版块导航
正在加载中...
客户端APP下载
论文辅导
申博辅导
登录
注册
帖子
帖子
用户
本版
应《网络安全法》要求,自2017年10月1日起,未进行实名认证将不得使用互联网跟帖服务。为保障您的帐号能够正常使用,请尽快对帐号进行手机号验证,感谢您的理解与支持!
24小时热门版块排行榜
>
论坛更新日志
(307)
>
虫友互识
(35)
>
教师之家
(3)
>
导师招生
(2)
>
第一性原理
(2)
>
博后之家
(1)
>
论文道贺祈福
(1)
>
基金申请
(1)
>
考博
(1)
>
找工作
(1)
>
公派出国
(1)
>
论文投稿
(1)
>
休闲灌水
(1)
小木虫论坛-学术科研互动平台
»
计算模拟区
»
计算模拟
»
求MTALAB程序:关于有时变矩阵的动力程序
1
1/1
返回列表
查看: 261 | 回复: 0
只看楼主
@他人
存档
新回复提醒
(忽略)
收藏
在APP中查看
使徒行者
新虫
(初入文坛)
应助: 0
(幼儿园)
金币: 1.5
帖子: 6
在线: 15.1小时
虫号: 3447390
注册: 2014-09-28
[
求助
]
求MTALAB程序:关于有时变矩阵的动力程序
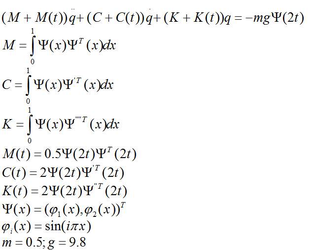
现有如下运动微分程序(见图片)。其中M、M(t)、C、C(t)、K、K(t)均为矩阵,M(t)和C(t)为关于时间变量的时变矩阵,如何用matlab编写该动力方程含时变矩阵的程序?哪位大神不吝帮忙?非常感谢,急求帮助。m=0.6;g=9.8,t 时刻为0至0.4之间
1.jpg
回复此楼
» 猜你喜欢
求标准粉末衍射卡号 ICDD 01-076-1802
已经有0人回复
新西兰Robinson研究所招收全奖PhD
已经有0人回复
物理学I论文润色/翻译怎么收费?
已经有290人回复
石墨烯转移--二氧化硅衬底石墨烯
已经有0人回复
笼目材料中量子自旋液体基态的证据
已经有0人回复
数学教学论硕士可以读数学物理博士吗?
已经有0人回复
德国亥姆霍兹Hereon中心汉堡分部招镁合金腐蚀裂变SCC课题方向2026公派博士生
已经有4人回复
澳门大学 应用物理及材料工程研究院 潘晖教授课题组诚招博士后
已经有11人回复
求助NH4V4O10晶体的CIF文件
已经有0人回复
英国全奖博士招聘-深度学习与量子物理
已经有0人回复
间接带隙半导体有效质量求助
已经有0人回复
1楼
2015-01-29 15:31:35
已阅
回复此楼
关注TA
给TA发消息
送TA红花
TA的回帖
智能机器人
Robot
(super robot)
我们都爱小木虫
找到一些相关的精华帖子,希望有用哦~
matlab矩阵的点乘
已经有4人回复
我用matlab求矩阵的特性向量矩阵,怎么出错了?
已经有13人回复
求助matlab中含有三角矩阵的矩阵方程求解
已经有3人回复
(急急急)求助matlab大型矩阵求本征值 eigs命令使用后,提示错误
已经有7人回复
matlab中fmincon的fun是矩阵运算怎么办?
已经有5人回复
matlab求解正交矩阵。
已经有10人回复
求matlab矩阵拟合
已经有4人回复
MATLAB中自定义含参量的矩阵
已经有5人回复
matlab对矩阵第一列化为1编程
已经有7人回复
用matlab求解矩阵方程
已经有5人回复
matlab求大型矩阵的逆(上万维矩阵)
已经有11人回复
matlab如何清空程序运行过程中产生的矩阵
已经有4人回复
matlab循环计算转为矩阵 30金币求助
已经有7人回复
matlab稀疏矩阵问题求教
已经有3人回复
如何用matlab求解矩阵系数的二阶微分方程
已经有13人回复
matlab中如何通过for语句得到已有矩阵的部分数据
已经有3人回复
matlab中系数是矩阵的积分
已经有5人回复
【求助】matlab矩阵中寻找距离最近的行向量
已经有4人回复
请教关于matlab矩阵转换问题
已经有6人回复
matlab矩阵数据分块
已经有3人回复
请帮忙用matlab求矩阵特征值
已经有8人回复
关于计算机内存和matlab产生矩阵能力的关系的困惑
已经有3人回复
【求助】matlab 解矩阵方程 重金悬赏解决方案
已经有10人回复
点击这里搜索更多相关资源
科研从小木虫开始,人人为我,我为人人
相关版块跳转
第一性原理
量子化学
计算模拟
分子模拟
仿真模拟
程序语言
我要订阅楼主
使徒行者
的主题更新
1
1/1
返回列表
如果回帖内容含有宣传信息,请如实选中。否则帐号将被全论坛禁言
普通表情
龙
兔
虎
猫
百度网盘
|
360云盘
|
千易网盘
|
华为网盘
在新窗口页面中打开自己喜欢的网盘网站,将文件上传后,然后将下载链接复制到帖子内容中就可以了。
信息提示
关闭
请填处理意见
关闭
确定