| 查看: 1610 | 回复: 1 | |||
[求助]
【图像处理】【欧拉拉格朗日方程】关于水平集图像分割方法CV模型的推导的一点疑问。 已有1人参与
|
|
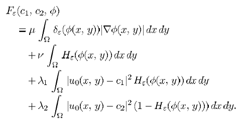
大家好,不知道各位有做水平集图像分割的CV模型(IEEE TIP, vol10)吗?主要是对它的一个能量泛函求欧拉拉格朗日函数的推导有点疑惑。 能量函数是 对它求欧拉拉格朗日函数(梯度下降流),得到 我的疑问是,为什么在公式(9)中没有冲击偶函数?因为从第一个公式来看,对fai求导,就应该有一个冲击偶函数,剩下的就是公式(9)第一项的那个散度了。谢谢! |
» 猜你喜欢
AI 太可怕了,写基金时,提出想法,直接生成的文字比自己想得深远,还有科学性
已经有3人回复
有院领导为了换新车,用横向课题经费买了俩车
已经有9人回复
酰胺脱乙酰基
已经有13人回复
博士延得我,科研能力直往上蹿
已经有8人回复
同年申请2项不同项目,第1个项目里不写第2个项目的信息,可以吗
已经有4人回复
有时候真觉得大城市人没有县城人甚至个体户幸福
已经有10人回复
天津大学招2026.09的博士生,欢迎大家推荐交流(博导是本人)
已经有5人回复
CSC & MSCA 博洛尼亚大学能源材料课题组博士/博士后招生|MSCA经费充足、排名优
已经有6人回复
遇见不省心的家人很难过
已经有22人回复
» 本主题相关价值贴推荐,对您同样有帮助:
图像分割,JSEG方面的问题
已经有3人回复
求解kmeans图像分割程序中的一些问题
已经有3人回复
图像分割问题求助(已进行了一部分图像算法处理)
已经有22人回复
关于图像分割的问题
已经有18人回复
求助此图的ostu方法分割图像的matlab编程,急急急,金币不是问题啊!
已经有8人回复
feixiaolin
荣誉版主 (文坛精英)
-

专家经验: +518 - 应助: 942 (博后)
- 贵宾: 1.275
- 金币: 3430
- 散金: 58785
- 红花: 532
- 沙发: 11
- 帖子: 24215
- 在线: 2601.8小时
- 虫号: 2139575
- 注册: 2012-11-21
- 专业: 光学信息获取与处理
- 管辖: 数学
2楼2014-12-27 21:38:39













回复此楼