| 查看: 728 | 回复: 3 | ||
萤火微光至尊木虫 (著名写手)
|
[求助]
变上限积分的求导 已有1人参与
|
数学问题集锦 |
» 猜你喜欢
277求调剂
已经有23人回复
322求调剂,08工科
已经有4人回复
材料工程281还有调剂机会吗
已经有30人回复
化学070300 求调剂
已经有16人回复
化工学硕294分,求导师收留
已经有12人回复
一志愿哈工大 085600 277 12材科基求调剂
已经有32人回复
268分085602化学工程调剂
已经有31人回复
一志愿安大生物学07初试322、本科二本、调剂求助
已经有11人回复
食品与营养(0955)271求调剂
已经有7人回复
085600材料与化工349分求调剂
已经有9人回复
» 本主题相关价值贴推荐,对您同样有帮助:
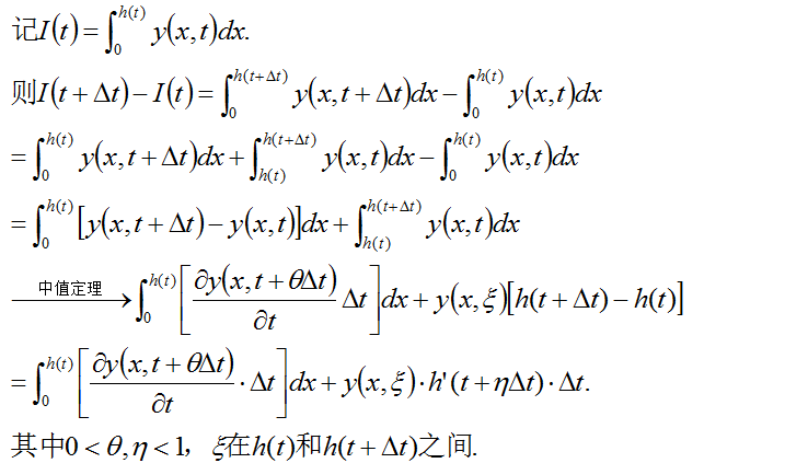
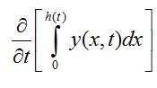
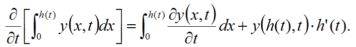
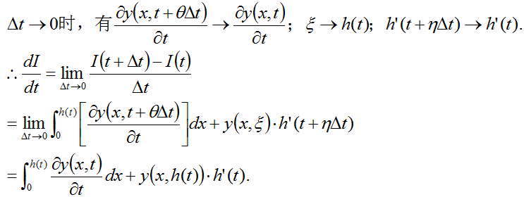
变限积分函数求导的问题
已经有13人回复
快考试了~虫子们,加油哈~笃信努力终成王,势若骏马奔平川
已经有52人回复
一个关于变限积分求导的问题
已经有5人回复
浙大生物考研求助
已经有9人回复
用UDF编写化学反应热作为源项
已经有12人回复
求助一个积分转换问题+把ln换算到积分号里面
已经有4人回复
这个变限积分怎么求导啊
已经有10人回复
导函数极限与导数的关系 疑问
已经有12人回复

终之太刀—晓
铁杆木虫 (著名写手)
数学爱好者
- 数学EPI: 7
- 应助: 282 (大学生)
- 贵宾: 0.018
- 金币: 2934.2
- 散金: 5589
- 红花: 53
- 帖子: 1809
- 在线: 401.6小时
- 虫号: 3469007
- 注册: 2014-10-12
- 性别: MM
- 专业: 偏微分方程

2楼2015-01-26 20:14:14
萤火微光
至尊木虫 (著名写手)
- 应助: 1 (幼儿园)
- 金币: 21883.1
- 红花: 1
- 帖子: 2516
- 在线: 52.4小时
- 虫号: 1875481
- 注册: 2012-07-02
- 性别: GG
- 专业: 流体力学

3楼2015-01-26 20:23:37
终之太刀—晓
铁杆木虫 (著名写手)
数学爱好者
- 数学EPI: 7
- 应助: 282 (大学生)
- 贵宾: 0.018
- 金币: 2934.2
- 散金: 5589
- 红花: 53
- 帖子: 1809
- 在线: 401.6小时
- 虫号: 3469007
- 注册: 2014-10-12
- 性别: MM
- 专业: 偏微分方程

4楼2015-01-26 20:30:14













回复此楼