 0.142 0.122 0.166 0.127 0.142 0.144 0.142 0.124 0.144 0.125 0.12 0.123 0.143 0.124 0.125 0.118 0.165 0.142 0.141 0.111 0.157];
%Ô­ÁÏO2µÄĦ¶û·ÖÊý
Y1=[0.015 0.016 0.015 0.017 0.02 0.021 0.021 0.021 0.021 0.025 0.023 0.025 0.018 0.018 0.025 0.026 0.026 0.03 0.03 0.023 0.028 0.036 0.034 0.038];
%³ö¿ÚDMCµÄĦ¶ûÊý
Y2=[0.018 0.02 0.018 0.033 0.04 0.041 0.042 0.042 0.045 0.054 0.053 0.054 0.031 0.032 0.05 0.051 0.05 0.059 0.058 0.043 0.051 0.063 0.061 0.066];
%³ö¿ÚCOµÄĦ¶ûÊý
k0=[8e4 2e4 -0.5 0.5 1 4e5 3e4 0.5 0.5 ];%(ָǰÒò×Ó¡¢»î»¯ÄÜ¡¢¼¶Êý)³õʼÁ¿
lb=[0 0 -3 -3 -3 0  0 -3 -3 ];%ÏÂÏÞ
ub=[+inf +inf +inf +inf +inf +inf +inf +inf +inf];%ÉÏÏÞ
%ʹÓÃlsqnonlinº¯Êý½øÐвÎÊý¹À¼Æ
[k,resnorm,residual,exitflag,output,lambda,jacobian]=lsqnonlin(@ObjFunc,k0,lb,ub,[],T,P,N0,X1,X2,X3,Y1,Y2);
ci=nlparci(k,residual,jacobian);
function f=ObjFunc(k,T,P,N0,X1,X2,X3,Y1,Y2)
wspan=[0 0.375];
Y0=[Y1' Y2']
[m,n]=size(Y0);
Ycal = zeros(m,n);
for i=1:m
[w yy]=ode45(@Equations,wspan,Y0(i,,[],k);
Ycal(i,=yy(end,;
end
f=Ycal-Y0;
function dydw=Equations(w,yy,k)
%ÈçºÎ±í´ïÄØ£¿Õâô¶àÊý×Ö
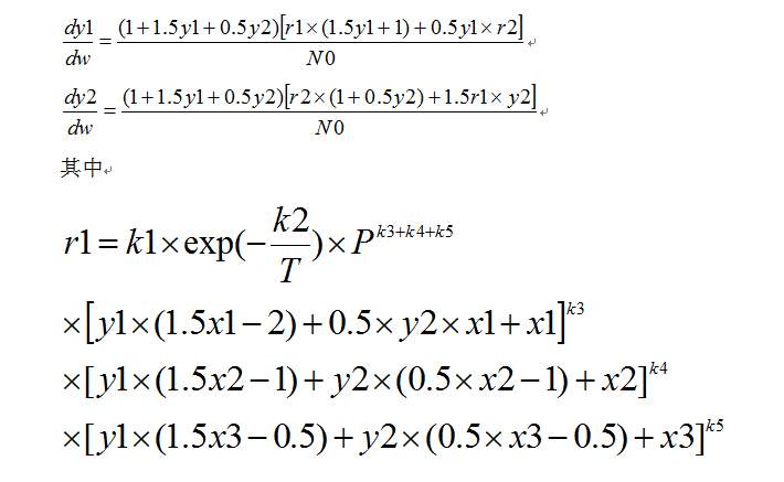
r1=k(1)*exp*(-k(2)./T).*P.^(k(3)+k(4)+k(5))*...
    (yy(1).*(1.5*x1-2)+0.5*yy(2).*x1).^(k(3))*...
    (yy(1).*(1.5*x2-1)+yy(2).*(0.5*x2-1)+x2).^(k(4))*...
    (yy(1).*(1.5*x3-0.5)+yy(2).*(0.3*x3-0.5)+x3).^k(5);
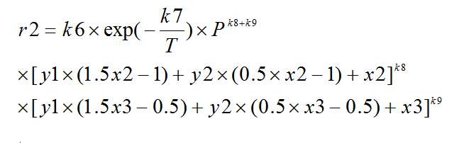
r2=k(6)*exp*(-k(7)./T).*P.^(k(8)+k(9))*...
    (yy(1).*(1.5*x2-1)+yy(2).*(0.5*x2-1)+x2).^k(8)*...
    (yy(1).*(1.5*x3-0.5)+yy(2).*(0.3*x3-0.5)+x3).^k(9);
dy1dw=(1+1.5*yy(1)+0.5*yy(2)).*(r1.*(1.5*yy(1)+1)+0.5*yy(1).*r2)./N0;
dy2dw=(1+1.5*yy(1)+0.5*yy(2)).*(r2.*(1+0.5*yy(2))+1.5*r1.*yy(2))./N0;
dydw=[dy1dw;dy2dw];
³öÏÖµÄÎÊÌâÈçͼ£º

¶¯Á¦Ñ§²ÎÊýÄâºÏ
³öÏÖµÄÎÊÌâ.jpg


¶¯Á¦Ñ§²ÎÊýÄâºÏ-1
·½³ÌÐÎʽ.jpg


¶¯Á¦Ñ§²ÎÊýÄâºÏ-2
·½³Ì¾ßÌåÐÎʽ2.jpg
»Ø¸´´ËÂ¥

» ²ÂÄãϲ»¶

» ±¾Ö÷ÌâÏà¹Ø¼ÛÖµÌùÍÆ¼ö£¬¶ÔÄúͬÑùÓаïÖú:

ÒÑÔÄ   »Ø¸´´ËÂ¥   ¹Ø×¢TA ¸øTA·¢ÏûÏ¢ ËÍTAºì»¨ TAµÄ»ØÌû

ÐűËÄÏɽ

ľ³æ (ÖøÃûдÊÖ)

expºóÃæÊDz»Òª*µÄ
ÆäÓàµÄÌ«³¤£¬Ã»¿´Íê
2Â¥2015-03-05 01:28:52
ÒÑÔÄ   »Ø¸´´ËÂ¥   ¹Ø×¢TA ¸øTA·¢ÏûÏ¢ ËÍTAºì»¨ TAµÄ»ØÌû

Çå»Ô12365

гæ (³õÈëÎÄ̳)

ÒýÓûØÌû:
2Â¥: Originally posted by ÐűËÄÏɽ at 2015-03-05 01:28:52
expºóÃæÊDz»Òª*µÄ
ÆäÓàµÄÌ«³¤£¬Ã»¿´Íê

ÎÒÒ²¿´µ½ÁË£¬ÇëÎÊһϣ¬»¹ÓÐʲô´íÎóÂ𣿣¿Âé·³ÁË~~
3Â¥2015-03-05 08:35:46
ÒÑÔÄ   »Ø¸´´ËÂ¥   ¹Ø×¢TA ¸øTA·¢ÏûÏ¢ ËÍTAºì»¨ TAµÄ»ØÌû

Çå»Ô12365

гæ (³õÈëÎÄ̳)

ÒýÓûØÌû:
2Â¥: Originally posted by ÐűËÄÏɽ at 2015-03-05 01:28:52
expºóÃæÊDz»Òª*µÄ
ÆäÓàµÄÌ«³¤£¬Ã»¿´Íê

function YYHJIA
clear all;clc
global T P N0 x1 x2 x3;
t=[140 140 140.2 143.4 150 150.1 150.2 151.2 153.7 159.2 160 161.3 140.2 141.1 149.7 150.3 150.8 159.7 161.2 138 150.3 160 160.2 162.3];
%ζÈ
T=t+273.15;  
P=[0.1 0.1 0.1 0.1 0.1 0.1 0.1 0.1 0.1 0.1 0.1 0.1 0.2 0.2 0.2 0.2 0.2 0.2 0.2 0.3 0.3 0.3 0.3 0.3];
%ѹÁ¦
N0=[0.3091 0.3260 0.2796 0.2856 0.2801 0.3260 0.3091 0.2853 0.3190 0.2853 0.3962 0.3190 0.3085 0.2793 0.2804 0.2856 0.3083 0.3085 0.2788 0.2368 0.26 0.2597 0.3207 0.2344];
%Ô­ÁϳõʼĦ¶û
x1=[0.624 0.5 0.5310 0.5710 0.53 0.5 0.624 0.572 0.511 0.572 0.524 0.511 0.625 0.531 0.529 0.571 0.625 0.625 0.532 0.501 0.57 0.571 0.555 0.506];
%Ô­Áϼ״¼Õ¼µÄĦ¶û·ÖÊý
x2=[0.25 0.334 0.349 0.287 0.348 0.334 0.25 0.286 0.345 0.286 0.352 0.345 0.25 0.349 0.348 0.286 0.25 0.25 0.35 0.334 0.287 0.288 0.334 0.337];
%Ô­ÁÏCOĦ¶û·ÖÊý
x3=[0.127 0.166 0.121 0.142 0.122 0.166 0.127 0.142 0.144 0.142 0.124 0.144 0.125 0.12 0.123 0.143 0.124 0.125 0.118 0.165 0.142 0.141 0.111 0.157];
%Ô­ÁÏO2µÄĦ¶û·ÖÊý
Y1=[0.015 0.016 0.015 0.017 0.02 0.021 0.021 0.021 0.021 0.025 0.023 0.025 0.018 0.018 0.025 0.026 0.026 0.03 0.03 0.023 0.028 0.036 0.034 0.038];
%³ö¿ÚDMCµÄĦ¶ûÊý
Y2=[0.018 0.02 0.018 0.033 0.04 0.041 0.042 0.042 0.045 0.054 0.053 0.054 0.031 0.032 0.05 0.051 0.05 0.059 0.058 0.043 0.051 0.063 0.061 0.066];
%³ö¿ÚCOµÄĦ¶ûÊý
k0=[8e4 2e4 -0.5 0.5 1 4e5 3e4 0.5 0.5 ];%(ָǰÒò×Ó¡¢»î»¯ÄÜ¡¢¼¶Êý)³õʼÁ¿
lb=[0 0 -3 -3 -3 0  0 -3 -3 ];%ÏÂÏÞ
ub=[+inf +inf +inf +inf +inf +inf +inf +inf +inf];%ÉÏÏÞ
%ʹÓÃlsqnonlinº¯Êý½øÐвÎÊý¹À¼Æ
[k,resnorm,residual,exitflag,output,lambda,jacobian]=lsqnonlin(@ObjFunc,k0,lb,ub,[],T,P,N0,x1,x2,x3,Y1,Y2);
ci=nlparci(k,residual,jacobian);
function f=ObjFunc(k,T,P,N0,x1,x2,x3,Y1,Y2)
wspan=[0 0.375];
Y0=[Y1' Y2'];
X=[N0' P' T' x1' x2' x3' Y1' Y2']
[m,n]=size(Y0);
Ycal = zeros(m,n);
for i=1:m
[w yy]=ode45(@Equations,wspan,Y0(i,,[],k);
Ycal(i,=yy(end,;
end
f=Ycal-Y0;
function dydw=Equations(w,yy,k,N0,P,T,x1,x2,x3)
global T P N0 x1 x2 x3;
%ÈçºÎ±í´ïÄØ£¿Õâô¶àÊý×Ö
r1=k(1)*exp(-k(2)./T).*P.^(k(3)+k(4)+k(5))*...
    (yy(1).*(1.5*x1-2)+0.5*yy(2).*x1).^(k(3))*...
    (yy(1).*(1.5*x2-1)+yy(2).*(0.5*x2-1)+x2).^(k(4))*...
    (yy(1).*(1.5*x3-0.5)+yy(2).*(0.3*x3-0.5)+x3).^k(5);
r2=k(6)*exp(-k(7)./T).*P.^(k(8)+k(9))*...
    (yy(1).*(1.5*x2-1)+yy(2).*(0.5*x2-1)+x2).^k(8)*...
    (yy(1).*(1.5*x3-0.5)+yy(2).*(0.3*x3-0.5)+x3).^k(9);
dy1dw=(1+1.5*yy(1)+0.5*yy(2)).*(r1.*(1.5*yy(1)+1)+0.5*yy(1).*r2)./N0;
dy2dw=(1+1.5*yy(1)+0.5*yy(2)).*(r2.*(1+0.5*yy(2))+1.5*r1.*yy(2))./N0;
dydw=[dy1dw;dy2dw];
ͼÏñΪ³öÏֵĴíÎó½á¹û
¶¯Á¦Ñ§²ÎÊýÄâºÏ-3
ͼ1.jpg

4Â¥2015-03-05 09:36:48
ÒÑÔÄ   »Ø¸´´ËÂ¥   ¹Ø×¢TA ¸øTA·¢ÏûÏ¢ ËÍTAºì»¨ TAµÄ»ØÌû
Ïà¹Ø°æ¿éÌø×ª ÎÒÒª¶©ÔÄÂ¥Ö÷ Çå»Ô12365 µÄÖ÷Ìâ¸üÐÂ
×î¾ßÈËÆøÈÈÌûÍÆ¼ö [²é¿´È«²¿] ×÷Õß »Ø/¿´ ×îºó·¢±í
[¿¼ÑÐ] 085600²ÄÁÏÓ뻯¹¤£¬Çóµ÷¼Á +7 won_qii 2026-04-07 7/350 2026-04-09 09:05 by ±£±¼³¬°®Ñ§Ï°
[¿¼ÑÐ] ²ÄÁϵ÷¼Á +14 Ò»ÑùYWY 2026-04-06 14/700 2026-04-08 23:00 by Öí»á·É
[¿¼ÑÐ] »¯Ñ§308·ÖÇóµ÷¼Á +21 ÄãºÃÃ÷ÌìÄãºÃ 2026-04-07 23/1150 2026-04-08 22:32 by ¿­¿­Òª±ä˧
[¿¼ÑÐ] ÉúÎïѧѧ˶£¬³õÊÔ351·Ö£¬Çóµ÷¼Á +4 ¡­¡«¡¢Íõ¡­¡« 2026-04-08 5/250 2026-04-08 21:49 by limeifeng
[¿¼ÑÐ] 273Çóµ÷¼Á +41 ÂóС¶£µ± 2026-04-06 48/2400 2026-04-08 15:16 by screening
[¿¼ÑÐ] Ò»Ö¾Ô¸211£¬»¯Ñ§Ñ§Ë¶£¬310·Ö£¬±¾¿ÆÖصãË«·Ç£¬Çóµ÷¼Á +20 ŬÁ¦·Ü¶·112 2026-04-07 21/1050 2026-04-08 14:54 by screening
[¿¼ÑÐ] Ò»Ö¾Ô¸Î÷µç085401Çóµ÷¼Á +4 sunw1306 2026-04-07 4/200 2026-04-07 16:40 by à£à£à£0119
[¿¼ÑÐ] 295Çóµ÷¼Á +18 xndjjj 2026-04-04 19/950 2026-04-07 11:02 by wangjy2002
[¿¼ÑÐ] Çóµ÷¼Á +4 µçÆøÐ¡Éñͯ 2026-04-04 6/300 2026-04-07 00:14 by guanxin1001
[¿¼ÑÐ] Çóµ÷¼Á +5 С›g 2026-04-03 5/250 2026-04-06 22:45 by 875465
[¿¼ÑÐ] ÇóÖú +3 ¿¨¿¨¶«88 2026-04-06 4/200 2026-04-06 15:28 by going home
[¿¼ÑÐ] 377Çóµ÷¼Á +6 by.ovo 2026-04-05 6/300 2026-04-05 22:18 by dongzh2009
[¿¼ÑÐ] 0860 Çóµ÷¼Á Ò»Ö¾Ô¸¹ú¿Æ´ó 348 ·Ö +3 WiiiP 2026-04-03 3/150 2026-04-05 17:43 by Ecowxq666£¡
[¿¼ÑÐ] 085602 ÕÒµ÷¼Á +4 ÄæÊ±Õë¿ìÀÖ 2026-04-02 4/200 2026-04-04 19:32 by À¶ÔÆË¼Óê
[¿¼ÑÐ] ²ÄÁÏ295 +13 СӢ11 2026-04-03 14/700 2026-04-04 09:02 by À´¿´Á÷ÐÇÓê10
[¿¼ÑÐ] ÉúÎïѧ308·ÖÇóµ÷¼Á£¨Ò»Ö¾Ô¸»ª¶«Ê¦´ó£© +7 ÏàÐűػá¹ââÍòÕ 2026-04-02 7/350 2026-04-03 16:48 by rzh123456
[¿¼ÑÐ] 11408£¬284·Ö£¬¶þÕ½Õæ³ÏÇóµ÷¼Á +4 12.27 2026-04-02 4/200 2026-04-03 14:14 by dxiaoxin
[˶²©¼ÒÔ°] ÇóÀÏʦÊÕÁô +9 lllq123 2026-04-03 9/450 2026-04-03 13:48 by ºôÎü¶¼ÊǼõ·Ê
[¿¼ÑÐ] Ò»Ö¾Ô¸´ó¹¤Ñ§Ë¶£¬Çóµ÷¼Á +4 yub0811 2026-04-02 4/200 2026-04-02 21:36 by °ÙÁéͯ888
[¿¼ÑÐ] Çóµ÷¼Á 302·Ö³õÊÔ 0854 +5 Áæ¿ÉÀÖ 2026-04-02 5/250 2026-04-02 17:53 by ±ÊÂä½õÖÝ
ÐÅÏ¢Ìáʾ
ÇëÌî´¦ÀíÒâ¼û