| 查看: 748 | 回复: 4 | ||||
wenbin9903至尊木虫 (文坛精英)
|
[求助]
求积分 已有2人参与
|
|||
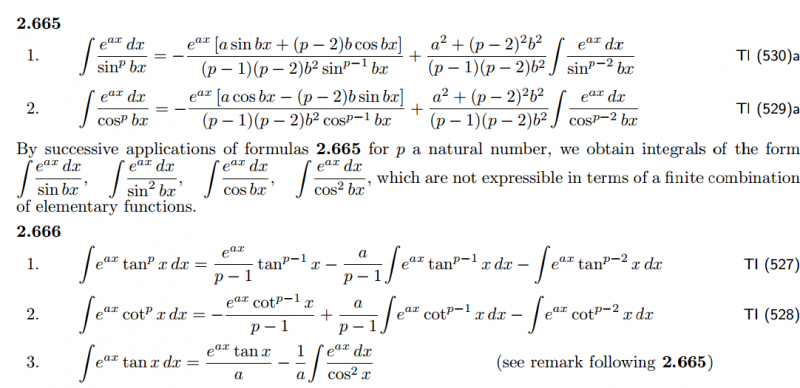
![]() |
||||
|
|
||||
ayismas木虫 (正式写手)
|
【答案】应助回帖
★
感谢参与,应助指数 +1 wenbin9903(feixiaolin代发): 金币+1 2015-01-07 16:23:55
|
|||
|
2楼2015-01-06 22:39:22
|
|
|||
Edstrayer版主 (著名写手)
方寸斗室小天地正气迷漫大世界
|
||||
![]() |
||||
|
3楼2015-01-07 02:33:48
|
|
|||
终之太刀—晓铁杆木虫 (著名写手)
数学爱好者
|
||||
![]() |
||||
|
4楼2015-01-08 07:47:23
|
|
|||
feixiaolin荣誉版主 (文坛精英)
|
|
|||
|
5楼2015-01-08 08:18:54
|
|













回复此楼
